行走时踝关节外翻角度峰值与下肢生物力学的关系。

IF 2.2 3区 医学 Q1 ORTHOPEDICS
Tianyu Gao, Zhengye Ma, Nan Yang, Si Zhang, Haitao Shi, Hua Zhang, Shuang Ren, Hongshi Huang
{"title":"行走时踝关节外翻角度峰值与下肢生物力学的关系。","authors":"Tianyu Gao, Zhengye Ma, Nan Yang, Si Zhang, Haitao Shi, Hua Zhang, Shuang Ren, Hongshi Huang","doi":"10.1002/jfa2.12027","DOIUrl":null,"url":null,"abstract":"<p><strong>Purpose: </strong>Abnormal lower limb movement patterns have been observed during walking in individuals with limited ankle dorsiflexion. The purpose of this study was to investigate the relationships of peak ankle dorsiflexion angle during the stance phase of walking with the lower extremity biomechanics at the corresponding moment and to determine a cutoff value of functional limited ankle dorsiflexion during walking.</p><p><strong>Methods: </strong>Kinematic and kinetic data of 70 healthy participants were measured during walking. Spearman's correlation coefficients were calculated to establish the association between peak ankle dorsiflexion and angle and moment of ankle, knee, and hip, ground reaction force, and pelvic movement at peak ankle dorsiflexion. All variables significantly related to peak ankle dorsiflexion were extracted as a common factor by factor analysis. Maximally selected Wilcoxon statistic was used to perform a cutoff value analysis.</p><p><strong>Results: </strong>Peak ankle dorsiflexion positively correlated with ankle plantar flexion moment (r = 0.432; p = 0.001), ankle external rotation moment (r = 0.251; p = 0.036), hip extension angle (r = 0.281; p = 0.018), hip flexion moment (r = 0.341; p = 0.004), pelvic ipsilateral rotation angle (r = 0.284; p = 0.017), and medial, anterior, and vertical ground reaction force (r = 0.324; p = 0.006, r = 0.543; p = 0.001, r = 0.322; p = 0.007), negatively correlated with knee external rotation angle (r = -0.394; p = 0.001) and hip adduction angle (r = -0.256; p = 0.032). The cutoff baseline value for all 70 participants was 9.03°.</p><p><strong>Conclusions: </strong>There is a correlation between the peak ankle dorsiflexion angle and the lower extremity biomechanics during walking. If the peak ankle dorsiflexion angle is less than 9.03°, the lower limb movement pattern will change significantly.</p>","PeriodicalId":49164,"journal":{"name":"Journal of Foot and Ankle Research","volume":"17 2","pages":"e12027"},"PeriodicalIF":2.2000,"publicationDate":"2024-06-01","publicationTypes":"Journal Article","fieldsOfStudy":null,"isOpenAccess":false,"openAccessPdf":"https://www.ncbi.nlm.nih.gov/pmc/articles/PMC11296718/pdf/","citationCount":"0","resultStr":"{\"title\":\"The relationship of peak ankle dorsiflexion angle with lower extremity biomechanics during walking.\",\"authors\":\"Tianyu Gao, Zhengye Ma, Nan Yang, Si Zhang, Haitao Shi, Hua Zhang, Shuang Ren, Hongshi Huang\",\"doi\":\"10.1002/jfa2.12027\",\"DOIUrl\":null,\"url\":null,\"abstract\":\"<p><strong>Purpose: </strong>Abnormal lower limb movement patterns have been observed during walking in individuals with limited ankle dorsiflexion. The purpose of this study was to investigate the relationships of peak ankle dorsiflexion angle during the stance phase of walking with the lower extremity biomechanics at the corresponding moment and to determine a cutoff value of functional limited ankle dorsiflexion during walking.</p><p><strong>Methods: </strong>Kinematic and kinetic data of 70 healthy participants were measured during walking. Spearman's correlation coefficients were calculated to establish the association between peak ankle dorsiflexion and angle and moment of ankle, knee, and hip, ground reaction force, and pelvic movement at peak ankle dorsiflexion. All variables significantly related to peak ankle dorsiflexion were extracted as a common factor by factor analysis. Maximally selected Wilcoxon statistic was used to perform a cutoff value analysis.</p><p><strong>Results: </strong>Peak ankle dorsiflexion positively correlated with ankle plantar flexion moment (r = 0.432; p = 0.001), ankle external rotation moment (r = 0.251; p = 0.036), hip extension angle (r = 0.281; p = 0.018), hip flexion moment (r = 0.341; p = 0.004), pelvic ipsilateral rotation angle (r = 0.284; p = 0.017), and medial, anterior, and vertical ground reaction force (r = 0.324; p = 0.006, r = 0.543; p = 0.001, r = 0.322; p = 0.007), negatively correlated with knee external rotation angle (r = -0.394; p = 0.001) and hip adduction angle (r = -0.256; p = 0.032). The cutoff baseline value for all 70 participants was 9.03°.</p><p><strong>Conclusions: </strong>There is a correlation between the peak ankle dorsiflexion angle and the lower extremity biomechanics during walking. If the peak ankle dorsiflexion angle is less than 9.03°, the lower limb movement pattern will change significantly.</p>\",\"PeriodicalId\":49164,\"journal\":{\"name\":\"Journal of Foot and Ankle Research\",\"volume\":\"17 2\",\"pages\":\"e12027\"},\"PeriodicalIF\":2.2000,\"publicationDate\":\"2024-06-01\",\"publicationTypes\":\"Journal Article\",\"fieldsOfStudy\":null,\"isOpenAccess\":false,\"openAccessPdf\":\"https://www.ncbi.nlm.nih.gov/pmc/articles/PMC11296718/pdf/\",\"citationCount\":\"0\",\"resultStr\":null,\"platform\":\"Semanticscholar\",\"paperid\":null,\"PeriodicalName\":\"Journal of Foot and Ankle Research\",\"FirstCategoryId\":\"3\",\"ListUrlMain\":\"https://doi.org/10.1002/jfa2.12027\",\"RegionNum\":3,\"RegionCategory\":\"医学\",\"ArticlePicture\":[],\"TitleCN\":null,\"AbstractTextCN\":null,\"PMCID\":null,\"EPubDate\":\"\",\"PubModel\":\"\",\"JCR\":\"Q1\",\"JCRName\":\"ORTHOPEDICS\",\"Score\":null,\"Total\":0}","platform":"Semanticscholar","paperid":null,"PeriodicalName":"Journal of Foot and Ankle Research","FirstCategoryId":"3","ListUrlMain":"https://doi.org/10.1002/jfa2.12027","RegionNum":3,"RegionCategory":"医学","ArticlePicture":[],"TitleCN":null,"AbstractTextCN":null,"PMCID":null,"EPubDate":"","PubModel":"","JCR":"Q1","JCRName":"ORTHOPEDICS","Score":null,"Total":0}
引用次数: 0

摘要

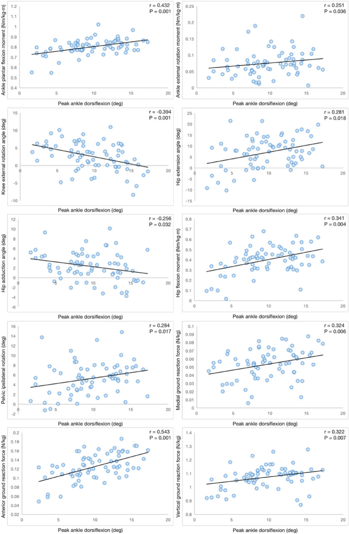
目的:已观察到踝关节外翻受限者在行走过程中出现异常的下肢运动模式。本研究的目的是调查行走时站立阶段踝关节外翻角度峰值与相应时刻下肢生物力学的关系,并确定行走时功能性踝关节外翻受限的临界值:方法:测量了 70 名健康参与者行走时的运动学和动力学数据。计算斯皮尔曼相关系数,以确定踝关节外翻峰值与踝关节、膝关节和髋关节的角度和力矩、地面反作用力以及踝关节外翻峰值时骨盆运动之间的关联。所有与踝关节外翻峰值有明显关系的变量都通过因子分析提取为一个共同因子。采用最大值选择 Wilcoxon 统计法进行截断值分析:结果:踝关节背屈峰值与踝关节跖屈力矩(r = 0.432;p = 0.001)、踝关节外旋力矩(r = 0.251;p = 0.036)、髋关节伸展角(r = 0.281;p = 0.018)、髋关节屈曲力矩(r = 0.341;p = 0.004)、骨盆同侧旋转角(r = 0.284;p = 0.017),以及内侧、前侧和垂直地面反作用力(r = 0.324;p = 0.006,r = 0.543;p = 0.001,r = 0.322;p = 0.007),与膝关节外旋角度(r = -0.394;p = 0.001)和髋关节内收角度(r = -0.256;p = 0.032)呈负相关。所有 70 名参与者的截止基线值为 9.03°:结论:踝关节外展角度峰值与行走时的下肢生物力学之间存在相关性。如果踝关节外展角度峰值小于 9.03°,下肢运动模式将发生显著变化。
本文章由计算机程序翻译,如有差异,请以英文原文为准。

The relationship of peak ankle dorsiflexion angle with lower extremity biomechanics during walking.

The relationship of peak ankle dorsiflexion angle with lower extremity biomechanics during walking.

The relationship of peak ankle dorsiflexion angle with lower extremity biomechanics during walking.

Purpose: Abnormal lower limb movement patterns have been observed during walking in individuals with limited ankle dorsiflexion. The purpose of this study was to investigate the relationships of peak ankle dorsiflexion angle during the stance phase of walking with the lower extremity biomechanics at the corresponding moment and to determine a cutoff value of functional limited ankle dorsiflexion during walking.

Methods: Kinematic and kinetic data of 70 healthy participants were measured during walking. Spearman's correlation coefficients were calculated to establish the association between peak ankle dorsiflexion and angle and moment of ankle, knee, and hip, ground reaction force, and pelvic movement at peak ankle dorsiflexion. All variables significantly related to peak ankle dorsiflexion were extracted as a common factor by factor analysis. Maximally selected Wilcoxon statistic was used to perform a cutoff value analysis.

Results: Peak ankle dorsiflexion positively correlated with ankle plantar flexion moment (r = 0.432; p = 0.001), ankle external rotation moment (r = 0.251; p = 0.036), hip extension angle (r = 0.281; p = 0.018), hip flexion moment (r = 0.341; p = 0.004), pelvic ipsilateral rotation angle (r = 0.284; p = 0.017), and medial, anterior, and vertical ground reaction force (r = 0.324; p = 0.006, r = 0.543; p = 0.001, r = 0.322; p = 0.007), negatively correlated with knee external rotation angle (r = -0.394; p = 0.001) and hip adduction angle (r = -0.256; p = 0.032). The cutoff baseline value for all 70 participants was 9.03°.

Conclusions: There is a correlation between the peak ankle dorsiflexion angle and the lower extremity biomechanics during walking. If the peak ankle dorsiflexion angle is less than 9.03°, the lower limb movement pattern will change significantly.

求助全文
通过发布文献求助,成功后即可免费获取论文全文。 去求助
来源期刊
CiteScore
4.50
自引率
10.30%
发文量
83
审稿时长
>12 weeks
期刊介绍: Journal of Foot and Ankle Research, the official journal of the Australian Podiatry Association and The College of Podiatry (UK), is an open access journal that encompasses all aspects of policy, organisation, delivery and clinical practice related to the assessment, diagnosis, prevention and management of foot and ankle disorders. Journal of Foot and Ankle Research covers a wide range of clinical subject areas, including diabetology, paediatrics, sports medicine, gerontology and geriatrics, foot surgery, physical therapy, dermatology, wound management, radiology, biomechanics and bioengineering, orthotics and prosthetics, as well the broad areas of epidemiology, policy, organisation and delivery of services related to foot and ankle care. The journal encourages submissions from all health professionals who manage lower limb conditions, including podiatrists, nurses, physical therapists and physiotherapists, orthopaedists, manual therapists, medical specialists and general medical practitioners, as well as health service researchers concerned with foot and ankle care. The Australian Podiatry Association and the College of Podiatry (UK) have reserve funds to cover the article-processing charge for manuscripts submitted by its members. Society members can email the appropriate contact at Australian Podiatry Association or The College of Podiatry to obtain the corresponding code to enter on submission.
×
引用
GB/T 7714-2015
复制
MLA
复制
APA
复制
导出至
BibTeX EndNote RefMan NoteFirst NoteExpress
×
提示
您的信息不完整,为了账户安全,请先补充。
现在去补充
×
提示
您因"违规操作"
具体请查看互助需知
我知道了
×
提示
确定
请完成安全验证×
copy
已复制链接
快去分享给好友吧!
我知道了
右上角分享
点击右上角分享
0
联系我们:info@booksci.cn Book学术提供免费学术资源搜索服务,方便国内外学者检索中英文文献。致力于提供最便捷和优质的服务体验。 Copyright © 2023 布克学术 All rights reserved.
京ICP备2023020795号-1
ghs 京公网安备 11010802042870号
Book学术文献互助
Book学术文献互助群
群 号:604180095
Book学术官方微信