通过脉冲振荡测量系统和肺活量测定法评估患有囊性纤维化的儿童和青少年的支气管扩张反应。

IF 2
Tayná Castilho, José Dirceu Ribeiro, Renata Maba Gonçalves Wamosy, Juliana Cardoso, Gabriela Castilhos Ducati, Camila Isabel Santos Schivinski
{"title":"通过脉冲振荡测量系统和肺活量测定法评估患有囊性纤维化的儿童和青少年的支气管扩张反应。","authors":"Tayná Castilho, José Dirceu Ribeiro, Renata Maba Gonçalves Wamosy, Juliana Cardoso, Gabriela Castilhos Ducati, Camila Isabel Santos Schivinski","doi":"10.1590/1984-0462/2024/42/2023162","DOIUrl":null,"url":null,"abstract":"<p><strong>Objective: </strong>To investigate the effect of bronchodilator on the respiratory mechanics and pulmonary function of children and adolescents with cystic fibrosis.</p><p><strong>Methods: </strong>Cross-sectional study on clinically stable children and adolescents with cystic fibrosis aged from six to 15 years. Participants underwent impulse oscillometry and spirometry evaluations before and 15 minutes after bronchodilator inhalation. The Kolmogorov-Smirnov test was applied to verify the sample distribution, and the Student's t-test and Wilcoxon test were used to compare the data before and after bronchodilator inhalation.</p><p><strong>Results: </strong>The study included 54 individuals with a mean age of 9.7±2.8 years. The analysis showed a statistically significant improvement in impulse oscillometry and spirometry parameters after bronchodilator inhalation. However, according to the American Thoracic Society (ATS) and European Respiratory Society (ERS) recommendations (2020 and 2021), this improvement was not sufficient to classify it as a bronchodilator response.</p><p><strong>Conclusions: </strong>The use of bronchodilator medication improved respiratory mechanics and pulmonary function parameters of children and adolescents with cystic fibrosis; however, most patients did not show bronchodilator response according to ATS/ERS recommendations.</p>","PeriodicalId":74721,"journal":{"name":"Revista paulista de pediatria : orgao oficial da Sociedade de Pediatria de Sao Paulo","volume":"42 ","pages":"e2023162"},"PeriodicalIF":2.0000,"publicationDate":"2024-05-27","publicationTypes":"Journal Article","fieldsOfStudy":null,"isOpenAccess":false,"openAccessPdf":"https://www.ncbi.nlm.nih.gov/pmc/articles/PMC11135897/pdf/","citationCount":"0","resultStr":"{\"title\":\"Bronchodilator response assessment through impulse oscillometry system and spirometry in children and adolescents with cystic fibrosis.\",\"authors\":\"Tayná Castilho, José Dirceu Ribeiro, Renata Maba Gonçalves Wamosy, Juliana Cardoso, Gabriela Castilhos Ducati, Camila Isabel Santos Schivinski\",\"doi\":\"10.1590/1984-0462/2024/42/2023162\",\"DOIUrl\":null,\"url\":null,\"abstract\":\"<p><strong>Objective: </strong>To investigate the effect of bronchodilator on the respiratory mechanics and pulmonary function of children and adolescents with cystic fibrosis.</p><p><strong>Methods: </strong>Cross-sectional study on clinically stable children and adolescents with cystic fibrosis aged from six to 15 years. Participants underwent impulse oscillometry and spirometry evaluations before and 15 minutes after bronchodilator inhalation. The Kolmogorov-Smirnov test was applied to verify the sample distribution, and the Student's t-test and Wilcoxon test were used to compare the data before and after bronchodilator inhalation.</p><p><strong>Results: </strong>The study included 54 individuals with a mean age of 9.7±2.8 years. The analysis showed a statistically significant improvement in impulse oscillometry and spirometry parameters after bronchodilator inhalation. However, according to the American Thoracic Society (ATS) and European Respiratory Society (ERS) recommendations (2020 and 2021), this improvement was not sufficient to classify it as a bronchodilator response.</p><p><strong>Conclusions: </strong>The use of bronchodilator medication improved respiratory mechanics and pulmonary function parameters of children and adolescents with cystic fibrosis; however, most patients did not show bronchodilator response according to ATS/ERS recommendations.</p>\",\"PeriodicalId\":74721,\"journal\":{\"name\":\"Revista paulista de pediatria : orgao oficial da Sociedade de Pediatria de Sao Paulo\",\"volume\":\"42 \",\"pages\":\"e2023162\"},\"PeriodicalIF\":2.0000,\"publicationDate\":\"2024-05-27\",\"publicationTypes\":\"Journal Article\",\"fieldsOfStudy\":null,\"isOpenAccess\":false,\"openAccessPdf\":\"https://www.ncbi.nlm.nih.gov/pmc/articles/PMC11135897/pdf/\",\"citationCount\":\"0\",\"resultStr\":null,\"platform\":\"Semanticscholar\",\"paperid\":null,\"PeriodicalName\":\"Revista paulista de pediatria : orgao oficial da Sociedade de Pediatria de Sao Paulo\",\"FirstCategoryId\":\"1085\",\"ListUrlMain\":\"https://doi.org/10.1590/1984-0462/2024/42/2023162\",\"RegionNum\":0,\"RegionCategory\":null,\"ArticlePicture\":[],\"TitleCN\":null,\"AbstractTextCN\":null,\"PMCID\":null,\"EPubDate\":\"2024/1/1 0:00:00\",\"PubModel\":\"eCollection\",\"JCR\":\"\",\"JCRName\":\"\",\"Score\":null,\"Total\":0}","platform":"Semanticscholar","paperid":null,"PeriodicalName":"Revista paulista de pediatria : orgao oficial da Sociedade de Pediatria de Sao Paulo","FirstCategoryId":"1085","ListUrlMain":"https://doi.org/10.1590/1984-0462/2024/42/2023162","RegionNum":0,"RegionCategory":null,"ArticlePicture":[],"TitleCN":null,"AbstractTextCN":null,"PMCID":null,"EPubDate":"2024/1/1 0:00:00","PubModel":"eCollection","JCR":"","JCRName":"","Score":null,"Total":0}
引用次数: 0

摘要

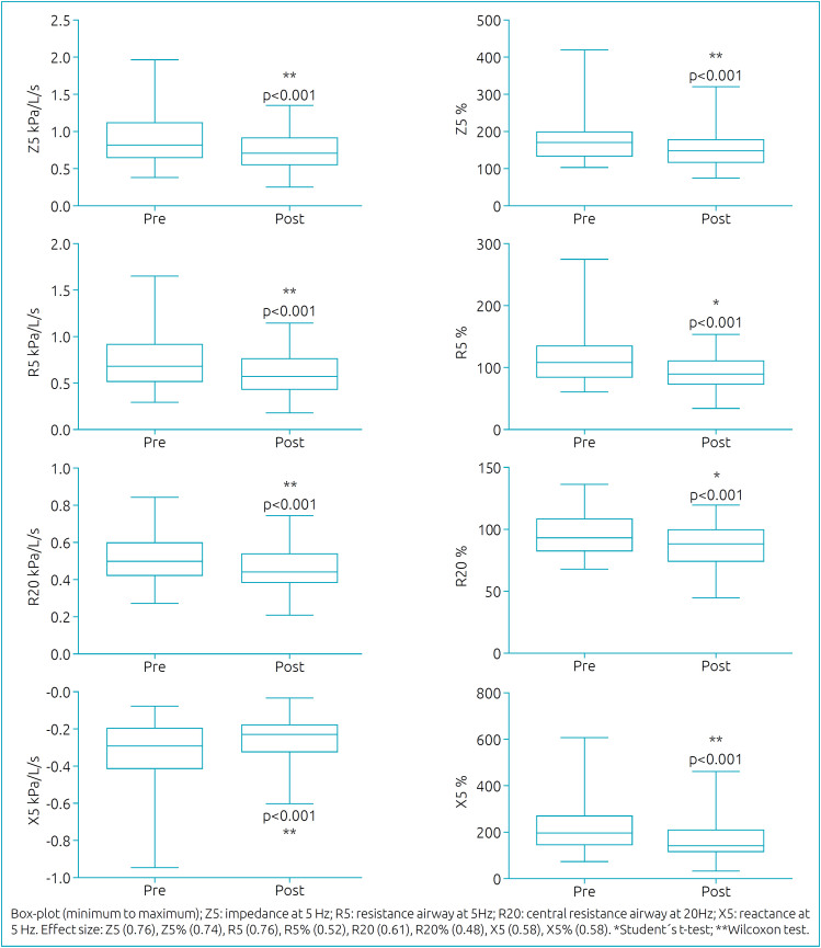
目的:研究支气管扩张剂对囊性纤维化儿童和青少年呼吸力学和肺功能的影响:研究支气管扩张剂对囊性纤维化儿童和青少年呼吸力学和肺功能的影响:横断面研究,对象为临床病情稳定的 6 至 15 岁囊性纤维化儿童和青少年。参与者在吸入支气管扩张剂之前和之后 15 分钟接受脉冲振荡测量和肺活量评估。采用Kolmogorov-Smirnov检验验证样本分布,采用学生t检验和Wilcoxon检验比较吸入支气管扩张剂前后的数据:研究共纳入54人,平均年龄为(9.7±2.8)岁。分析表明,吸入支气管扩张剂后,脉冲振荡计和肺活量参数有明显改善。然而,根据美国胸科学会(ATS)和欧洲呼吸学会(ERS)的建议(2020 年和 2021 年),这种改善不足以将其归类为支气管扩张剂反应:使用支气管扩张剂药物可改善囊性纤维化儿童和青少年的呼吸力学和肺功能参数;然而,根据美国胸科学会(ATS)/欧洲呼吸学会(ERS)的建议,大多数患者并未表现出支气管扩张剂反应。
本文章由计算机程序翻译,如有差异,请以英文原文为准。

Bronchodilator response assessment through impulse oscillometry system and spirometry in children and adolescents with cystic fibrosis.

Bronchodilator response assessment through impulse oscillometry system and spirometry in children and adolescents with cystic fibrosis.

Bronchodilator response assessment through impulse oscillometry system and spirometry in children and adolescents with cystic fibrosis.

Objective: To investigate the effect of bronchodilator on the respiratory mechanics and pulmonary function of children and adolescents with cystic fibrosis.

Methods: Cross-sectional study on clinically stable children and adolescents with cystic fibrosis aged from six to 15 years. Participants underwent impulse oscillometry and spirometry evaluations before and 15 minutes after bronchodilator inhalation. The Kolmogorov-Smirnov test was applied to verify the sample distribution, and the Student's t-test and Wilcoxon test were used to compare the data before and after bronchodilator inhalation.

Results: The study included 54 individuals with a mean age of 9.7±2.8 years. The analysis showed a statistically significant improvement in impulse oscillometry and spirometry parameters after bronchodilator inhalation. However, according to the American Thoracic Society (ATS) and European Respiratory Society (ERS) recommendations (2020 and 2021), this improvement was not sufficient to classify it as a bronchodilator response.

Conclusions: The use of bronchodilator medication improved respiratory mechanics and pulmonary function parameters of children and adolescents with cystic fibrosis; however, most patients did not show bronchodilator response according to ATS/ERS recommendations.

求助全文
通过发布文献求助,成功后即可免费获取论文全文。 去求助
来源期刊
自引率
0.00%
发文量
0
×
引用
GB/T 7714-2015
复制
MLA
复制
APA
复制
导出至
BibTeX EndNote RefMan NoteFirst NoteExpress
×
提示
您的信息不完整,为了账户安全,请先补充。
现在去补充
×
提示
您因"违规操作"
具体请查看互助需知
我知道了
×
提示
确定
请完成安全验证×
copy
已复制链接
快去分享给好友吧!
我知道了
右上角分享
点击右上角分享
0
联系我们:info@booksci.cn Book学术提供免费学术资源搜索服务,方便国内外学者检索中英文文献。致力于提供最便捷和优质的服务体验。 Copyright © 2023 布克学术 All rights reserved.
京ICP备2023020795号-1
ghs 京公网安备 11010802042870号
Book学术文献互助
Book学术文献互助群
群 号:604180095
Book学术官方微信