迈向狂躁症的自然疗法:红葱头皮提取物可调节神经元恢复能力、氧化还原信号和神经胶质激活。

IF 3.5 2区 医学 Q2 PSYCHIATRY
Chukwuma Raphael Ekeanyanwu, Chidinma Lynda Ekeanyanwu, Kingsley Nnaemeka Ugochukwu
{"title":"迈向狂躁症的自然疗法:红葱头皮提取物可调节神经元恢复能力、氧化还原信号和神经胶质激活。","authors":"Chukwuma Raphael Ekeanyanwu, Chidinma Lynda Ekeanyanwu, Kingsley Nnaemeka Ugochukwu","doi":"10.1186/s40345-024-00338-7","DOIUrl":null,"url":null,"abstract":"<p><strong>Background: </strong>Red onion husk, a readily available agricultural waste material, contains diverse bioactive compounds with potential health benefits. This study aimed to assess the safety and therapeutic potential of red onion husk extract in managing manic-like symptoms and associated neurochemical dysfunctions.</p><p><strong>Methods: </strong>Acute and repeated oral dose studies were conducted in mice and rats to evaluate the safety profile of the extract. FT-IR analysis identified functional groups in the extract, while GC-MS analysis identified specific bioactive compounds in the flavonoid-rich fraction. A ketamine-induced manic behaviour model in Wistar rats was employed to assess the extract's efficacy in attenuating manic-like symptoms. Behavioural and neurochemical analyses were performed to further investigate the extract's effects.</p><p><strong>Results: </strong>The extract demonstrated a favourable safety profile in both acute and repeated dose studies. FT-IR analysis revealed a complex mixture of organic compounds, including hydroxyl groups, alkynes/nitriles, aromatic and non-aromatic C = C bonds, amines, and polysaccharides. GC-MS analysis identified 17 bioactive compounds, including five-methyl-2-phenylindolizine, methadone N-oxide, and 3-phenylthiane, S-oxide. Ketamine administration significantly increased oxidative stress markers, TBARS, and suppressed antioxidant enzyme activities (SOD, GPx, CAT) in both the cerebral cortex and hippocampus, alongside elevated acetylcholinesterase (AchE) activity, indicating enhanced neuronal excitability. Pre-treatment with FRF (25 mg/kg) effectively mitigated ketamine-induced oxidative stress, as evidenced by reduced TBARS levels and partially restored SOD and GPx activities. Interestingly, FRF significantly increased CAT activity (p < 0.001), potentially suggesting an additional compensatory mechanism. Notably, FRF pre-treatment also counteracted ketamine-upregulated AchE activity, offering neuroprotection against heightened neuronal excitability.</p><p><strong>Conclusion: </strong>Red onion husk extract exhibits a favourable safety profile and exerts potent antioxidant and neuroprotective effects, possibly through modulating Nrf2 signalling pathways. Its ability to counteract ketamine-induced oxidative stress and neuronal hyperactivity highlights its potential as a complementary therapeutic strategy for managing manic episodes in bipolar disorder. Further research is warranted to elucidate the precise molecular mechanisms underlying FRF's action and explore its clinical efficacy in human studies.</p>","PeriodicalId":13944,"journal":{"name":"International Journal of Bipolar Disorders","volume":"12 1","pages":"16"},"PeriodicalIF":3.5000,"publicationDate":"2024-05-09","publicationTypes":"Journal Article","fieldsOfStudy":null,"isOpenAccess":false,"openAccessPdf":"https://www.ncbi.nlm.nih.gov/pmc/articles/PMC11082112/pdf/","citationCount":"0","resultStr":"{\"title\":\"Towards a natural treatment for mania: red onion husk extract modulates neuronal resilience, redox signalling, and glial activation.\",\"authors\":\"Chukwuma Raphael Ekeanyanwu, Chidinma Lynda Ekeanyanwu, Kingsley Nnaemeka Ugochukwu\",\"doi\":\"10.1186/s40345-024-00338-7\",\"DOIUrl\":null,\"url\":null,\"abstract\":\"<p><strong>Background: </strong>Red onion husk, a readily available agricultural waste material, contains diverse bioactive compounds with potential health benefits. This study aimed to assess the safety and therapeutic potential of red onion husk extract in managing manic-like symptoms and associated neurochemical dysfunctions.</p><p><strong>Methods: </strong>Acute and repeated oral dose studies were conducted in mice and rats to evaluate the safety profile of the extract. FT-IR analysis identified functional groups in the extract, while GC-MS analysis identified specific bioactive compounds in the flavonoid-rich fraction. A ketamine-induced manic behaviour model in Wistar rats was employed to assess the extract's efficacy in attenuating manic-like symptoms. Behavioural and neurochemical analyses were performed to further investigate the extract's effects.</p><p><strong>Results: </strong>The extract demonstrated a favourable safety profile in both acute and repeated dose studies. FT-IR analysis revealed a complex mixture of organic compounds, including hydroxyl groups, alkynes/nitriles, aromatic and non-aromatic C = C bonds, amines, and polysaccharides. GC-MS analysis identified 17 bioactive compounds, including five-methyl-2-phenylindolizine, methadone N-oxide, and 3-phenylthiane, S-oxide. Ketamine administration significantly increased oxidative stress markers, TBARS, and suppressed antioxidant enzyme activities (SOD, GPx, CAT) in both the cerebral cortex and hippocampus, alongside elevated acetylcholinesterase (AchE) activity, indicating enhanced neuronal excitability. Pre-treatment with FRF (25 mg/kg) effectively mitigated ketamine-induced oxidative stress, as evidenced by reduced TBARS levels and partially restored SOD and GPx activities. Interestingly, FRF significantly increased CAT activity (p < 0.001), potentially suggesting an additional compensatory mechanism. Notably, FRF pre-treatment also counteracted ketamine-upregulated AchE activity, offering neuroprotection against heightened neuronal excitability.</p><p><strong>Conclusion: </strong>Red onion husk extract exhibits a favourable safety profile and exerts potent antioxidant and neuroprotective effects, possibly through modulating Nrf2 signalling pathways. Its ability to counteract ketamine-induced oxidative stress and neuronal hyperactivity highlights its potential as a complementary therapeutic strategy for managing manic episodes in bipolar disorder. Further research is warranted to elucidate the precise molecular mechanisms underlying FRF's action and explore its clinical efficacy in human studies.</p>\",\"PeriodicalId\":13944,\"journal\":{\"name\":\"International Journal of Bipolar Disorders\",\"volume\":\"12 1\",\"pages\":\"16\"},\"PeriodicalIF\":3.5000,\"publicationDate\":\"2024-05-09\",\"publicationTypes\":\"Journal Article\",\"fieldsOfStudy\":null,\"isOpenAccess\":false,\"openAccessPdf\":\"https://www.ncbi.nlm.nih.gov/pmc/articles/PMC11082112/pdf/\",\"citationCount\":\"0\",\"resultStr\":null,\"platform\":\"Semanticscholar\",\"paperid\":null,\"PeriodicalName\":\"International Journal of Bipolar Disorders\",\"FirstCategoryId\":\"3\",\"ListUrlMain\":\"https://doi.org/10.1186/s40345-024-00338-7\",\"RegionNum\":2,\"RegionCategory\":\"医学\",\"ArticlePicture\":[],\"TitleCN\":null,\"AbstractTextCN\":null,\"PMCID\":null,\"EPubDate\":\"\",\"PubModel\":\"\",\"JCR\":\"Q2\",\"JCRName\":\"PSYCHIATRY\",\"Score\":null,\"Total\":0}","platform":"Semanticscholar","paperid":null,"PeriodicalName":"International Journal of Bipolar Disorders","FirstCategoryId":"3","ListUrlMain":"https://doi.org/10.1186/s40345-024-00338-7","RegionNum":2,"RegionCategory":"医学","ArticlePicture":[],"TitleCN":null,"AbstractTextCN":null,"PMCID":null,"EPubDate":"","PubModel":"","JCR":"Q2","JCRName":"PSYCHIATRY","Score":null,"Total":0}
引用次数: 0

摘要

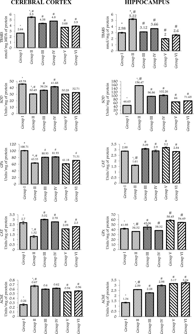
背景:红洋葱皮是一种容易获得的农业废弃物,含有多种生物活性化合物,具有潜在的健康益处。本研究旨在评估红葱壳提取物在控制躁狂症状和相关神经化学功能障碍方面的安全性和治疗潜力:方法:对小鼠和大鼠进行了急性和重复口服剂量研究,以评估提取物的安全性。傅立叶变换红外分析确定了提取物中的官能团,而气相色谱-质谱分析则确定了富含黄酮类成分的特定生物活性化合物。采用氯胺酮诱导的 Wistar 大鼠躁狂行为模型来评估该提取物在减轻躁狂症状方面的功效。为了进一步研究提取物的作用,还进行了行为和神经化学分析:结果:该提取物在急性和重复剂量研究中均表现出良好的安全性。傅立叶变换红外光谱分析显示出复杂的有机化合物混合物,包括羟基、炔/硝基、芳香族和非芳香族 C = C 键、胺和多糖。气相色谱-质谱分析确定了 17 种生物活性化合物,包括五甲基-2-苯基吲哚利嗪、美沙酮 N-氧化物和 3-苯基噻吩 S-氧化物。氯胺酮会明显增加氧化应激指标 TBARS,抑制大脑皮层和海马的抗氧化酶(SOD、GPx、CAT)活性,同时乙酰胆碱酯酶(AchE)活性升高,表明神经元兴奋性增强。预处理 FRF(25 毫克/千克)可有效缓解氯胺酮诱导的氧化应激,这体现在 TBARS 水平降低以及 SOD 和 GPx 活性部分恢复。有趣的是,FRF 能明显提高 CAT 的活性(p 结论):红洋葱皮提取物具有良好的安全性,并可能通过调节 Nrf2 信号通路发挥强大的抗氧化和神经保护作用。它能够抵消氯胺酮诱导的氧化应激和神经元亢进,这凸显了其作为一种辅助治疗策略来控制双相情感障碍躁狂发作的潜力。为了阐明FRF作用的确切分子机制并在人体研究中探索其临床疗效,我们有必要开展进一步的研究。
本文章由计算机程序翻译,如有差异,请以英文原文为准。

Towards a natural treatment for mania: red onion husk extract modulates neuronal resilience, redox signalling, and glial activation.

Towards a natural treatment for mania: red onion husk extract modulates neuronal resilience, redox signalling, and glial activation.

Towards a natural treatment for mania: red onion husk extract modulates neuronal resilience, redox signalling, and glial activation.

Towards a natural treatment for mania: red onion husk extract modulates neuronal resilience, redox signalling, and glial activation.

Background: Red onion husk, a readily available agricultural waste material, contains diverse bioactive compounds with potential health benefits. This study aimed to assess the safety and therapeutic potential of red onion husk extract in managing manic-like symptoms and associated neurochemical dysfunctions.

Methods: Acute and repeated oral dose studies were conducted in mice and rats to evaluate the safety profile of the extract. FT-IR analysis identified functional groups in the extract, while GC-MS analysis identified specific bioactive compounds in the flavonoid-rich fraction. A ketamine-induced manic behaviour model in Wistar rats was employed to assess the extract's efficacy in attenuating manic-like symptoms. Behavioural and neurochemical analyses were performed to further investigate the extract's effects.

Results: The extract demonstrated a favourable safety profile in both acute and repeated dose studies. FT-IR analysis revealed a complex mixture of organic compounds, including hydroxyl groups, alkynes/nitriles, aromatic and non-aromatic C = C bonds, amines, and polysaccharides. GC-MS analysis identified 17 bioactive compounds, including five-methyl-2-phenylindolizine, methadone N-oxide, and 3-phenylthiane, S-oxide. Ketamine administration significantly increased oxidative stress markers, TBARS, and suppressed antioxidant enzyme activities (SOD, GPx, CAT) in both the cerebral cortex and hippocampus, alongside elevated acetylcholinesterase (AchE) activity, indicating enhanced neuronal excitability. Pre-treatment with FRF (25 mg/kg) effectively mitigated ketamine-induced oxidative stress, as evidenced by reduced TBARS levels and partially restored SOD and GPx activities. Interestingly, FRF significantly increased CAT activity (p < 0.001), potentially suggesting an additional compensatory mechanism. Notably, FRF pre-treatment also counteracted ketamine-upregulated AchE activity, offering neuroprotection against heightened neuronal excitability.

Conclusion: Red onion husk extract exhibits a favourable safety profile and exerts potent antioxidant and neuroprotective effects, possibly through modulating Nrf2 signalling pathways. Its ability to counteract ketamine-induced oxidative stress and neuronal hyperactivity highlights its potential as a complementary therapeutic strategy for managing manic episodes in bipolar disorder. Further research is warranted to elucidate the precise molecular mechanisms underlying FRF's action and explore its clinical efficacy in human studies.

求助全文
通过发布文献求助,成功后即可免费获取论文全文。 去求助
来源期刊
International Journal of Bipolar Disorders
International Journal of Bipolar Disorders Medicine-Psychiatry and Mental Health
CiteScore
6.70
自引率
5.00%
发文量
26
审稿时长
13 weeks
期刊介绍: The International Journal of Bipolar Disorders is a peer-reviewed, open access online journal published under the SpringerOpen brand. It publishes contributions from the broad range of clinical, psychological and biological research in bipolar disorders. It is the official journal of the ECNP-ENBREC (European Network of Bipolar Research Expert Centres ) Bipolar Disorders Network, the International Group for the study of Lithium Treated Patients (IGSLi) and the Deutsche Gesellschaft für Bipolare Störungen (DGBS) and invites clinicians and researchers from around the globe to submit original research papers, short research communications, reviews, guidelines, case reports and letters to the editor that help to enhance understanding of bipolar disorders.
×
引用
GB/T 7714-2015
复制
MLA
复制
APA
复制
导出至
BibTeX EndNote RefMan NoteFirst NoteExpress
×
提示
您的信息不完整,为了账户安全,请先补充。
现在去补充
×
提示
您因"违规操作"
具体请查看互助需知
我知道了
×
提示
确定
请完成安全验证×
copy
已复制链接
快去分享给好友吧!
我知道了
右上角分享
点击右上角分享
0
联系我们:info@booksci.cn Book学术提供免费学术资源搜索服务,方便国内外学者检索中英文文献。致力于提供最便捷和优质的服务体验。 Copyright © 2023 布克学术 All rights reserved.
京ICP备2023020795号-1
ghs 京公网安备 11010802042870号
Book学术文献互助
Book学术文献互助群
群 号:604180095
Book学术官方微信