德国真实世界 PRAEGNANT 登记中晚期乳腺癌患者前三个疗程的自然减员。

IF 1.9 4区 医学 Q2 OBSTETRICS & GYNECOLOGY
Geburtshilfe Und Frauenheilkunde Pub Date : 2024-05-29 eCollection Date: 2024-05-01 DOI:10.1055/a-2286-5372
Andreas D Hartkopf, Christina B Walter, Hans-Christian Kolberg, Peyman Hadji, Hans Tesch, Peter A Fasching, Johannes Ettl, Diana Lüftner, Markus Wallwiener, Volkmar Müller, Matthias W Beckmann, Erik Belleville, Hanna Huebner, Sabrina Uhrig, Chloë Goossens, Theresa Link, Carsten Hielscher, Christoph Mundhenke, Christian Kurbacher, Rachel Wuerstlein, Michael Untch, Wolfgang Janni, Florin-Andrei Taran, Laura L Michel, Michael P Lux, Diethelm Wallwiener, Sara Y Brucker, Tanja N Fehm, Lothar Häberle, Andreas Schneeweiss
{"title":"德国真实世界 PRAEGNANT 登记中晚期乳腺癌患者前三个疗程的自然减员。","authors":"Andreas D Hartkopf, Christina B Walter, Hans-Christian Kolberg, Peyman Hadji, Hans Tesch, Peter A Fasching, Johannes Ettl, Diana Lüftner, Markus Wallwiener, Volkmar Müller, Matthias W Beckmann, Erik Belleville, Hanna Huebner, Sabrina Uhrig, Chloë Goossens, Theresa Link, Carsten Hielscher, Christoph Mundhenke, Christian Kurbacher, Rachel Wuerstlein, Michael Untch, Wolfgang Janni, Florin-Andrei Taran, Laura L Michel, Michael P Lux, Diethelm Wallwiener, Sara Y Brucker, Tanja N Fehm, Lothar Häberle, Andreas Schneeweiss","doi":"10.1055/a-2286-5372","DOIUrl":null,"url":null,"abstract":"<p><p><b>Background</b> With more effective therapies for patients with advanced breast cancer (aBC), therapy sequences are becoming increasingly important. However, some patients might drop out of the treatment sequence due to deterioration of their life status. Since little is known about attrition in the real-world setting, this study assessed attrition in the first three therapy lines using a real-world registry. <b>Methods</b> Patients with information available on the first three therapy lines were selected from the German PRAEGNANT registry (NCT02338167). Attrition was determined for each therapy line using competing risk analyses, with the start of the next therapy line or death as endpoints. Additionally, a simple attrition rate was calculated based on the proportion of patients who completed therapy but did not start the next therapy line. <b>Results</b> Competitive risk analyses were performed on 3988 1st line, 2651 2nd line and 1866 3rd line patients. The probabilities of not starting the next therapy line within 5 years after initiation of 1st, 2nd and 3rd line therapy were 30%, 24% and 24% respectively. Patients with HER2-positive disease had the highest risk for attrition, while patients with HRpos/HER2neg disease had the lowest risk. Attrition rates remained similar across molecular subgroups in the different therapy lines. <b>Conclusion</b> Attrition affects a large proportion of patients with aBC, which should be considered when planning novel therapy concepts that specifically address the sequencing of therapies. Taking attrition into account could help understand treatment effects resulting from sequential therapies and might help develop treatment strategies that specifically aim at maintaining quality of life.</p>","PeriodicalId":12481,"journal":{"name":"Geburtshilfe Und Frauenheilkunde","volume":"84 5","pages":"459-469"},"PeriodicalIF":1.9000,"publicationDate":"2024-05-29","publicationTypes":"Journal Article","fieldsOfStudy":null,"isOpenAccess":false,"openAccessPdf":"https://www.ncbi.nlm.nih.gov/pmc/articles/PMC11136529/pdf/","citationCount":"0","resultStr":"{\"title\":\"Attrition in the First Three Therapy Lines in Patients with Advanced Breast Cancer in the German Real-World PRAEGNANT Registry.\",\"authors\":\"Andreas D Hartkopf, Christina B Walter, Hans-Christian Kolberg, Peyman Hadji, Hans Tesch, Peter A Fasching, Johannes Ettl, Diana Lüftner, Markus Wallwiener, Volkmar Müller, Matthias W Beckmann, Erik Belleville, Hanna Huebner, Sabrina Uhrig, Chloë Goossens, Theresa Link, Carsten Hielscher, Christoph Mundhenke, Christian Kurbacher, Rachel Wuerstlein, Michael Untch, Wolfgang Janni, Florin-Andrei Taran, Laura L Michel, Michael P Lux, Diethelm Wallwiener, Sara Y Brucker, Tanja N Fehm, Lothar Häberle, Andreas Schneeweiss\",\"doi\":\"10.1055/a-2286-5372\",\"DOIUrl\":null,\"url\":null,\"abstract\":\"<p><p><b>Background</b> With more effective therapies for patients with advanced breast cancer (aBC), therapy sequences are becoming increasingly important. However, some patients might drop out of the treatment sequence due to deterioration of their life status. Since little is known about attrition in the real-world setting, this study assessed attrition in the first three therapy lines using a real-world registry. <b>Methods</b> Patients with information available on the first three therapy lines were selected from the German PRAEGNANT registry (NCT02338167). Attrition was determined for each therapy line using competing risk analyses, with the start of the next therapy line or death as endpoints. Additionally, a simple attrition rate was calculated based on the proportion of patients who completed therapy but did not start the next therapy line. <b>Results</b> Competitive risk analyses were performed on 3988 1st line, 2651 2nd line and 1866 3rd line patients. The probabilities of not starting the next therapy line within 5 years after initiation of 1st, 2nd and 3rd line therapy were 30%, 24% and 24% respectively. Patients with HER2-positive disease had the highest risk for attrition, while patients with HRpos/HER2neg disease had the lowest risk. Attrition rates remained similar across molecular subgroups in the different therapy lines. <b>Conclusion</b> Attrition affects a large proportion of patients with aBC, which should be considered when planning novel therapy concepts that specifically address the sequencing of therapies. Taking attrition into account could help understand treatment effects resulting from sequential therapies and might help develop treatment strategies that specifically aim at maintaining quality of life.</p>\",\"PeriodicalId\":12481,\"journal\":{\"name\":\"Geburtshilfe Und Frauenheilkunde\",\"volume\":\"84 5\",\"pages\":\"459-469\"},\"PeriodicalIF\":1.9000,\"publicationDate\":\"2024-05-29\",\"publicationTypes\":\"Journal Article\",\"fieldsOfStudy\":null,\"isOpenAccess\":false,\"openAccessPdf\":\"https://www.ncbi.nlm.nih.gov/pmc/articles/PMC11136529/pdf/\",\"citationCount\":\"0\",\"resultStr\":null,\"platform\":\"Semanticscholar\",\"paperid\":null,\"PeriodicalName\":\"Geburtshilfe Und Frauenheilkunde\",\"FirstCategoryId\":\"3\",\"ListUrlMain\":\"https://doi.org/10.1055/a-2286-5372\",\"RegionNum\":4,\"RegionCategory\":\"医学\",\"ArticlePicture\":[],\"TitleCN\":null,\"AbstractTextCN\":null,\"PMCID\":null,\"EPubDate\":\"2024/5/1 0:00:00\",\"PubModel\":\"eCollection\",\"JCR\":\"Q2\",\"JCRName\":\"OBSTETRICS & GYNECOLOGY\",\"Score\":null,\"Total\":0}","platform":"Semanticscholar","paperid":null,"PeriodicalName":"Geburtshilfe Und Frauenheilkunde","FirstCategoryId":"3","ListUrlMain":"https://doi.org/10.1055/a-2286-5372","RegionNum":4,"RegionCategory":"医学","ArticlePicture":[],"TitleCN":null,"AbstractTextCN":null,"PMCID":null,"EPubDate":"2024/5/1 0:00:00","PubModel":"eCollection","JCR":"Q2","JCRName":"OBSTETRICS & GYNECOLOGY","Score":null,"Total":0}
引用次数: 0

摘要

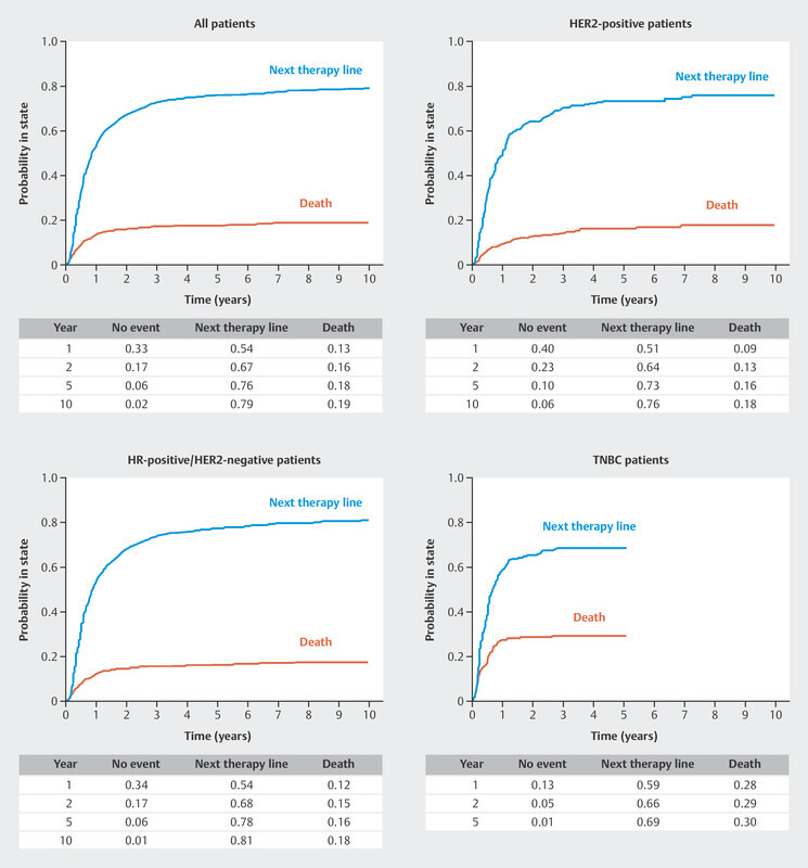
背景 随着对晚期乳腺癌(aBC)患者的治疗越来越有效,治疗顺序也变得越来越重要。然而,一些患者可能会因生活状况恶化而退出治疗序列。由于人们对现实世界中的自然减员知之甚少,本研究利用现实世界登记册评估了前三个疗程的自然减员情况。方法 从德国 PRAEGNANT 登记处(NCT02338167)中选取有前三个治疗方案信息的患者。采用竞争风险分析法确定每个疗程的自然减员情况,以开始下一疗程或死亡为终点。此外,还根据完成治疗但未开始下一疗程的患者比例计算了简单的自然减员率。结果 对 3988 名一线患者、2651 名二线患者和 1866 名三线患者进行了竞争风险分析。开始一线、二线和三线治疗后 5 年内未开始下一治疗线的概率分别为 30%、24% 和 24%。HER2阳性患者自然减员的风险最高,而HRpos/HER2阴性患者自然减员的风险最低。在不同的治疗方案中,不同分子亚组的损耗率仍然相似。结论 大量 aBC 患者会出现自然减员,在规划新的治疗概念时应考虑到这一点,这些概念特别涉及到疗法的排序问题。将自然减员纳入考虑范围有助于了解序贯疗法的治疗效果,并有助于制定专门以维持生活质量为目标的治疗策略。
本文章由计算机程序翻译,如有差异,请以英文原文为准。

Attrition in the First Three Therapy Lines in Patients with Advanced Breast Cancer in the German Real-World PRAEGNANT Registry.

Attrition in the First Three Therapy Lines in Patients with Advanced Breast Cancer in the German Real-World PRAEGNANT Registry.

Attrition in the First Three Therapy Lines in Patients with Advanced Breast Cancer in the German Real-World PRAEGNANT Registry.

Attrition in the First Three Therapy Lines in Patients with Advanced Breast Cancer in the German Real-World PRAEGNANT Registry.

Background With more effective therapies for patients with advanced breast cancer (aBC), therapy sequences are becoming increasingly important. However, some patients might drop out of the treatment sequence due to deterioration of their life status. Since little is known about attrition in the real-world setting, this study assessed attrition in the first three therapy lines using a real-world registry. Methods Patients with information available on the first three therapy lines were selected from the German PRAEGNANT registry (NCT02338167). Attrition was determined for each therapy line using competing risk analyses, with the start of the next therapy line or death as endpoints. Additionally, a simple attrition rate was calculated based on the proportion of patients who completed therapy but did not start the next therapy line. Results Competitive risk analyses were performed on 3988 1st line, 2651 2nd line and 1866 3rd line patients. The probabilities of not starting the next therapy line within 5 years after initiation of 1st, 2nd and 3rd line therapy were 30%, 24% and 24% respectively. Patients with HER2-positive disease had the highest risk for attrition, while patients with HRpos/HER2neg disease had the lowest risk. Attrition rates remained similar across molecular subgroups in the different therapy lines. Conclusion Attrition affects a large proportion of patients with aBC, which should be considered when planning novel therapy concepts that specifically address the sequencing of therapies. Taking attrition into account could help understand treatment effects resulting from sequential therapies and might help develop treatment strategies that specifically aim at maintaining quality of life.

求助全文
通过发布文献求助,成功后即可免费获取论文全文。 去求助
来源期刊
Geburtshilfe Und Frauenheilkunde
Geburtshilfe Und Frauenheilkunde 医学-妇产科学
CiteScore
2.50
自引率
22.20%
发文量
828
审稿时长
6-12 weeks
期刊介绍: Geburtshilfe und Frauenheilkunde (GebFra) addresses the whole field of obstetrics and gynecology and is concerned with research as much as with clinical practice. In its scientific section, it publishes original articles, reviews and case reports in all fields of the discipline, namely gynecological oncology, including oncology of the breast obstetrics and perinatal medicine, reproductive medicine, and urogynecology. GebFra invites the submission of original articles and review articles. In addition, the journal publishes guidelines, statements and recommendations in cooperation with the DGGG, SGGG, OEGGG and the Arbeitsgemeinschaft der Wissenschaftlichen Medizinischen Fachgesellschaften (AWMF, Association of Scientific Medical Societies, www.awmf.org). Apart from the scientific section, Geburtshilfe und Frauenheilkunde has a news and views section that also includes discussions, book reviews and professional information. Letters to the editors are welcome. If a letter discusses an article that has been published in our journal, the corresponding author of the article will be informed and invited to comment on the letter. The comment will be published along with the letter.
×
引用
GB/T 7714-2015
复制
MLA
复制
APA
复制
导出至
BibTeX EndNote RefMan NoteFirst NoteExpress
×
提示
您的信息不完整,为了账户安全,请先补充。
现在去补充
×
提示
您因"违规操作"
具体请查看互助需知
我知道了
×
提示
确定
请完成安全验证×
copy
已复制链接
快去分享给好友吧!
我知道了
右上角分享
点击右上角分享
0
联系我们:info@booksci.cn Book学术提供免费学术资源搜索服务,方便国内外学者检索中英文文献。致力于提供最便捷和优质的服务体验。 Copyright © 2023 布克学术 All rights reserved.
京ICP备2023020795号-1
ghs 京公网安备 11010802042870号
Book学术文献互助
Book学术文献互助群
群 号:604180095
Book学术官方微信