圣保罗州镰状细胞病患者的死亡率趋势和与早死相关的社会人口因素。

IF 2
Nayara Dorta de Souza Avelino, Tulio Konstantyner, Kelsy Catherina Nema Areco, Juliana Moreira Franco, Josefina Aparecida Pellegrini Braga
{"title":"圣保罗州镰状细胞病患者的死亡率趋势和与早死相关的社会人口因素。","authors":"Nayara Dorta de Souza Avelino, Tulio Konstantyner, Kelsy Catherina Nema Areco, Juliana Moreira Franco, Josefina Aparecida Pellegrini Braga","doi":"10.1590/1984-0462/2024/42/2023113","DOIUrl":null,"url":null,"abstract":"<p><strong>Objective: </strong>To estimate trends in mortality rate and average age of death, and identify sociodemographic factors associated with early death in patients with sickle cell disease (SCD).</p><p><strong>Methods: </strong>An ecological and cross-sectional study was conducted using data from the Mortality Information System. All deaths of patients residing in the state of São Paulo from 1996 to 2015 with at least one International Disease Code for SCD in any field of the death certificate were included. Simple linear regression was used to estimate trends. The Log-rank test and multiple Cox regression were used to identify factors associated with early death.</p><p><strong>Results: </strong>The age-standardized mortality rate per million inhabitants increased by 0.080 per year (R2=0.761; p<0.001). When the events were stratified by age at death, the increase was 0.108 per year for those occurring at age 20 years or older, (R2=0.789; p<0.001) and 0.023 per year for those occurring before age 20 years old (R2=0.188; p=0.056). The average age at death increased by 0.617 years (7.4 months) per year (R2=0.835; p<0.001). Sociodemographic factors associated with early death identified were male gender (hazard ratio - HR=1.30), white race (HR=1.16), death occurring in the hospital (HR=1.29), and living in the Greater São Paulo (HR=1.13).</p><p><strong>Conclusions: </strong>The mortality rate and the average age of death in patients with SCD have increased over the last two decades. Sociodemographic factors such as gender, race, place of occurrence, and residence were found to be associated with early death.</p>","PeriodicalId":74721,"journal":{"name":"Revista paulista de pediatria : orgao oficial da Sociedade de Pediatria de Sao Paulo","volume":"42 ","pages":"e2023113"},"PeriodicalIF":2.0000,"publicationDate":"2024-05-27","publicationTypes":"Journal Article","fieldsOfStudy":null,"isOpenAccess":false,"openAccessPdf":"https://www.ncbi.nlm.nih.gov/pmc/articles/PMC11135900/pdf/","citationCount":"0","resultStr":"{\"title\":\"Mortality trends and sociodemographic factors associated with early death in sickle cell disease patients in the state of São Paulo.\",\"authors\":\"Nayara Dorta de Souza Avelino, Tulio Konstantyner, Kelsy Catherina Nema Areco, Juliana Moreira Franco, Josefina Aparecida Pellegrini Braga\",\"doi\":\"10.1590/1984-0462/2024/42/2023113\",\"DOIUrl\":null,\"url\":null,\"abstract\":\"<p><strong>Objective: </strong>To estimate trends in mortality rate and average age of death, and identify sociodemographic factors associated with early death in patients with sickle cell disease (SCD).</p><p><strong>Methods: </strong>An ecological and cross-sectional study was conducted using data from the Mortality Information System. All deaths of patients residing in the state of São Paulo from 1996 to 2015 with at least one International Disease Code for SCD in any field of the death certificate were included. Simple linear regression was used to estimate trends. The Log-rank test and multiple Cox regression were used to identify factors associated with early death.</p><p><strong>Results: </strong>The age-standardized mortality rate per million inhabitants increased by 0.080 per year (R2=0.761; p<0.001). When the events were stratified by age at death, the increase was 0.108 per year for those occurring at age 20 years or older, (R2=0.789; p<0.001) and 0.023 per year for those occurring before age 20 years old (R2=0.188; p=0.056). The average age at death increased by 0.617 years (7.4 months) per year (R2=0.835; p<0.001). Sociodemographic factors associated with early death identified were male gender (hazard ratio - HR=1.30), white race (HR=1.16), death occurring in the hospital (HR=1.29), and living in the Greater São Paulo (HR=1.13).</p><p><strong>Conclusions: </strong>The mortality rate and the average age of death in patients with SCD have increased over the last two decades. Sociodemographic factors such as gender, race, place of occurrence, and residence were found to be associated with early death.</p>\",\"PeriodicalId\":74721,\"journal\":{\"name\":\"Revista paulista de pediatria : orgao oficial da Sociedade de Pediatria de Sao Paulo\",\"volume\":\"42 \",\"pages\":\"e2023113\"},\"PeriodicalIF\":2.0000,\"publicationDate\":\"2024-05-27\",\"publicationTypes\":\"Journal Article\",\"fieldsOfStudy\":null,\"isOpenAccess\":false,\"openAccessPdf\":\"https://www.ncbi.nlm.nih.gov/pmc/articles/PMC11135900/pdf/\",\"citationCount\":\"0\",\"resultStr\":null,\"platform\":\"Semanticscholar\",\"paperid\":null,\"PeriodicalName\":\"Revista paulista de pediatria : orgao oficial da Sociedade de Pediatria de Sao Paulo\",\"FirstCategoryId\":\"1085\",\"ListUrlMain\":\"https://doi.org/10.1590/1984-0462/2024/42/2023113\",\"RegionNum\":0,\"RegionCategory\":null,\"ArticlePicture\":[],\"TitleCN\":null,\"AbstractTextCN\":null,\"PMCID\":null,\"EPubDate\":\"2024/1/1 0:00:00\",\"PubModel\":\"eCollection\",\"JCR\":\"\",\"JCRName\":\"\",\"Score\":null,\"Total\":0}","platform":"Semanticscholar","paperid":null,"PeriodicalName":"Revista paulista de pediatria : orgao oficial da Sociedade de Pediatria de Sao Paulo","FirstCategoryId":"1085","ListUrlMain":"https://doi.org/10.1590/1984-0462/2024/42/2023113","RegionNum":0,"RegionCategory":null,"ArticlePicture":[],"TitleCN":null,"AbstractTextCN":null,"PMCID":null,"EPubDate":"2024/1/1 0:00:00","PubModel":"eCollection","JCR":"","JCRName":"","Score":null,"Total":0}
引用次数: 0

摘要

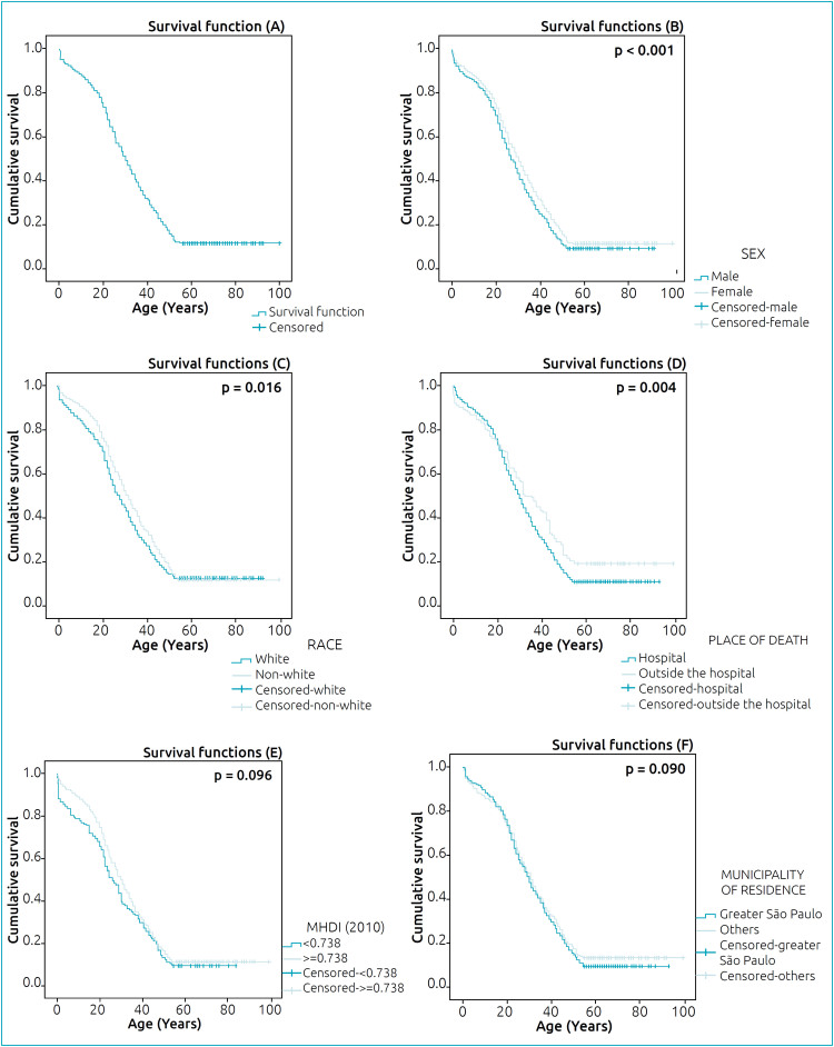
摘要估计镰状细胞病(SCD)患者的死亡率和平均死亡年龄的变化趋势,并确定与患者过早死亡相关的社会人口因素:利用死亡率信息系统的数据进行了一项生态学横断面研究。研究纳入了 1996 年至 2015 年期间居住在圣保罗州的所有死亡患者,这些患者的死亡证明中任何一栏都至少有一个 SCD 国际疾病代码。简单线性回归用于估计趋势。采用对数秩检验和多元 Cox 回归来确定与早期死亡相关的因素:结果:每百万居民的年龄标准化死亡率每年增加 0.080(R2=0.761;p):在过去二十年中,SCD 患者的死亡率和平均死亡年龄都有所上升。性别、种族、发病地点和居住地等社会人口因素与早死有关。
本文章由计算机程序翻译,如有差异,请以英文原文为准。

Mortality trends and sociodemographic factors associated with early death in sickle cell disease patients in the state of São Paulo.

Mortality trends and sociodemographic factors associated with early death in sickle cell disease patients in the state of São Paulo.

Mortality trends and sociodemographic factors associated with early death in sickle cell disease patients in the state of São Paulo.

Objective: To estimate trends in mortality rate and average age of death, and identify sociodemographic factors associated with early death in patients with sickle cell disease (SCD).

Methods: An ecological and cross-sectional study was conducted using data from the Mortality Information System. All deaths of patients residing in the state of São Paulo from 1996 to 2015 with at least one International Disease Code for SCD in any field of the death certificate were included. Simple linear regression was used to estimate trends. The Log-rank test and multiple Cox regression were used to identify factors associated with early death.

Results: The age-standardized mortality rate per million inhabitants increased by 0.080 per year (R2=0.761; p<0.001). When the events were stratified by age at death, the increase was 0.108 per year for those occurring at age 20 years or older, (R2=0.789; p<0.001) and 0.023 per year for those occurring before age 20 years old (R2=0.188; p=0.056). The average age at death increased by 0.617 years (7.4 months) per year (R2=0.835; p<0.001). Sociodemographic factors associated with early death identified were male gender (hazard ratio - HR=1.30), white race (HR=1.16), death occurring in the hospital (HR=1.29), and living in the Greater São Paulo (HR=1.13).

Conclusions: The mortality rate and the average age of death in patients with SCD have increased over the last two decades. Sociodemographic factors such as gender, race, place of occurrence, and residence were found to be associated with early death.

求助全文
通过发布文献求助,成功后即可免费获取论文全文。 去求助
来源期刊
自引率
0.00%
发文量
0
×
引用
GB/T 7714-2015
复制
MLA
复制
APA
复制
导出至
BibTeX EndNote RefMan NoteFirst NoteExpress
×
提示
您的信息不完整,为了账户安全,请先补充。
现在去补充
×
提示
您因"违规操作"
具体请查看互助需知
我知道了
×
提示
确定
请完成安全验证×
copy
已复制链接
快去分享给好友吧!
我知道了
右上角分享
点击右上角分享
0
联系我们:info@booksci.cn Book学术提供免费学术资源搜索服务,方便国内外学者检索中英文文献。致力于提供最便捷和优质的服务体验。 Copyright © 2023 布克学术 All rights reserved.
京ICP备2023020795号-1
ghs 京公网安备 11010802042870号
Book学术文献互助
Book学术文献互助群
群 号:604180095
Book学术官方微信