人体测量与死亡率关系的新视角:小腿围度的作用。

IF 3.3 Q2 GERIATRICS & GERONTOLOGY
C Ceolin, V Acunto, C Simonato, S Cazzavillan, M Vergadoro, M V Papa, G S Trapella, R Sermasi, M Noale, M De Rui, B M Zanforlini, C Curreri, A Bertocco, M Devita, A Coin, G Sergi
{"title":"人体测量与死亡率关系的新视角:小腿围度的作用。","authors":"C Ceolin, V Acunto, C Simonato, S Cazzavillan, M Vergadoro, M V Papa, G S Trapella, R Sermasi, M Noale, M De Rui, B M Zanforlini, C Curreri, A Bertocco, M Devita, A Coin, G Sergi","doi":"10.14283/jfa.2024.4","DOIUrl":null,"url":null,"abstract":"<p><strong>Aims: </strong>Considering the impact of sarcopenia on mortality, and the difficulty to assessment of body composition, the hypothesis of the study is that calf circumference (CC) is closely related to mortality in older patients. The aim of the study was to analyze the potential role of CC to predict mortality in old individuals at 3, 6 and 12 months after discharge from hospital.</p><p><strong>Methods: </strong>Patients aged >65 years were recruited for this retrospective study from September 2021 to March 2022. Their physical and body composition characteristics (including Body Mass Index-BMI and Mini Nutritional Assessment-MNA) were measured; data on mortality at 3 (T3), 6 (T6) and 12 (T12) months after discharge were recorded. Sarcopenia was diagnosed according to the 2019 European Consensus criteria.</p><p><strong>Results: </strong>Participants were 192 older adults (92 women), with a mean age of 82.8±7.0 years. Sarcopenic people were 41. The mortality rate was higher in sarcopenic people only at T3 and T6. CC had comparable validity in predicting mortality to that of MNA and ASMMI (Appendicular Skeletal Muscle Mass), and was better than BMI and serum albumin at each time point. Youden's index showed that the best cut-off for CC for predicting mortality was 30.6 cm both at T3 (sensitivity: 74%; specificity: 75%) and T6 (sensitivity: 75%; specificity: 67%). At the Cox regression model for mortality, high values of CC (HR 0.73, CI95% 0.60-0.89/p<0.001) and ADL scores (HR 0.72, CI95% 0.54-0.96/p=0.04) were protective factors at T6 and T12 respectively; at T12 high comorbidity rate was a risk factor (HR 1.28, IC95% 1.02-1.62/p=0.04).</p><p><strong>Conclusions: </strong>CC has a validity comparable to MNA and ASMMI in predicting mortality at 3, 6 and 12 months after hospital discharge. Moreover, it can be considered an independent predictor of medium-term mortality in the hospitalized older population. CC can be an effective method for the prognostic stratification of these patients, due to its simplicity and immediacy.</p>","PeriodicalId":51629,"journal":{"name":"Journal of Frailty & Aging","volume":"13 2","pages":"108-115"},"PeriodicalIF":3.3000,"publicationDate":"2024-01-01","publicationTypes":"Journal Article","fieldsOfStudy":null,"isOpenAccess":false,"openAccessPdf":"https://www.ncbi.nlm.nih.gov/pmc/articles/PMC12275705/pdf/","citationCount":"0","resultStr":"{\"title\":\"New Perspectives in the Association between Anthropometry and Mortality: The Role of Calf Circumference.\",\"authors\":\"C Ceolin, V Acunto, C Simonato, S Cazzavillan, M Vergadoro, M V Papa, G S Trapella, R Sermasi, M Noale, M De Rui, B M Zanforlini, C Curreri, A Bertocco, M Devita, A Coin, G Sergi\",\"doi\":\"10.14283/jfa.2024.4\",\"DOIUrl\":null,\"url\":null,\"abstract\":\"<p><strong>Aims: </strong>Considering the impact of sarcopenia on mortality, and the difficulty to assessment of body composition, the hypothesis of the study is that calf circumference (CC) is closely related to mortality in older patients. The aim of the study was to analyze the potential role of CC to predict mortality in old individuals at 3, 6 and 12 months after discharge from hospital.</p><p><strong>Methods: </strong>Patients aged >65 years were recruited for this retrospective study from September 2021 to March 2022. Their physical and body composition characteristics (including Body Mass Index-BMI and Mini Nutritional Assessment-MNA) were measured; data on mortality at 3 (T3), 6 (T6) and 12 (T12) months after discharge were recorded. Sarcopenia was diagnosed according to the 2019 European Consensus criteria.</p><p><strong>Results: </strong>Participants were 192 older adults (92 women), with a mean age of 82.8±7.0 years. Sarcopenic people were 41. The mortality rate was higher in sarcopenic people only at T3 and T6. CC had comparable validity in predicting mortality to that of MNA and ASMMI (Appendicular Skeletal Muscle Mass), and was better than BMI and serum albumin at each time point. Youden's index showed that the best cut-off for CC for predicting mortality was 30.6 cm both at T3 (sensitivity: 74%; specificity: 75%) and T6 (sensitivity: 75%; specificity: 67%). At the Cox regression model for mortality, high values of CC (HR 0.73, CI95% 0.60-0.89/p<0.001) and ADL scores (HR 0.72, CI95% 0.54-0.96/p=0.04) were protective factors at T6 and T12 respectively; at T12 high comorbidity rate was a risk factor (HR 1.28, IC95% 1.02-1.62/p=0.04).</p><p><strong>Conclusions: </strong>CC has a validity comparable to MNA and ASMMI in predicting mortality at 3, 6 and 12 months after hospital discharge. Moreover, it can be considered an independent predictor of medium-term mortality in the hospitalized older population. CC can be an effective method for the prognostic stratification of these patients, due to its simplicity and immediacy.</p>\",\"PeriodicalId\":51629,\"journal\":{\"name\":\"Journal of Frailty & Aging\",\"volume\":\"13 2\",\"pages\":\"108-115\"},\"PeriodicalIF\":3.3000,\"publicationDate\":\"2024-01-01\",\"publicationTypes\":\"Journal Article\",\"fieldsOfStudy\":null,\"isOpenAccess\":false,\"openAccessPdf\":\"https://www.ncbi.nlm.nih.gov/pmc/articles/PMC12275705/pdf/\",\"citationCount\":\"0\",\"resultStr\":null,\"platform\":\"Semanticscholar\",\"paperid\":null,\"PeriodicalName\":\"Journal of Frailty & Aging\",\"FirstCategoryId\":\"1085\",\"ListUrlMain\":\"https://doi.org/10.14283/jfa.2024.4\",\"RegionNum\":0,\"RegionCategory\":null,\"ArticlePicture\":[],\"TitleCN\":null,\"AbstractTextCN\":null,\"PMCID\":null,\"EPubDate\":\"\",\"PubModel\":\"\",\"JCR\":\"Q2\",\"JCRName\":\"GERIATRICS & GERONTOLOGY\",\"Score\":null,\"Total\":0}","platform":"Semanticscholar","paperid":null,"PeriodicalName":"Journal of Frailty & Aging","FirstCategoryId":"1085","ListUrlMain":"https://doi.org/10.14283/jfa.2024.4","RegionNum":0,"RegionCategory":null,"ArticlePicture":[],"TitleCN":null,"AbstractTextCN":null,"PMCID":null,"EPubDate":"","PubModel":"","JCR":"Q2","JCRName":"GERIATRICS & GERONTOLOGY","Score":null,"Total":0}
引用次数: 0

摘要

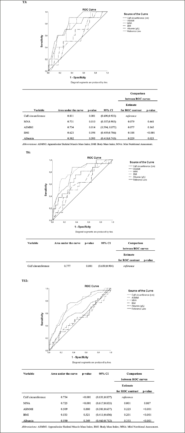
目的:考虑到 "肌肉疏松症 "对死亡率的影响以及身体成分评估的困难,本研究假设小腿围度(CC)与老年患者的死亡率密切相关。该研究旨在分析 CC 在预测老年患者出院后 3、6 和 12 个月的死亡率方面的潜在作用:这项回顾性研究在 2021 年 9 月至 2022 年 3 月期间招募了年龄大于 65 岁的患者。研究人员测量了患者的体格和身体组成特征(包括体重指数-BMI和迷你营养评估-MNA),并记录了患者出院后 3 个月(T3)、6 个月(T6)和 12 个月 (T12)的死亡率数据。根据2019年欧洲共识标准诊断 "肌肉疏松症":参与者为192名老年人(92名女性),平均年龄为(82.8±7.0)岁。肌肉疏松症患者为 41 人。仅在 T3 和 T6 阶段,肌肉疏松者的死亡率较高。CC在预测死亡率方面的有效性与MNA和ASMMI(关节骨骼肌质量)相当,在每个时间点都优于BMI和血清白蛋白。尤登指数显示,CC 预测死亡率的最佳临界值是 T3(灵敏度:74%;特异度:75%)和 T6(灵敏度:75%;特异度:67%)时的 30.6 厘米。在死亡率的 Cox 回归模型中,CC 的值较高(HR 0.73,CI95% 0.60-0.89/结论:CC 的有效性与 ASA 相当:在预测出院后 3、6 和 12 个月的死亡率方面,CC 的有效性与 MNA 和 ASMMI 相当。此外,它还可被视为住院老年人群中期死亡率的独立预测指标。由于其简便性和即时性,CC可作为对这些患者进行预后分层的有效方法。
本文章由计算机程序翻译,如有差异,请以英文原文为准。

New Perspectives in the Association between Anthropometry and Mortality: The Role of Calf Circumference.

New Perspectives in the Association between Anthropometry and Mortality: The Role of Calf Circumference.

Aims: Considering the impact of sarcopenia on mortality, and the difficulty to assessment of body composition, the hypothesis of the study is that calf circumference (CC) is closely related to mortality in older patients. The aim of the study was to analyze the potential role of CC to predict mortality in old individuals at 3, 6 and 12 months after discharge from hospital.

Methods: Patients aged >65 years were recruited for this retrospective study from September 2021 to March 2022. Their physical and body composition characteristics (including Body Mass Index-BMI and Mini Nutritional Assessment-MNA) were measured; data on mortality at 3 (T3), 6 (T6) and 12 (T12) months after discharge were recorded. Sarcopenia was diagnosed according to the 2019 European Consensus criteria.

Results: Participants were 192 older adults (92 women), with a mean age of 82.8±7.0 years. Sarcopenic people were 41. The mortality rate was higher in sarcopenic people only at T3 and T6. CC had comparable validity in predicting mortality to that of MNA and ASMMI (Appendicular Skeletal Muscle Mass), and was better than BMI and serum albumin at each time point. Youden's index showed that the best cut-off for CC for predicting mortality was 30.6 cm both at T3 (sensitivity: 74%; specificity: 75%) and T6 (sensitivity: 75%; specificity: 67%). At the Cox regression model for mortality, high values of CC (HR 0.73, CI95% 0.60-0.89/p<0.001) and ADL scores (HR 0.72, CI95% 0.54-0.96/p=0.04) were protective factors at T6 and T12 respectively; at T12 high comorbidity rate was a risk factor (HR 1.28, IC95% 1.02-1.62/p=0.04).

Conclusions: CC has a validity comparable to MNA and ASMMI in predicting mortality at 3, 6 and 12 months after hospital discharge. Moreover, it can be considered an independent predictor of medium-term mortality in the hospitalized older population. CC can be an effective method for the prognostic stratification of these patients, due to its simplicity and immediacy.

求助全文
通过发布文献求助,成功后即可免费获取论文全文。 去求助
来源期刊
Journal of Frailty & Aging
Journal of Frailty & Aging GERIATRICS & GERONTOLOGY-
CiteScore
5.90
自引率
7.70%
发文量
54
期刊介绍: The Journal of Frailty & Aging is a peer-reviewed international journal aimed at presenting articles that are related to research in the area of aging and age-related (sub)clinical conditions. In particular, the journal publishes high-quality papers describing and discussing social, biological, and clinical features underlying the onset and development of frailty in older persons.          The Journal of Frailty & Aging is composed by five different sections: - Biology of frailty and aging In this section, the journal presents reports from preclinical studies and experiences focused at identifying, describing, and understanding the subclinical pathophysiological mechanisms at the basis of frailty and aging. - Physical frailty and age-related body composition modifications Studies exploring the physical and functional components of frailty are contained in this section. Moreover, since body composition plays a major role in determining physical frailty and, at the same time, represents the most evident feature of the aging process, special attention is given to studies focused on sarcopenia and obesity at older age. - Neurosciences of frailty and aging The section presents results from studies exploring the cognitive and neurological aspects of frailty and age-related conditions. In particular, papers on neurodegenerative conditions of advanced age are welcomed. - Frailty and aging in clinical practice and public health This journal’s section is devoted at presenting studies on clinical issues of frailty and age-related conditions. This multidisciplinary section particularly welcomes reports from clinicians coming from different backgrounds and specialties dealing with the heterogeneous clinical manifestations of advanced age. Moreover, this part of the journal also contains reports on frailty- and age-related social and public health issues. - Clinical trials and therapeutics This final section contains all the manuscripts presenting data on (pharmacological and non-pharmacological) interventions aimed at preventing, delaying, or treating frailty and age-related conditions.The Journal of Frailty & Aging is a quarterly publication of original papers, review articles, case reports, controversies, letters to the Editor, and book reviews. Manuscripts will be evaluated by the editorial staff and, if suitable, by expert reviewers assigned by the editors. The journal particularly welcomes papers by researchers from different backgrounds and specialities who may want to share their views and experiences on the common themes of frailty and aging.The abstracting and indexing of the Journal of Frailty & Aging is covered by MEDLINE (approval by the National Library of Medicine in February 2016).
×
引用
GB/T 7714-2015
复制
MLA
复制
APA
复制
导出至
BibTeX EndNote RefMan NoteFirst NoteExpress
×
提示
您的信息不完整,为了账户安全,请先补充。
现在去补充
×
提示
您因"违规操作"
具体请查看互助需知
我知道了
×
提示
确定
请完成安全验证×
copy
已复制链接
快去分享给好友吧!
我知道了
右上角分享
点击右上角分享
0
联系我们:info@booksci.cn Book学术提供免费学术资源搜索服务,方便国内外学者检索中英文文献。致力于提供最便捷和优质的服务体验。 Copyright © 2023 布克学术 All rights reserved.
京ICP备2023020795号-1
ghs 京公网安备 11010802042870号
Book学术文献互助
Book学术文献互助群
群 号:604180095
Book学术官方微信