韩国摔跤运动员的营养知识、饮食习惯、影响肌肉损伤的因素以及抗氧化酶水平。

Physical activity and nutrition Pub Date : 2024-03-01 Epub Date: 2024-03-31 DOI:10.20463/pan.2024.0008
Yun-Seok Lee, Dong-Ryul Lee, Hyoung-Rok Lee, Jun-Young Sung
{"title":"韩国摔跤运动员的营养知识、饮食习惯、影响肌肉损伤的因素以及抗氧化酶水平。","authors":"Yun-Seok Lee, Dong-Ryul Lee, Hyoung-Rok Lee, Jun-Young Sung","doi":"10.20463/pan.2024.0008","DOIUrl":null,"url":null,"abstract":"<p><strong>Purpose: </strong>The aim in this study was to investigate the diet and nutritional knowledge of elite Korean wrestlers and verify the differences in their exercise performance , muscle damage indicators, and antioxidant enzyme levels according to wrestler level.</p><p><strong>Methods: </strong>A 7-day dietary and nutrition knowledge survey was administered to 30 adult male elite wrestlers (national team: n=11; professional team: n=19). The Wingate test was conducted for 60 seconds to analyze muscle damage indicators and antioxidant levels. Blood and blood lactate concentration analyses were performed four times; the statistical significance level of all data was p<0.05.</p><p><strong>Results: </strong>Significant differences were found in general nutrition knowledge questionnaire (GNKQ) scores (p=0.043), diet (p=0.001), anaerobic performance (p=0.001), muscle damage indicators (p=0.026), antioxidant levels, and blood lactic acid concentrations (30 min after exercise, p=0.007; 90 min after exercise, p=0.038) between the national and the professional groups.</p><p><strong>Conclusion: </strong>To the findings confirm the relationship between the differences in diet, nutrition, and motor function for wrestlers of different expertise levels. In a follow-up, a comprehensive study on nutrition knowledge, athlete training , and weight loss is needed that considers a wider scope of subjects and analyzes additional variables.</p>","PeriodicalId":74444,"journal":{"name":"Physical activity and nutrition","volume":"28 1","pages":"52-58"},"PeriodicalIF":0.0000,"publicationDate":"2024-03-01","publicationTypes":"Journal Article","fieldsOfStudy":null,"isOpenAccess":false,"openAccessPdf":"https://www.ncbi.nlm.nih.gov/pmc/articles/PMC11079375/pdf/","citationCount":"0","resultStr":"{\"title\":\"Nutritional knowledge, eating habits, factors affecting muscle damage, and antioxidant enzyme levels of Korean wrestlers.\",\"authors\":\"Yun-Seok Lee, Dong-Ryul Lee, Hyoung-Rok Lee, Jun-Young Sung\",\"doi\":\"10.20463/pan.2024.0008\",\"DOIUrl\":null,\"url\":null,\"abstract\":\"<p><strong>Purpose: </strong>The aim in this study was to investigate the diet and nutritional knowledge of elite Korean wrestlers and verify the differences in their exercise performance , muscle damage indicators, and antioxidant enzyme levels according to wrestler level.</p><p><strong>Methods: </strong>A 7-day dietary and nutrition knowledge survey was administered to 30 adult male elite wrestlers (national team: n=11; professional team: n=19). The Wingate test was conducted for 60 seconds to analyze muscle damage indicators and antioxidant levels. Blood and blood lactate concentration analyses were performed four times; the statistical significance level of all data was p<0.05.</p><p><strong>Results: </strong>Significant differences were found in general nutrition knowledge questionnaire (GNKQ) scores (p=0.043), diet (p=0.001), anaerobic performance (p=0.001), muscle damage indicators (p=0.026), antioxidant levels, and blood lactic acid concentrations (30 min after exercise, p=0.007; 90 min after exercise, p=0.038) between the national and the professional groups.</p><p><strong>Conclusion: </strong>To the findings confirm the relationship between the differences in diet, nutrition, and motor function for wrestlers of different expertise levels. In a follow-up, a comprehensive study on nutrition knowledge, athlete training , and weight loss is needed that considers a wider scope of subjects and analyzes additional variables.</p>\",\"PeriodicalId\":74444,\"journal\":{\"name\":\"Physical activity and nutrition\",\"volume\":\"28 1\",\"pages\":\"52-58\"},\"PeriodicalIF\":0.0000,\"publicationDate\":\"2024-03-01\",\"publicationTypes\":\"Journal Article\",\"fieldsOfStudy\":null,\"isOpenAccess\":false,\"openAccessPdf\":\"https://www.ncbi.nlm.nih.gov/pmc/articles/PMC11079375/pdf/\",\"citationCount\":\"0\",\"resultStr\":null,\"platform\":\"Semanticscholar\",\"paperid\":null,\"PeriodicalName\":\"Physical activity and nutrition\",\"FirstCategoryId\":\"1085\",\"ListUrlMain\":\"https://doi.org/10.20463/pan.2024.0008\",\"RegionNum\":0,\"RegionCategory\":null,\"ArticlePicture\":[],\"TitleCN\":null,\"AbstractTextCN\":null,\"PMCID\":null,\"EPubDate\":\"2024/3/31 0:00:00\",\"PubModel\":\"Epub\",\"JCR\":\"\",\"JCRName\":\"\",\"Score\":null,\"Total\":0}","platform":"Semanticscholar","paperid":null,"PeriodicalName":"Physical activity and nutrition","FirstCategoryId":"1085","ListUrlMain":"https://doi.org/10.20463/pan.2024.0008","RegionNum":0,"RegionCategory":null,"ArticlePicture":[],"TitleCN":null,"AbstractTextCN":null,"PMCID":null,"EPubDate":"2024/3/31 0:00:00","PubModel":"Epub","JCR":"","JCRName":"","Score":null,"Total":0}
引用次数: 0

摘要

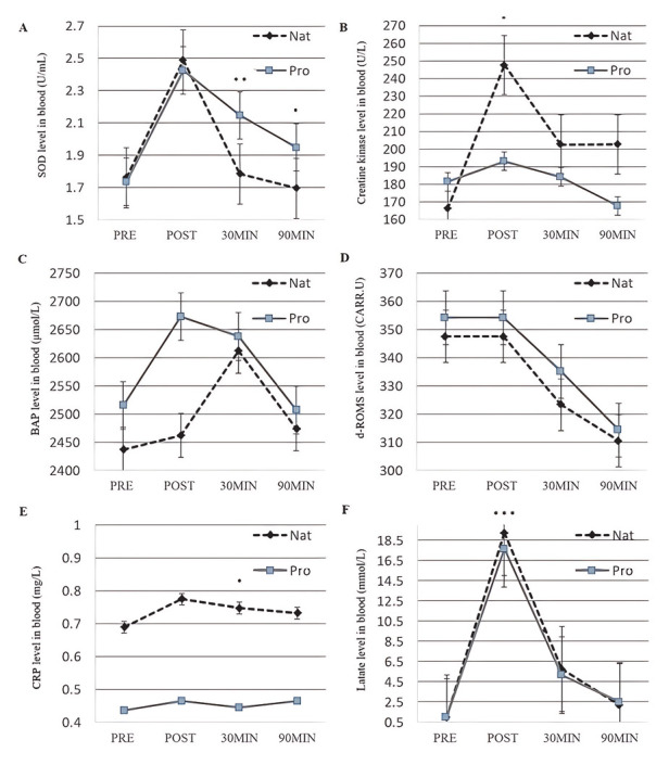
目的:本研究旨在调查韩国精英摔跤运动员的饮食和营养知识,并验证不同级别摔跤运动员在运动表现、肌肉损伤指标和抗氧化酶水平方面的差异:对 30 名成年男性精英摔跤运动员(国家队:11 人;专业队:19 人)进行了为期 7 天的饮食和营养知识调查。进行 60 秒钟的 Wingate 测试,以分析肌肉损伤指标和抗氧化剂水平。血液和血乳酸浓度分析共进行了四次;所有数据的统计学显著性水平均为 pResults:在营养常识问卷(GNKQ)得分(p=0.043)、饮食(p=0.001)、无氧运动表现(p=0.001)、肌肉损伤指标(p=0.026)、抗氧化剂水平和血液乳酸浓度(运动后 30 分钟,p=0.007;运动后 90 分钟,p=0.038)方面,国家组和专业组之间存在显著差异:研究结果证实了不同专业水平的摔跤运动员在饮食、营养和运动功能方面的差异之间的关系。在后续研究中,需要对营养知识、运动员训练和减肥进行全面研究,研究对象范围要更广,并分析更多变量。
本文章由计算机程序翻译,如有差异,请以英文原文为准。

Nutritional knowledge, eating habits, factors affecting muscle damage, and antioxidant enzyme levels of Korean wrestlers.

Nutritional knowledge, eating habits, factors affecting muscle damage, and antioxidant enzyme levels of Korean wrestlers.

Nutritional knowledge, eating habits, factors affecting muscle damage, and antioxidant enzyme levels of Korean wrestlers.

Purpose: The aim in this study was to investigate the diet and nutritional knowledge of elite Korean wrestlers and verify the differences in their exercise performance , muscle damage indicators, and antioxidant enzyme levels according to wrestler level.

Methods: A 7-day dietary and nutrition knowledge survey was administered to 30 adult male elite wrestlers (national team: n=11; professional team: n=19). The Wingate test was conducted for 60 seconds to analyze muscle damage indicators and antioxidant levels. Blood and blood lactate concentration analyses were performed four times; the statistical significance level of all data was p<0.05.

Results: Significant differences were found in general nutrition knowledge questionnaire (GNKQ) scores (p=0.043), diet (p=0.001), anaerobic performance (p=0.001), muscle damage indicators (p=0.026), antioxidant levels, and blood lactic acid concentrations (30 min after exercise, p=0.007; 90 min after exercise, p=0.038) between the national and the professional groups.

Conclusion: To the findings confirm the relationship between the differences in diet, nutrition, and motor function for wrestlers of different expertise levels. In a follow-up, a comprehensive study on nutrition knowledge, athlete training , and weight loss is needed that considers a wider scope of subjects and analyzes additional variables.

求助全文
通过发布文献求助,成功后即可免费获取论文全文。 去求助
来源期刊
CiteScore
2.00
自引率
0.00%
发文量
0
×
引用
GB/T 7714-2015
复制
MLA
复制
APA
复制
导出至
BibTeX EndNote RefMan NoteFirst NoteExpress
×
提示
您的信息不完整,为了账户安全,请先补充。
现在去补充
×
提示
您因"违规操作"
具体请查看互助需知
我知道了
×
提示
确定
请完成安全验证×
copy
已复制链接
快去分享给好友吧!
我知道了
右上角分享
点击右上角分享
0
联系我们:info@booksci.cn Book学术提供免费学术资源搜索服务,方便国内外学者检索中英文文献。致力于提供最便捷和优质的服务体验。 Copyright © 2023 布克学术 All rights reserved.
京ICP备2023020795号-1
ghs 京公网安备 11010802042870号
Book学术文献互助
Book学术文献互助群
群 号:604180095
Book学术官方微信