意大利 2022 年五月测量月:在一项全国性调查中关注固定剂量复方制剂、治疗依从性和医疗惰性。

IF 2.9 Q2 PERIPHERAL VASCULAR DISEASE
Rita Del Pinto, Claudia Agabiti Rosei, Claudio Borghi, Franco Cipollini, Santina Cottone, Giuseppe Antonio De Giorgi, Antonino Di Guardo, Maurizio Dugnani, Bruno Fabris, Cristina Giannattasio, Gilberta Giacchetti, Pietro Minuz, Giuseppe Mulè, Pietro Nazzaro, Gianfranco Parati, Marcello Rattazzi, Francesca Saladini, Massimo Salvetti, Riccardo Sarzani, Carmine Savoia, Giuliano Tocci, Franco Veglio, Massimo Volpe, Vito Vulpis, Gianluca Baldini, Claudio Ferri, Maria Lorenza Muiesan
{"title":"意大利 2022 年五月测量月:在一项全国性调查中关注固定剂量复方制剂、治疗依从性和医疗惰性。","authors":"Rita Del Pinto, Claudia Agabiti Rosei, Claudio Borghi, Franco Cipollini, Santina Cottone, Giuseppe Antonio De Giorgi, Antonino Di Guardo, Maurizio Dugnani, Bruno Fabris, Cristina Giannattasio, Gilberta Giacchetti, Pietro Minuz, Giuseppe Mulè, Pietro Nazzaro, Gianfranco Parati, Marcello Rattazzi, Francesca Saladini, Massimo Salvetti, Riccardo Sarzani, Carmine Savoia, Giuliano Tocci, Franco Veglio, Massimo Volpe, Vito Vulpis, Gianluca Baldini, Claudio Ferri, Maria Lorenza Muiesan","doi":"10.1007/s40292-024-00642-4","DOIUrl":null,"url":null,"abstract":"<p><strong>Introduction: </strong>Hypertension is the main risk factor for cardiovascular diseases (CVD). Notably, only about half of hypertensive patients manage to achieve the recommended blood pressure (BP) control. Main reasons for the persistence of uncontrolled BP during treatment are lack of compliance on the patients' side, and therapeutic inertia on physicians' side.</p><p><strong>Methods: </strong>During the global BP screening campaign \"May Measure Month\" (MMM) (May 1st to July 31st, 2022), a nationwide, cross-sectional, opportunistic study endorsed by the Italian Society of Hypertension was conducted on volunteer adults ≥ 18 years to raise awareness of the health issues surrounding high BP. A questionnaire on demographic/clinical features and questions on the use of fixed-dose single-pills for the treatment of hypertension was administered. BP was measured with standard procedures.</p><p><strong>Results: </strong>A total of 1612 participants (mean age 60.0±15.41 years; 44.7% women) were enrolled. Their mean BP was 128.5±18.1/77.1±10.4 mmHg. About half of participants were sedentary, or overweight/obese, or hypertensive. 55.5% individuals with complete BP assessment had uncontrolled hypertension. Most were not on a fixed-dose combination of antihypertensive drugs and did not regularly measure BP at home. Self-reported adherence to BP medications was similar between individuals with controlled and uncontrolled BP (95% vs 95.5%).</p><p><strong>Conclusions: </strong>This survey identified a remarkable degree of therapeutic inertia and poor patients' involvement in the therapeutic process and its monitoring in the examined population, underlining the importance of prevention campaigns to identify areas of unsatisfactory management of hypertension, to increase risk factors' awareness in the population with the final purpose of reducing cardiovascular risk.</p>","PeriodicalId":12890,"journal":{"name":"High Blood Pressure & Cardiovascular Prevention","volume":" ","pages":"309-320"},"PeriodicalIF":2.9000,"publicationDate":"2024-05-01","publicationTypes":"Journal Article","fieldsOfStudy":null,"isOpenAccess":false,"openAccessPdf":"https://www.ncbi.nlm.nih.gov/pmc/articles/PMC11161440/pdf/","citationCount":"0","resultStr":"{\"title\":\"May Measure Month 2022 in Italy: A Focus on Fixed-dose Combination, Therapeutic Adherence, and Medical Inertia in a Nationwide Survey.\",\"authors\":\"Rita Del Pinto, Claudia Agabiti Rosei, Claudio Borghi, Franco Cipollini, Santina Cottone, Giuseppe Antonio De Giorgi, Antonino Di Guardo, Maurizio Dugnani, Bruno Fabris, Cristina Giannattasio, Gilberta Giacchetti, Pietro Minuz, Giuseppe Mulè, Pietro Nazzaro, Gianfranco Parati, Marcello Rattazzi, Francesca Saladini, Massimo Salvetti, Riccardo Sarzani, Carmine Savoia, Giuliano Tocci, Franco Veglio, Massimo Volpe, Vito Vulpis, Gianluca Baldini, Claudio Ferri, Maria Lorenza Muiesan\",\"doi\":\"10.1007/s40292-024-00642-4\",\"DOIUrl\":null,\"url\":null,\"abstract\":\"<p><strong>Introduction: </strong>Hypertension is the main risk factor for cardiovascular diseases (CVD). Notably, only about half of hypertensive patients manage to achieve the recommended blood pressure (BP) control. Main reasons for the persistence of uncontrolled BP during treatment are lack of compliance on the patients' side, and therapeutic inertia on physicians' side.</p><p><strong>Methods: </strong>During the global BP screening campaign \\\"May Measure Month\\\" (MMM) (May 1st to July 31st, 2022), a nationwide, cross-sectional, opportunistic study endorsed by the Italian Society of Hypertension was conducted on volunteer adults ≥ 18 years to raise awareness of the health issues surrounding high BP. A questionnaire on demographic/clinical features and questions on the use of fixed-dose single-pills for the treatment of hypertension was administered. BP was measured with standard procedures.</p><p><strong>Results: </strong>A total of 1612 participants (mean age 60.0±15.41 years; 44.7% women) were enrolled. Their mean BP was 128.5±18.1/77.1±10.4 mmHg. About half of participants were sedentary, or overweight/obese, or hypertensive. 55.5% individuals with complete BP assessment had uncontrolled hypertension. Most were not on a fixed-dose combination of antihypertensive drugs and did not regularly measure BP at home. Self-reported adherence to BP medications was similar between individuals with controlled and uncontrolled BP (95% vs 95.5%).</p><p><strong>Conclusions: </strong>This survey identified a remarkable degree of therapeutic inertia and poor patients' involvement in the therapeutic process and its monitoring in the examined population, underlining the importance of prevention campaigns to identify areas of unsatisfactory management of hypertension, to increase risk factors' awareness in the population with the final purpose of reducing cardiovascular risk.</p>\",\"PeriodicalId\":12890,\"journal\":{\"name\":\"High Blood Pressure & Cardiovascular Prevention\",\"volume\":\" \",\"pages\":\"309-320\"},\"PeriodicalIF\":2.9000,\"publicationDate\":\"2024-05-01\",\"publicationTypes\":\"Journal Article\",\"fieldsOfStudy\":null,\"isOpenAccess\":false,\"openAccessPdf\":\"https://www.ncbi.nlm.nih.gov/pmc/articles/PMC11161440/pdf/\",\"citationCount\":\"0\",\"resultStr\":null,\"platform\":\"Semanticscholar\",\"paperid\":null,\"PeriodicalName\":\"High Blood Pressure & Cardiovascular Prevention\",\"FirstCategoryId\":\"1085\",\"ListUrlMain\":\"https://doi.org/10.1007/s40292-024-00642-4\",\"RegionNum\":0,\"RegionCategory\":null,\"ArticlePicture\":[],\"TitleCN\":null,\"AbstractTextCN\":null,\"PMCID\":null,\"EPubDate\":\"2024/6/3 0:00:00\",\"PubModel\":\"Epub\",\"JCR\":\"Q2\",\"JCRName\":\"PERIPHERAL VASCULAR DISEASE\",\"Score\":null,\"Total\":0}","platform":"Semanticscholar","paperid":null,"PeriodicalName":"High Blood Pressure & Cardiovascular Prevention","FirstCategoryId":"1085","ListUrlMain":"https://doi.org/10.1007/s40292-024-00642-4","RegionNum":0,"RegionCategory":null,"ArticlePicture":[],"TitleCN":null,"AbstractTextCN":null,"PMCID":null,"EPubDate":"2024/6/3 0:00:00","PubModel":"Epub","JCR":"Q2","JCRName":"PERIPHERAL VASCULAR DISEASE","Score":null,"Total":0}
引用次数: 0

摘要

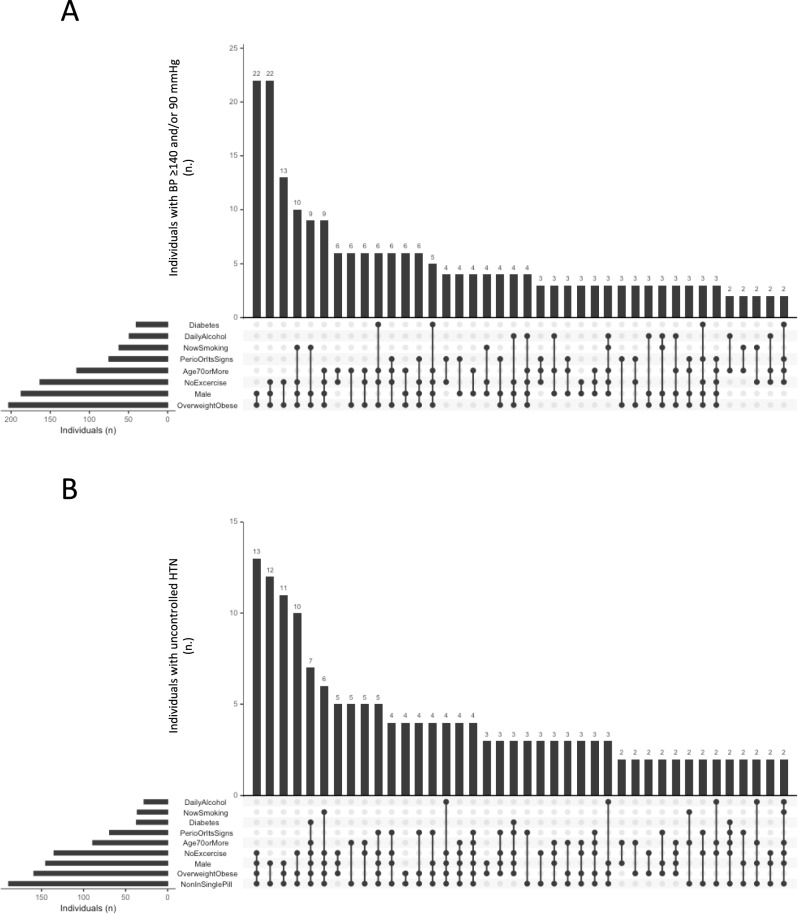
引言:高血压是心血管疾病(CVD)的主要风险因素:高血压是心血管疾病(CVD)的主要风险因素。值得注意的是,只有大约一半的高血压患者能够达到建议的血压控制水平。治疗过程中血压持续失控的主要原因是患者缺乏依从性和医生的治疗惰性:方法:在全球血压筛查活动 "五月测量月"(MMM)(2022 年 5 月 1 日至 7 月 31 日)期间,在意大利高血压学会的支持下,在全国范围内开展了一项横断面机会性研究,对象是年龄≥ 18 岁的成人志愿者,目的是提高人们对高血压相关健康问题的认识。调查问卷涉及人口学/临床特征以及使用固定剂量单片药丸治疗高血压的问题。结果:共有 1612 名参与者(平均年龄(60.0±15.41)岁;44.7% 为女性)参加了调查。他们的平均血压为 128.5±18.1/77.1±10.4 mmHg。约半数参与者久坐不动、超重/肥胖或患有高血压。55.5%完成血压评估的人的高血压未得到控制。大多数人没有服用固定剂量的联合降压药,也没有定期在家测量血压。血压得到控制和未得到控制的患者自我报告的血压药物依从性相似(95% vs 95.5%):这项调查发现,受调查人群中存在严重的治疗惰性,患者很少参与治疗过程及其监测,这凸显了开展预防运动的重要性,以确定高血压管理不尽如人意的领域,提高人们对风险因素的认识,最终达到降低心血管风险的目的。
本文章由计算机程序翻译,如有差异,请以英文原文为准。

May Measure Month 2022 in Italy: A Focus on Fixed-dose Combination, Therapeutic Adherence, and Medical Inertia in a Nationwide Survey.

May Measure Month 2022 in Italy: A Focus on Fixed-dose Combination, Therapeutic Adherence, and Medical Inertia in a Nationwide Survey.

May Measure Month 2022 in Italy: A Focus on Fixed-dose Combination, Therapeutic Adherence, and Medical Inertia in a Nationwide Survey.

May Measure Month 2022 in Italy: A Focus on Fixed-dose Combination, Therapeutic Adherence, and Medical Inertia in a Nationwide Survey.

Introduction: Hypertension is the main risk factor for cardiovascular diseases (CVD). Notably, only about half of hypertensive patients manage to achieve the recommended blood pressure (BP) control. Main reasons for the persistence of uncontrolled BP during treatment are lack of compliance on the patients' side, and therapeutic inertia on physicians' side.

Methods: During the global BP screening campaign "May Measure Month" (MMM) (May 1st to July 31st, 2022), a nationwide, cross-sectional, opportunistic study endorsed by the Italian Society of Hypertension was conducted on volunteer adults ≥ 18 years to raise awareness of the health issues surrounding high BP. A questionnaire on demographic/clinical features and questions on the use of fixed-dose single-pills for the treatment of hypertension was administered. BP was measured with standard procedures.

Results: A total of 1612 participants (mean age 60.0±15.41 years; 44.7% women) were enrolled. Their mean BP was 128.5±18.1/77.1±10.4 mmHg. About half of participants were sedentary, or overweight/obese, or hypertensive. 55.5% individuals with complete BP assessment had uncontrolled hypertension. Most were not on a fixed-dose combination of antihypertensive drugs and did not regularly measure BP at home. Self-reported adherence to BP medications was similar between individuals with controlled and uncontrolled BP (95% vs 95.5%).

Conclusions: This survey identified a remarkable degree of therapeutic inertia and poor patients' involvement in the therapeutic process and its monitoring in the examined population, underlining the importance of prevention campaigns to identify areas of unsatisfactory management of hypertension, to increase risk factors' awareness in the population with the final purpose of reducing cardiovascular risk.

求助全文
通过发布文献求助,成功后即可免费获取论文全文。 去求助
来源期刊
CiteScore
5.70
自引率
3.30%
发文量
57
期刊介绍: High Blood Pressure & Cardiovascular Prevention promotes knowledge, update and discussion in the field of hypertension and cardiovascular disease prevention, by providing a regular programme of independent review articles covering key aspects of the management of hypertension and cardiovascular diseases. The journal includes:   Invited ''State of the Art'' reviews.  Expert commentaries on guidelines, major trials, technical advances.Presentation of new intervention trials design.''Pros and Cons'' or round tables on controversial issues.Statements on guidelines from hypertension and cardiovascular scientific societies.Socio-economic issues.Cost/benefit in prevention of cardiovascular diseases.Monitoring of healthcare systems.News and views from the Italian Society of Hypertension (including abstracts).All manuscripts are subject to peer review by international experts. Letters to the editor are welcomed and will be considered for publication.
×
引用
GB/T 7714-2015
复制
MLA
复制
APA
复制
导出至
BibTeX EndNote RefMan NoteFirst NoteExpress
×
提示
您的信息不完整,为了账户安全,请先补充。
现在去补充
×
提示
您因"违规操作"
具体请查看互助需知
我知道了
×
提示
确定
请完成安全验证×
copy
已复制链接
快去分享给好友吧!
我知道了
右上角分享
点击右上角分享
0
联系我们:info@booksci.cn Book学术提供免费学术资源搜索服务,方便国内外学者检索中英文文献。致力于提供最便捷和优质的服务体验。 Copyright © 2023 布克学术 All rights reserved.
京ICP备2023020795号-1
ghs 京公网安备 11010802042870号
Book学术文献互助
Book学术文献互助群
群 号:604180095
Book学术官方微信