社会脆弱性对社区中老年人内在能力和健康老龄化的剂量反应性影响:社会决定因素的作用强于生物标志物。

IF 3.3 Q2 GERIATRICS & GERONTOLOGY
S-T Huang, W-H Lu, W-J Lee, L-N Peng, L-K Chen, F-Y Hsiao
{"title":"社会脆弱性对社区中老年人内在能力和健康老龄化的剂量反应性影响:社会决定因素的作用强于生物标志物。","authors":"S-T Huang, W-H Lu, W-J Lee, L-N Peng, L-K Chen, F-Y Hsiao","doi":"10.14283/jfa.2024.8","DOIUrl":null,"url":null,"abstract":"<p><strong>Objective: </strong>The intricate relationship between social determinants, e.g., social frailty, biomarkers and healthy aging remains largely unexplored, despite the potential for social frailty to impact both intrinsic capacity (IC) and functional ability in the aging process.</p><p><strong>Design: </strong>Retrospective longitudinal cohort study.</p><p><strong>Setting and participants: </strong>Participants aged 50+ years from the Social Environment and Biomarkers of Aging Study (SEBAS) in Taiwan, stratified into three age groups: 50-64, 65-74 and 75+.</p><p><strong>Measurements: </strong>Social frailty was defined based on a score derived from four domains: exclusion from general resources, social resources, social activity, and fulfillment of basic social needs. The scores were categorized as score=0 (no social frailty), 1 (social pre-frailty), and 2+ (social frailty). Multivariable logistic regression and Cox proportional hazard models were employed to examine the dose-responsive relationship between social frailty, low IC, functional and psychological health, and mortality.</p><p><strong>Results: </strong>Of 1015 study participants, 24.9% and 7.9% were classified as social pre-frailty and social frailty, respectively. No significant differences were observed in most biomarkers between those with social frailty and those without. A dose-responsive relationship was found between social frailty and increased risk of low IC (social pre-frailty: aOR 2.20 [95% CI 1.59-3.04]; social frailty: 5.73 [3.39-9.69]). Similar results were found for functional and psychological health. However, no significant association between social frailty and all-cause mortality was found at the 4-year follow-up (social pre-frailty: aHR 1.52 [95% CI 0.94-2.43]; social frailty: 1.59 [0.81-3.09]).</p><p><strong>Conclusions: </strong>The significant association between social frailty and low IC, functional limitations, cognitive declines, and depressive symptoms underscores the pressing need for research on intervention strategies to enhance healthy aging in the lifespan course.</p>","PeriodicalId":51629,"journal":{"name":"Journal of Frailty & Aging","volume":"13 2","pages":"139-148"},"PeriodicalIF":3.3000,"publicationDate":"2024-01-01","publicationTypes":"Journal Article","fieldsOfStudy":null,"isOpenAccess":false,"openAccessPdf":"https://www.ncbi.nlm.nih.gov/pmc/articles/PMC12275768/pdf/","citationCount":"0","resultStr":"{\"title\":\"Dose-Responsive Impacts of Social Frailty on Intrinsic Capacity and Healthy Aging among Community-Dwelling Middle-aged and Older Adults: Stronger Roles of Social Determinants over Biomarkers.\",\"authors\":\"S-T Huang, W-H Lu, W-J Lee, L-N Peng, L-K Chen, F-Y Hsiao\",\"doi\":\"10.14283/jfa.2024.8\",\"DOIUrl\":null,\"url\":null,\"abstract\":\"<p><strong>Objective: </strong>The intricate relationship between social determinants, e.g., social frailty, biomarkers and healthy aging remains largely unexplored, despite the potential for social frailty to impact both intrinsic capacity (IC) and functional ability in the aging process.</p><p><strong>Design: </strong>Retrospective longitudinal cohort study.</p><p><strong>Setting and participants: </strong>Participants aged 50+ years from the Social Environment and Biomarkers of Aging Study (SEBAS) in Taiwan, stratified into three age groups: 50-64, 65-74 and 75+.</p><p><strong>Measurements: </strong>Social frailty was defined based on a score derived from four domains: exclusion from general resources, social resources, social activity, and fulfillment of basic social needs. The scores were categorized as score=0 (no social frailty), 1 (social pre-frailty), and 2+ (social frailty). Multivariable logistic regression and Cox proportional hazard models were employed to examine the dose-responsive relationship between social frailty, low IC, functional and psychological health, and mortality.</p><p><strong>Results: </strong>Of 1015 study participants, 24.9% and 7.9% were classified as social pre-frailty and social frailty, respectively. No significant differences were observed in most biomarkers between those with social frailty and those without. A dose-responsive relationship was found between social frailty and increased risk of low IC (social pre-frailty: aOR 2.20 [95% CI 1.59-3.04]; social frailty: 5.73 [3.39-9.69]). Similar results were found for functional and psychological health. However, no significant association between social frailty and all-cause mortality was found at the 4-year follow-up (social pre-frailty: aHR 1.52 [95% CI 0.94-2.43]; social frailty: 1.59 [0.81-3.09]).</p><p><strong>Conclusions: </strong>The significant association between social frailty and low IC, functional limitations, cognitive declines, and depressive symptoms underscores the pressing need for research on intervention strategies to enhance healthy aging in the lifespan course.</p>\",\"PeriodicalId\":51629,\"journal\":{\"name\":\"Journal of Frailty & Aging\",\"volume\":\"13 2\",\"pages\":\"139-148\"},\"PeriodicalIF\":3.3000,\"publicationDate\":\"2024-01-01\",\"publicationTypes\":\"Journal Article\",\"fieldsOfStudy\":null,\"isOpenAccess\":false,\"openAccessPdf\":\"https://www.ncbi.nlm.nih.gov/pmc/articles/PMC12275768/pdf/\",\"citationCount\":\"0\",\"resultStr\":null,\"platform\":\"Semanticscholar\",\"paperid\":null,\"PeriodicalName\":\"Journal of Frailty & Aging\",\"FirstCategoryId\":\"1085\",\"ListUrlMain\":\"https://doi.org/10.14283/jfa.2024.8\",\"RegionNum\":0,\"RegionCategory\":null,\"ArticlePicture\":[],\"TitleCN\":null,\"AbstractTextCN\":null,\"PMCID\":null,\"EPubDate\":\"\",\"PubModel\":\"\",\"JCR\":\"Q2\",\"JCRName\":\"GERIATRICS & GERONTOLOGY\",\"Score\":null,\"Total\":0}","platform":"Semanticscholar","paperid":null,"PeriodicalName":"Journal of Frailty & Aging","FirstCategoryId":"1085","ListUrlMain":"https://doi.org/10.14283/jfa.2024.8","RegionNum":0,"RegionCategory":null,"ArticlePicture":[],"TitleCN":null,"AbstractTextCN":null,"PMCID":null,"EPubDate":"","PubModel":"","JCR":"Q2","JCRName":"GERIATRICS & GERONTOLOGY","Score":null,"Total":0}
引用次数: 0

摘要

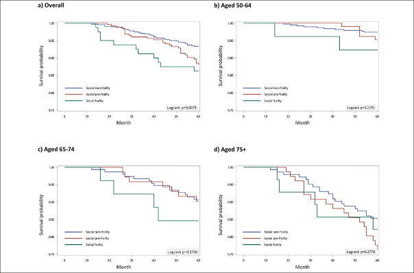
目的:社会决定因素(如社会脆弱性)、生物标志物和健康老龄化之间错综复杂的关系在很大程度上仍未得到探讨,尽管社会脆弱性可能会影响老龄化过程中的内在能力(IC)和功能能力:设计:回顾性纵向队列研究:环境与参与者:台湾社会环境与老化生物标志物研究(SEBAS)中 50 岁以上的参与者,分为三个年龄组:50-64 岁、65-74 岁和 75 岁以上:社会虚弱的定义基于四个方面的得分:一般资源排斥、社会资源、社会活动和基本社会需求的满足。得分分为 0 分(无社交虚弱)、1 分(社交前期虚弱)和 2+ 分(社交虚弱)。采用多变量逻辑回归和考克斯比例危险模型来研究社交虚弱、低 IC、功能和心理健康与死亡率之间的剂量反应关系:在 1015 名研究参与者中,分别有 24.9% 和 7.9% 的人被归类为社会前期虚弱和社会虚弱。在大多数生物标志物上,社会性虚弱者与非社会性虚弱者之间未发现明显差异。研究发现,社会性虚弱与低 IC 风险增加之间存在剂量反应关系(社会性虚弱前期:aOR 2.20 [95% CI 1.59-3.04];社会性虚弱:5.73 [3.39-9.69])。在功能和心理健康方面也发现了类似的结果。然而,在 4 年的随访中,并没有发现社会性虚弱与全因死亡率之间存在明显的关联(社会性虚弱前:aHR 1.52 [95% CI 0.94-2.43];社会性虚弱:1.59 [0.81-3.09]):结论:社会虚弱与低 IC、功能限制、认知能力下降和抑郁症状之间存在明显关联,这突出表明迫切需要研究干预策略,以促进生命过程中的健康老龄化。
本文章由计算机程序翻译,如有差异,请以英文原文为准。

Dose-Responsive Impacts of Social Frailty on Intrinsic Capacity and Healthy Aging among Community-Dwelling Middle-aged and Older Adults: Stronger Roles of Social Determinants over Biomarkers.

Dose-Responsive Impacts of Social Frailty on Intrinsic Capacity and Healthy Aging among Community-Dwelling Middle-aged and Older Adults: Stronger Roles of Social Determinants over Biomarkers.

Dose-Responsive Impacts of Social Frailty on Intrinsic Capacity and Healthy Aging among Community-Dwelling Middle-aged and Older Adults: Stronger Roles of Social Determinants over Biomarkers.

Dose-Responsive Impacts of Social Frailty on Intrinsic Capacity and Healthy Aging among Community-Dwelling Middle-aged and Older Adults: Stronger Roles of Social Determinants over Biomarkers.

Objective: The intricate relationship between social determinants, e.g., social frailty, biomarkers and healthy aging remains largely unexplored, despite the potential for social frailty to impact both intrinsic capacity (IC) and functional ability in the aging process.

Design: Retrospective longitudinal cohort study.

Setting and participants: Participants aged 50+ years from the Social Environment and Biomarkers of Aging Study (SEBAS) in Taiwan, stratified into three age groups: 50-64, 65-74 and 75+.

Measurements: Social frailty was defined based on a score derived from four domains: exclusion from general resources, social resources, social activity, and fulfillment of basic social needs. The scores were categorized as score=0 (no social frailty), 1 (social pre-frailty), and 2+ (social frailty). Multivariable logistic regression and Cox proportional hazard models were employed to examine the dose-responsive relationship between social frailty, low IC, functional and psychological health, and mortality.

Results: Of 1015 study participants, 24.9% and 7.9% were classified as social pre-frailty and social frailty, respectively. No significant differences were observed in most biomarkers between those with social frailty and those without. A dose-responsive relationship was found between social frailty and increased risk of low IC (social pre-frailty: aOR 2.20 [95% CI 1.59-3.04]; social frailty: 5.73 [3.39-9.69]). Similar results were found for functional and psychological health. However, no significant association between social frailty and all-cause mortality was found at the 4-year follow-up (social pre-frailty: aHR 1.52 [95% CI 0.94-2.43]; social frailty: 1.59 [0.81-3.09]).

Conclusions: The significant association between social frailty and low IC, functional limitations, cognitive declines, and depressive symptoms underscores the pressing need for research on intervention strategies to enhance healthy aging in the lifespan course.

求助全文
通过发布文献求助,成功后即可免费获取论文全文。 去求助
来源期刊
Journal of Frailty & Aging
Journal of Frailty & Aging GERIATRICS & GERONTOLOGY-
CiteScore
5.90
自引率
7.70%
发文量
54
期刊介绍: The Journal of Frailty & Aging is a peer-reviewed international journal aimed at presenting articles that are related to research in the area of aging and age-related (sub)clinical conditions. In particular, the journal publishes high-quality papers describing and discussing social, biological, and clinical features underlying the onset and development of frailty in older persons.          The Journal of Frailty & Aging is composed by five different sections: - Biology of frailty and aging In this section, the journal presents reports from preclinical studies and experiences focused at identifying, describing, and understanding the subclinical pathophysiological mechanisms at the basis of frailty and aging. - Physical frailty and age-related body composition modifications Studies exploring the physical and functional components of frailty are contained in this section. Moreover, since body composition plays a major role in determining physical frailty and, at the same time, represents the most evident feature of the aging process, special attention is given to studies focused on sarcopenia and obesity at older age. - Neurosciences of frailty and aging The section presents results from studies exploring the cognitive and neurological aspects of frailty and age-related conditions. In particular, papers on neurodegenerative conditions of advanced age are welcomed. - Frailty and aging in clinical practice and public health This journal’s section is devoted at presenting studies on clinical issues of frailty and age-related conditions. This multidisciplinary section particularly welcomes reports from clinicians coming from different backgrounds and specialties dealing with the heterogeneous clinical manifestations of advanced age. Moreover, this part of the journal also contains reports on frailty- and age-related social and public health issues. - Clinical trials and therapeutics This final section contains all the manuscripts presenting data on (pharmacological and non-pharmacological) interventions aimed at preventing, delaying, or treating frailty and age-related conditions.The Journal of Frailty & Aging is a quarterly publication of original papers, review articles, case reports, controversies, letters to the Editor, and book reviews. Manuscripts will be evaluated by the editorial staff and, if suitable, by expert reviewers assigned by the editors. The journal particularly welcomes papers by researchers from different backgrounds and specialities who may want to share their views and experiences on the common themes of frailty and aging.The abstracting and indexing of the Journal of Frailty & Aging is covered by MEDLINE (approval by the National Library of Medicine in February 2016).
×
引用
GB/T 7714-2015
复制
MLA
复制
APA
复制
导出至
BibTeX EndNote RefMan NoteFirst NoteExpress
×
提示
您的信息不完整,为了账户安全,请先补充。
现在去补充
×
提示
您因"违规操作"
具体请查看互助需知
我知道了
×
提示
确定
请完成安全验证×
copy
已复制链接
快去分享给好友吧!
我知道了
右上角分享
点击右上角分享
0
联系我们:info@booksci.cn Book学术提供免费学术资源搜索服务,方便国内外学者检索中英文文献。致力于提供最便捷和优质的服务体验。 Copyright © 2023 布克学术 All rights reserved.
京ICP备2023020795号-1
ghs 京公网安备 11010802042870号
Book学术文献互助
Book学术文献互助群
群 号:604180095
Book学术官方微信