玻璃化技术改变了人类积膜颗粒细胞中生长分化因子 9 和卵泡刺激素受体的表达。

IF 1.6 Q3 OBSTETRICS & GYNECOLOGY
Batara Sirait, Budi Wiweko, Nining Handayani, Ayu Mulia Sundari, Raden Muharam, Ahmad Aulia Jusuf, Dwi Anita Suryandari, Ichramsjah A Rachman, Indah Suci Widyahening, Arief Boediono
{"title":"玻璃化技术改变了人类积膜颗粒细胞中生长分化因子 9 和卵泡刺激素受体的表达。","authors":"Batara Sirait, Budi Wiweko, Nining Handayani, Ayu Mulia Sundari, Raden Muharam, Ahmad Aulia Jusuf, Dwi Anita Suryandari, Ichramsjah A Rachman, Indah Suci Widyahening, Arief Boediono","doi":"10.5653/cerm.2023.06198","DOIUrl":null,"url":null,"abstract":"<p><strong>Objective: </strong>Ovarian tissue vitrification is widely utilized for fertility preservation in prepubertal and adolescent female patients with cancer. The current literature includes reports of successful pregnancy and live birth following autografting. However, the effects of the vitrification process on cumulus-mural granulosa cells (C-mGCs)-somatic cells in ovarian tissue crucial for oocyte maturation and early embryonic development-remain unclear. This study was conducted to explore the impact of vitrification on the cellular function of C-mGCs by quantifying the expression of growth differentiation factor 9 (GDF-9), bone morphogenetic protein 15 (BMP-15), follicle-stimulating hormone receptor (FSHR), luteinizing hormone receptor (LHR), connexin 37, survivin, and caspase 3.</p><p><strong>Methods: </strong>Mature and immature C-mGCs were obtained from 38 women with polycystic ovary syndrome who participated in an in vitro fertilization program. The C-mGCs were then divided into two groups: fresh and vitrified. The expression levels of target genes were assessed using real-time quantitative polymerase chain reaction.</p><p><strong>Results: </strong>After vitrification, GDF-9 expression was significantly decreased among both mature and immature C-mGCs, with 0.2- and 0.1-fold changes, respectively (p<0.01). Similarly, FSHR expression in the mature and immature groups was reduced by 0.1- and 0.02-fold, respectively, following vitrification (p<0.01). The expression levels of the other genes, including BMP-15, LHR, connexin 37, survivin, and caspase 3, remained similar across the examined groups (p>0.05).</p><p><strong>Conclusion: </strong>Vitrification may compromise oocyte maturation through reduced GDF-9 and FSHR expression in C-mGCs after warming.</p>","PeriodicalId":46409,"journal":{"name":"Clinical and Experimental Reproductive Medicine-CERM","volume":" ","pages":"293-300"},"PeriodicalIF":1.6000,"publicationDate":"2024-12-01","publicationTypes":"Journal Article","fieldsOfStudy":null,"isOpenAccess":false,"openAccessPdf":"https://www.ncbi.nlm.nih.gov/pmc/articles/PMC11617908/pdf/","citationCount":"0","resultStr":"{\"title\":\"Vitrification alters growth differentiation factor 9 and follicle-stimulating hormone receptor expression in human cumulus-mural granulosa cells.\",\"authors\":\"Batara Sirait, Budi Wiweko, Nining Handayani, Ayu Mulia Sundari, Raden Muharam, Ahmad Aulia Jusuf, Dwi Anita Suryandari, Ichramsjah A Rachman, Indah Suci Widyahening, Arief Boediono\",\"doi\":\"10.5653/cerm.2023.06198\",\"DOIUrl\":null,\"url\":null,\"abstract\":\"<p><strong>Objective: </strong>Ovarian tissue vitrification is widely utilized for fertility preservation in prepubertal and adolescent female patients with cancer. The current literature includes reports of successful pregnancy and live birth following autografting. However, the effects of the vitrification process on cumulus-mural granulosa cells (C-mGCs)-somatic cells in ovarian tissue crucial for oocyte maturation and early embryonic development-remain unclear. This study was conducted to explore the impact of vitrification on the cellular function of C-mGCs by quantifying the expression of growth differentiation factor 9 (GDF-9), bone morphogenetic protein 15 (BMP-15), follicle-stimulating hormone receptor (FSHR), luteinizing hormone receptor (LHR), connexin 37, survivin, and caspase 3.</p><p><strong>Methods: </strong>Mature and immature C-mGCs were obtained from 38 women with polycystic ovary syndrome who participated in an in vitro fertilization program. The C-mGCs were then divided into two groups: fresh and vitrified. The expression levels of target genes were assessed using real-time quantitative polymerase chain reaction.</p><p><strong>Results: </strong>After vitrification, GDF-9 expression was significantly decreased among both mature and immature C-mGCs, with 0.2- and 0.1-fold changes, respectively (p<0.01). Similarly, FSHR expression in the mature and immature groups was reduced by 0.1- and 0.02-fold, respectively, following vitrification (p<0.01). The expression levels of the other genes, including BMP-15, LHR, connexin 37, survivin, and caspase 3, remained similar across the examined groups (p>0.05).</p><p><strong>Conclusion: </strong>Vitrification may compromise oocyte maturation through reduced GDF-9 and FSHR expression in C-mGCs after warming.</p>\",\"PeriodicalId\":46409,\"journal\":{\"name\":\"Clinical and Experimental Reproductive Medicine-CERM\",\"volume\":\" \",\"pages\":\"293-300\"},\"PeriodicalIF\":1.6000,\"publicationDate\":\"2024-12-01\",\"publicationTypes\":\"Journal Article\",\"fieldsOfStudy\":null,\"isOpenAccess\":false,\"openAccessPdf\":\"https://www.ncbi.nlm.nih.gov/pmc/articles/PMC11617908/pdf/\",\"citationCount\":\"0\",\"resultStr\":null,\"platform\":\"Semanticscholar\",\"paperid\":null,\"PeriodicalName\":\"Clinical and Experimental Reproductive Medicine-CERM\",\"FirstCategoryId\":\"1085\",\"ListUrlMain\":\"https://doi.org/10.5653/cerm.2023.06198\",\"RegionNum\":0,\"RegionCategory\":null,\"ArticlePicture\":[],\"TitleCN\":null,\"AbstractTextCN\":null,\"PMCID\":null,\"EPubDate\":\"2024/5/17 0:00:00\",\"PubModel\":\"Epub\",\"JCR\":\"Q3\",\"JCRName\":\"OBSTETRICS & GYNECOLOGY\",\"Score\":null,\"Total\":0}","platform":"Semanticscholar","paperid":null,"PeriodicalName":"Clinical and Experimental Reproductive Medicine-CERM","FirstCategoryId":"1085","ListUrlMain":"https://doi.org/10.5653/cerm.2023.06198","RegionNum":0,"RegionCategory":null,"ArticlePicture":[],"TitleCN":null,"AbstractTextCN":null,"PMCID":null,"EPubDate":"2024/5/17 0:00:00","PubModel":"Epub","JCR":"Q3","JCRName":"OBSTETRICS & GYNECOLOGY","Score":null,"Total":0}
引用次数: 0

摘要

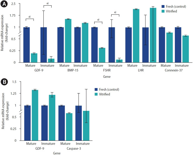
目的:卵巢组织玻璃化术被广泛用于青春期前和青春期女性癌症患者的生育力保存。目前的文献包括自体移植后成功怀孕和活产的报道。然而,玻璃化过程对卵巢组织中对卵母细胞成熟和早期胚胎发育至关重要的有性细胞--积膜颗粒细胞(C-mGCs)的影响仍不清楚。本研究通过量化生长分化因子 9 (GDF-9)、骨形态发生蛋白 15 (BMP-15)、卵泡刺激素受体 (FSHR)、黄体生成素受体 (LHR)、连接蛋白 37、survivin 和 caspase 3 的表达,探讨玻璃化对 C-mGCs 细胞功能的影响:方法:从38名参加体外受精项目的多囊卵巢综合征妇女体内获得成熟和不成熟的C-mGCs。然后将 C-mGCs 分成两组:新鲜组和玻璃化组。使用实时定量聚合酶链反应评估目标基因的表达水平:结果:玻璃化后,成熟和未成熟C-mGCs的GDF-9表达量明显下降,分别为0.2倍和0.1倍(p0.05):结论:玻璃化后,C-mGCs 中 GDF-9 和 FSHR 的表达量减少,可能会影响卵母细胞的成熟。
本文章由计算机程序翻译,如有差异,请以英文原文为准。

Vitrification alters growth differentiation factor 9 and follicle-stimulating hormone receptor expression in human cumulus-mural granulosa cells.

Vitrification alters growth differentiation factor 9 and follicle-stimulating hormone receptor expression in human cumulus-mural granulosa cells.

Vitrification alters growth differentiation factor 9 and follicle-stimulating hormone receptor expression in human cumulus-mural granulosa cells.

Objective: Ovarian tissue vitrification is widely utilized for fertility preservation in prepubertal and adolescent female patients with cancer. The current literature includes reports of successful pregnancy and live birth following autografting. However, the effects of the vitrification process on cumulus-mural granulosa cells (C-mGCs)-somatic cells in ovarian tissue crucial for oocyte maturation and early embryonic development-remain unclear. This study was conducted to explore the impact of vitrification on the cellular function of C-mGCs by quantifying the expression of growth differentiation factor 9 (GDF-9), bone morphogenetic protein 15 (BMP-15), follicle-stimulating hormone receptor (FSHR), luteinizing hormone receptor (LHR), connexin 37, survivin, and caspase 3.

Methods: Mature and immature C-mGCs were obtained from 38 women with polycystic ovary syndrome who participated in an in vitro fertilization program. The C-mGCs were then divided into two groups: fresh and vitrified. The expression levels of target genes were assessed using real-time quantitative polymerase chain reaction.

Results: After vitrification, GDF-9 expression was significantly decreased among both mature and immature C-mGCs, with 0.2- and 0.1-fold changes, respectively (p<0.01). Similarly, FSHR expression in the mature and immature groups was reduced by 0.1- and 0.02-fold, respectively, following vitrification (p<0.01). The expression levels of the other genes, including BMP-15, LHR, connexin 37, survivin, and caspase 3, remained similar across the examined groups (p>0.05).

Conclusion: Vitrification may compromise oocyte maturation through reduced GDF-9 and FSHR expression in C-mGCs after warming.

求助全文
通过发布文献求助,成功后即可免费获取论文全文。 去求助
来源期刊
CiteScore
3.30
自引率
0.00%
发文量
0
×
引用
GB/T 7714-2015
复制
MLA
复制
APA
复制
导出至
BibTeX EndNote RefMan NoteFirst NoteExpress
×
提示
您的信息不完整,为了账户安全,请先补充。
现在去补充
×
提示
您因"违规操作"
具体请查看互助需知
我知道了
×
提示
确定
请完成安全验证×
copy
已复制链接
快去分享给好友吧!
我知道了
右上角分享
点击右上角分享
0
联系我们:info@booksci.cn Book学术提供免费学术资源搜索服务,方便国内外学者检索中英文文献。致力于提供最便捷和优质的服务体验。 Copyright © 2023 布克学术 All rights reserved.
京ICP备2023020795号-1
ghs 京公网安备 11010802042870号
Book学术文献互助
Book学术文献互助群
群 号:604180095
Book学术官方微信