卡迪夫痤疮残疾指数(CADI)僧伽罗语译本的验证与文化适应。

IF 1.8 Q3 HEALTH CARE SCIENCES & SERVICES
Patient Related Outcome Measures Pub Date : 2024-05-08 eCollection Date: 2024-01-01 DOI:10.2147/PROM.S451537
Achala Liyanage, Shamini Prathapan, Chathurika Jayarathne, Ludhmila Savani Ranaweera, Jennifer Perera
{"title":"卡迪夫痤疮残疾指数(CADI)僧伽罗语译本的验证与文化适应。","authors":"Achala Liyanage, Shamini Prathapan, Chathurika Jayarathne, Ludhmila Savani Ranaweera, Jennifer Perera","doi":"10.2147/PROM.S451537","DOIUrl":null,"url":null,"abstract":"<p><strong>Introduction: </strong>Quality of life (QoL) is impaired in patients with acne vulgaris. The Cardiff Acne Disability Index (CADI) that assesses QoL of acne patients was initially developed in English and is being currently used widely after being validated in different languages. This study was conducted to validate the CADI in Sinhala, a language used by the majority of Sri Lanka.</p><p><strong>Materials and methods: </strong>The CADI was translated into Sinhala, and lingually validated as per published guidelines. This CADI-Sinhala version and the Sinhala version of the Dermatology Life Quality Index (DLQI) were simultaneously administered to 150 Sinhala-speaking young adults with acne. The clinical severity of acne was assessed using the Global Acne Grading System (GAGS). The Cronbach's alpha and Spearman correlation coefficients were used to determine the internal consistency, reliability, and validity of the CADI-Sinhala. Construct validity was examined using a factor analysis.</p><p><strong>Results: </strong>The study included 90% females and their mean age was 23 (SD, 2.5) years. The majority (97.3%) had acne of mild to moderate severity when measured by the GAGS. The CADI-Sinhala Scale showed a Cronbach's alpha coefficient of 0.819 indicating high internal consistency and reliability. The mean item-total correlation coefficient was 0.74 (range, 0.42-0.87) with CADI Q3 having the lowest correlation. CADI Sinhala showed a strong and highly significant correlation with the Sinhala DLQI (Spearman's rho = 0.66; P< 0.001) indicating concurrent validity. The correlation with GAGS was of low intensity, although it was statistically significant (p < 0.01).</p><p><strong>Conclusion: </strong>The CADI-Sinhala is a reliable and valid tool for assessing the QoL of Sinhala-speaking acne patients. This five-item tool will help clinicians to provide holistic treatment through improved understanding of patient's perspectives.</p>","PeriodicalId":19747,"journal":{"name":"Patient Related Outcome Measures","volume":"15 ","pages":"131-141"},"PeriodicalIF":1.8000,"publicationDate":"2024-05-08","publicationTypes":"Journal Article","fieldsOfStudy":null,"isOpenAccess":false,"openAccessPdf":"https://www.ncbi.nlm.nih.gov/pmc/articles/PMC11088832/pdf/","citationCount":"0","resultStr":"{\"title\":\"Validation and Cultural Adaptation of the Sinhala Translation of the Cardiff Acne Disability Index (CADI).\",\"authors\":\"Achala Liyanage, Shamini Prathapan, Chathurika Jayarathne, Ludhmila Savani Ranaweera, Jennifer Perera\",\"doi\":\"10.2147/PROM.S451537\",\"DOIUrl\":null,\"url\":null,\"abstract\":\"<p><strong>Introduction: </strong>Quality of life (QoL) is impaired in patients with acne vulgaris. The Cardiff Acne Disability Index (CADI) that assesses QoL of acne patients was initially developed in English and is being currently used widely after being validated in different languages. This study was conducted to validate the CADI in Sinhala, a language used by the majority of Sri Lanka.</p><p><strong>Materials and methods: </strong>The CADI was translated into Sinhala, and lingually validated as per published guidelines. This CADI-Sinhala version and the Sinhala version of the Dermatology Life Quality Index (DLQI) were simultaneously administered to 150 Sinhala-speaking young adults with acne. The clinical severity of acne was assessed using the Global Acne Grading System (GAGS). The Cronbach's alpha and Spearman correlation coefficients were used to determine the internal consistency, reliability, and validity of the CADI-Sinhala. Construct validity was examined using a factor analysis.</p><p><strong>Results: </strong>The study included 90% females and their mean age was 23 (SD, 2.5) years. The majority (97.3%) had acne of mild to moderate severity when measured by the GAGS. The CADI-Sinhala Scale showed a Cronbach's alpha coefficient of 0.819 indicating high internal consistency and reliability. The mean item-total correlation coefficient was 0.74 (range, 0.42-0.87) with CADI Q3 having the lowest correlation. CADI Sinhala showed a strong and highly significant correlation with the Sinhala DLQI (Spearman's rho = 0.66; P< 0.001) indicating concurrent validity. The correlation with GAGS was of low intensity, although it was statistically significant (p < 0.01).</p><p><strong>Conclusion: </strong>The CADI-Sinhala is a reliable and valid tool for assessing the QoL of Sinhala-speaking acne patients. This five-item tool will help clinicians to provide holistic treatment through improved understanding of patient's perspectives.</p>\",\"PeriodicalId\":19747,\"journal\":{\"name\":\"Patient Related Outcome Measures\",\"volume\":\"15 \",\"pages\":\"131-141\"},\"PeriodicalIF\":1.8000,\"publicationDate\":\"2024-05-08\",\"publicationTypes\":\"Journal Article\",\"fieldsOfStudy\":null,\"isOpenAccess\":false,\"openAccessPdf\":\"https://www.ncbi.nlm.nih.gov/pmc/articles/PMC11088832/pdf/\",\"citationCount\":\"0\",\"resultStr\":null,\"platform\":\"Semanticscholar\",\"paperid\":null,\"PeriodicalName\":\"Patient Related Outcome Measures\",\"FirstCategoryId\":\"1085\",\"ListUrlMain\":\"https://doi.org/10.2147/PROM.S451537\",\"RegionNum\":0,\"RegionCategory\":null,\"ArticlePicture\":[],\"TitleCN\":null,\"AbstractTextCN\":null,\"PMCID\":null,\"EPubDate\":\"2024/1/1 0:00:00\",\"PubModel\":\"eCollection\",\"JCR\":\"Q3\",\"JCRName\":\"HEALTH CARE SCIENCES & SERVICES\",\"Score\":null,\"Total\":0}","platform":"Semanticscholar","paperid":null,"PeriodicalName":"Patient Related Outcome Measures","FirstCategoryId":"1085","ListUrlMain":"https://doi.org/10.2147/PROM.S451537","RegionNum":0,"RegionCategory":null,"ArticlePicture":[],"TitleCN":null,"AbstractTextCN":null,"PMCID":null,"EPubDate":"2024/1/1 0:00:00","PubModel":"eCollection","JCR":"Q3","JCRName":"HEALTH CARE SCIENCES & SERVICES","Score":null,"Total":0}
引用次数: 0

摘要

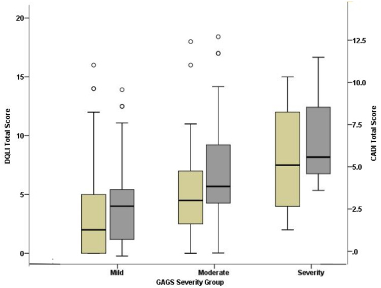
介绍:寻常型痤疮患者的生活质量(QoL)会受到影响。评估痤疮患者生活质量的卡迪夫痤疮残疾指数(CADI)最初是用英语开发的,经过不同语言的验证后,目前被广泛使用。本研究旨在验证僧伽罗语的 CADI,僧伽罗语是斯里兰卡大多数人使用的语言:根据已发布的指南,将 CADI 翻译成僧伽罗语,并进行语言验证。150 名讲僧伽罗语的年轻痤疮患者同时接受了该 CADI 僧伽罗语版和僧伽罗语版皮肤病生活质量指数(DLQI)的测试。痤疮的临床严重程度采用全球痤疮分级系统(GAGS)进行评估。Cronbach'sα和Spearman相关系数用于确定CADI-Sinhala的内部一致性、可靠性和有效性。采用因子分析对结构效度进行了检验:研究对象中有 90% 为女性,平均年龄为 23 岁(标准差为 2.5 岁)。大多数人(97.3%)的痤疮程度为轻度至中度(根据 GAGS 测量)。CADI-Sinhala 量表的 Cronbach's alpha 系数为 0.819,表明其内部一致性和可靠性较高。平均项目-总相关系数为 0.74(范围为 0.42-0.87),其中 CADI Q3 的相关系数最低。僧伽罗语流利程度测验与僧伽罗语 DLQI 有非常显著的相关性(Spearman's rho = 0.66;P< 0.001),表明两者具有并存效度。与 GAGS 的相关性较低,但具有统计学意义(P < 0.01):CADI-僧伽罗语是评估僧伽罗语痤疮患者 QoL 的可靠而有效的工具。这一包含五个项目的工具将有助于临床医生通过更好地了解患者的观点来提供整体治疗。
本文章由计算机程序翻译,如有差异,请以英文原文为准。

Validation and Cultural Adaptation of the Sinhala Translation of the Cardiff Acne Disability Index (CADI).

Validation and Cultural Adaptation of the Sinhala Translation of the Cardiff Acne Disability Index (CADI).

Validation and Cultural Adaptation of the Sinhala Translation of the Cardiff Acne Disability Index (CADI).

Introduction: Quality of life (QoL) is impaired in patients with acne vulgaris. The Cardiff Acne Disability Index (CADI) that assesses QoL of acne patients was initially developed in English and is being currently used widely after being validated in different languages. This study was conducted to validate the CADI in Sinhala, a language used by the majority of Sri Lanka.

Materials and methods: The CADI was translated into Sinhala, and lingually validated as per published guidelines. This CADI-Sinhala version and the Sinhala version of the Dermatology Life Quality Index (DLQI) were simultaneously administered to 150 Sinhala-speaking young adults with acne. The clinical severity of acne was assessed using the Global Acne Grading System (GAGS). The Cronbach's alpha and Spearman correlation coefficients were used to determine the internal consistency, reliability, and validity of the CADI-Sinhala. Construct validity was examined using a factor analysis.

Results: The study included 90% females and their mean age was 23 (SD, 2.5) years. The majority (97.3%) had acne of mild to moderate severity when measured by the GAGS. The CADI-Sinhala Scale showed a Cronbach's alpha coefficient of 0.819 indicating high internal consistency and reliability. The mean item-total correlation coefficient was 0.74 (range, 0.42-0.87) with CADI Q3 having the lowest correlation. CADI Sinhala showed a strong and highly significant correlation with the Sinhala DLQI (Spearman's rho = 0.66; P< 0.001) indicating concurrent validity. The correlation with GAGS was of low intensity, although it was statistically significant (p < 0.01).

Conclusion: The CADI-Sinhala is a reliable and valid tool for assessing the QoL of Sinhala-speaking acne patients. This five-item tool will help clinicians to provide holistic treatment through improved understanding of patient's perspectives.

求助全文
通过发布文献求助,成功后即可免费获取论文全文。 去求助
来源期刊
Patient Related Outcome Measures
Patient Related Outcome Measures HEALTH CARE SCIENCES & SERVICES-
自引率
4.80%
发文量
27
审稿时长
16 weeks
×
引用
GB/T 7714-2015
复制
MLA
复制
APA
复制
导出至
BibTeX EndNote RefMan NoteFirst NoteExpress
×
提示
您的信息不完整,为了账户安全,请先补充。
现在去补充
×
提示
您因"违规操作"
具体请查看互助需知
我知道了
×
提示
确定
请完成安全验证×
copy
已复制链接
快去分享给好友吧!
我知道了
右上角分享
点击右上角分享
0
联系我们:info@booksci.cn Book学术提供免费学术资源搜索服务,方便国内外学者检索中英文文献。致力于提供最便捷和优质的服务体验。 Copyright © 2023 布克学术 All rights reserved.
京ICP备2023020795号-1
ghs 京公网安备 11010802042870号
Book学术文献互助
Book学术文献互助群
群 号:604180095
Book学术官方微信