α-硫辛酸通过体内和体外 AMP 激活蛋白激酶信号诱导脂肪组织褐变

IF 7.9 Q1 ENDOCRINOLOGY & METABOLISM
Journal of Obesity & Metabolic Syndrome Pub Date : 2024-06-30 Epub Date: 2024-05-03 DOI:10.7570/jomes23048
Shieh-Yang Huang, Ming-Ting Chung, Ching-Wen Kung, Shu-Ying Chen, Yi-Wen Chen, Tong Pan, Pao-Yun Cheng, Hsin-Hsueh Shen, Yen-Mei Lee
{"title":"α-硫辛酸通过体内和体外 AMP 激活蛋白激酶信号诱导脂肪组织褐变","authors":"Shieh-Yang Huang, Ming-Ting Chung, Ching-Wen Kung, Shu-Ying Chen, Yi-Wen Chen, Tong Pan, Pao-Yun Cheng, Hsin-Hsueh Shen, Yen-Mei Lee","doi":"10.7570/jomes23048","DOIUrl":null,"url":null,"abstract":"<p><strong>Background: </strong>AMP-activated protein kinase (AMPK) is a key enzyme for cellular energy homeostasis and improves metabolic disorders. Brown and beige adipose tissues exert thermogenesis capacities to dissipate energy in the form of heat. Here, we investigated the beneficial effects of the antioxidant alpha-lipoic acid (ALA) in menopausal obesity and the underlying mechanisms.</p><p><strong>Methods: </strong>Female Wistar rats (8 weeks old) were subjected to bilateral ovariectomy (Ovx) and divided into four groups: Sham (n=8), Ovx (n=11), Ovx+ALA2 (n=10), and Ovx+ALA3 (n=6) (ALA 200 and 300 mg/kg/day, respectively; gavage) for 8 weeks. 3T3-L1 cells were used for <i>in vitro</i> study.</p><p><strong>Results: </strong>Rats receiving ALA2 and ALA3 treatment showed significantly lower levels of body weight and white adipose tissue (WAT) mass than those of the Ovx group. ALA improved plasma lipid profiles including triglycerides, total cholesterol, low-density lipoprotein cholesterol, and high-density lipoprotein cholesterol. Hematoxylin & eosin staining of inguinal WAT showed that ALA treatment reduced Ovx-induced adipocyte size and enhanced uncoupling protein 1 (UCP1) expression. Moreover, plasma levels of irisin were markedly increased in ALA-treated Ovx rats. Protein expression of brown fat-specific markers including UCP1, PRDM16, and CIDEA was downregulated by Ovx but markedly increased by ALA. Phosphorylation of AMPK, its downstream acetyl-CoA carboxylase, and its upstream LKB1 were all significantly increased by ALA treatment. In 3T3-L1 cells, administration of ALA (100 and 250 μM) reduced lipid accumulation and enhanced oxygen consumption and UCP1 protein expression, while inhibition of AMPK by dorsomorphin (5 μM) significantly reversed these effects.</p><p><strong>Conclusion: </strong>ALA improves estrogen deficiency-induced obesity via browning of WAT through AMPK signaling.</p>","PeriodicalId":45386,"journal":{"name":"Journal of Obesity & Metabolic Syndrome","volume":" ","pages":"177-188"},"PeriodicalIF":7.9000,"publicationDate":"2024-06-30","publicationTypes":"Journal Article","fieldsOfStudy":null,"isOpenAccess":false,"openAccessPdf":"https://www.ncbi.nlm.nih.gov/pmc/articles/PMC11224925/pdf/","citationCount":"0","resultStr":"{\"title\":\"Alpha-Lipoic Acid Induces Adipose Tissue Browning through AMP-Activated Protein Kinase Signaling <i>in Vivo</i> and <i>in Vitro</i>.\",\"authors\":\"Shieh-Yang Huang, Ming-Ting Chung, Ching-Wen Kung, Shu-Ying Chen, Yi-Wen Chen, Tong Pan, Pao-Yun Cheng, Hsin-Hsueh Shen, Yen-Mei Lee\",\"doi\":\"10.7570/jomes23048\",\"DOIUrl\":null,\"url\":null,\"abstract\":\"<p><strong>Background: </strong>AMP-activated protein kinase (AMPK) is a key enzyme for cellular energy homeostasis and improves metabolic disorders. Brown and beige adipose tissues exert thermogenesis capacities to dissipate energy in the form of heat. Here, we investigated the beneficial effects of the antioxidant alpha-lipoic acid (ALA) in menopausal obesity and the underlying mechanisms.</p><p><strong>Methods: </strong>Female Wistar rats (8 weeks old) were subjected to bilateral ovariectomy (Ovx) and divided into four groups: Sham (n=8), Ovx (n=11), Ovx+ALA2 (n=10), and Ovx+ALA3 (n=6) (ALA 200 and 300 mg/kg/day, respectively; gavage) for 8 weeks. 3T3-L1 cells were used for <i>in vitro</i> study.</p><p><strong>Results: </strong>Rats receiving ALA2 and ALA3 treatment showed significantly lower levels of body weight and white adipose tissue (WAT) mass than those of the Ovx group. ALA improved plasma lipid profiles including triglycerides, total cholesterol, low-density lipoprotein cholesterol, and high-density lipoprotein cholesterol. Hematoxylin & eosin staining of inguinal WAT showed that ALA treatment reduced Ovx-induced adipocyte size and enhanced uncoupling protein 1 (UCP1) expression. Moreover, plasma levels of irisin were markedly increased in ALA-treated Ovx rats. Protein expression of brown fat-specific markers including UCP1, PRDM16, and CIDEA was downregulated by Ovx but markedly increased by ALA. Phosphorylation of AMPK, its downstream acetyl-CoA carboxylase, and its upstream LKB1 were all significantly increased by ALA treatment. In 3T3-L1 cells, administration of ALA (100 and 250 μM) reduced lipid accumulation and enhanced oxygen consumption and UCP1 protein expression, while inhibition of AMPK by dorsomorphin (5 μM) significantly reversed these effects.</p><p><strong>Conclusion: </strong>ALA improves estrogen deficiency-induced obesity via browning of WAT through AMPK signaling.</p>\",\"PeriodicalId\":45386,\"journal\":{\"name\":\"Journal of Obesity & Metabolic Syndrome\",\"volume\":\" \",\"pages\":\"177-188\"},\"PeriodicalIF\":7.9000,\"publicationDate\":\"2024-06-30\",\"publicationTypes\":\"Journal Article\",\"fieldsOfStudy\":null,\"isOpenAccess\":false,\"openAccessPdf\":\"https://www.ncbi.nlm.nih.gov/pmc/articles/PMC11224925/pdf/\",\"citationCount\":\"0\",\"resultStr\":null,\"platform\":\"Semanticscholar\",\"paperid\":null,\"PeriodicalName\":\"Journal of Obesity & Metabolic Syndrome\",\"FirstCategoryId\":\"1085\",\"ListUrlMain\":\"https://doi.org/10.7570/jomes23048\",\"RegionNum\":0,\"RegionCategory\":null,\"ArticlePicture\":[],\"TitleCN\":null,\"AbstractTextCN\":null,\"PMCID\":null,\"EPubDate\":\"2024/5/3 0:00:00\",\"PubModel\":\"Epub\",\"JCR\":\"Q1\",\"JCRName\":\"ENDOCRINOLOGY & METABOLISM\",\"Score\":null,\"Total\":0}","platform":"Semanticscholar","paperid":null,"PeriodicalName":"Journal of Obesity & Metabolic Syndrome","FirstCategoryId":"1085","ListUrlMain":"https://doi.org/10.7570/jomes23048","RegionNum":0,"RegionCategory":null,"ArticlePicture":[],"TitleCN":null,"AbstractTextCN":null,"PMCID":null,"EPubDate":"2024/5/3 0:00:00","PubModel":"Epub","JCR":"Q1","JCRName":"ENDOCRINOLOGY & METABOLISM","Score":null,"Total":0}
引用次数: 0

摘要

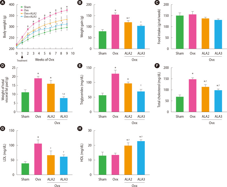
背景:AMP激活蛋白激酶(AMPK)是细胞能量平衡和改善代谢紊乱的关键酶。棕色和米色脂肪组织具有产热能力,能以热的形式耗散能量。在此,我们研究了抗氧化剂α-硫辛酸(ALA)对更年期肥胖的有益作用及其内在机制:方法:对雌性 Wistar 大鼠(8 周大)进行双侧卵巢切除术(Ovx),并将其分为四组:Sham (n=8), Ovx (n=11), Ovx+ALA2 (n=10), and Ovx+ALA3 (n=6) (ALA 200 and 300 mg/kg/day; gavage) for 8 weeks.体外研究使用 3T3-L1 细胞:结果:接受 ALA2 和 ALA3 治疗的大鼠的体重和白色脂肪组织(WAT)质量水平明显低于卵巢癌组。ALA改善了血浆脂质状况,包括甘油三酯、总胆固醇、低密度脂蛋白胆固醇和高密度脂蛋白胆固醇。腹股沟 WAT 的苏木精和伊红染色显示,ALA 治疗减少了 Ovx 诱导的脂肪细胞体积,并增强了解偶联蛋白 1(UCP1)的表达。此外,经 ALA 处理的 Ovx 大鼠血浆中的鸢尾素水平明显升高。棕色脂肪特异性标志物(包括 UCP1、PRDM16 和 CIDEA)的蛋白表达受 Ovx 的影响而下调,但受 ALA 的影响而显著增加。ALA 处理后,AMPK、其下游乙酰-CoA 羧化酶和上游 LKB1 的磷酸化均显著增加。在 3T3-L1 细胞中,给予 ALA(100 和 250 μM)可减少脂质积累,提高耗氧量和 UCP1 蛋白表达,而用多索吗啡(5 μM)抑制 AMPK 可明显逆转这些效应:结论:ALA可通过AMPK信号转导使WAT褐变,从而改善雌激素缺乏诱导的肥胖。
本文章由计算机程序翻译,如有差异,请以英文原文为准。

Alpha-Lipoic Acid Induces Adipose Tissue Browning through AMP-Activated Protein Kinase Signaling <i>in Vivo</i> and <i>in Vitro</i>.

Alpha-Lipoic Acid Induces Adipose Tissue Browning through AMP-Activated Protein Kinase Signaling <i>in Vivo</i> and <i>in Vitro</i>.

Alpha-Lipoic Acid Induces Adipose Tissue Browning through AMP-Activated Protein Kinase Signaling <i>in Vivo</i> and <i>in Vitro</i>.

Alpha-Lipoic Acid Induces Adipose Tissue Browning through AMP-Activated Protein Kinase Signaling in Vivo and in Vitro.

Background: AMP-activated protein kinase (AMPK) is a key enzyme for cellular energy homeostasis and improves metabolic disorders. Brown and beige adipose tissues exert thermogenesis capacities to dissipate energy in the form of heat. Here, we investigated the beneficial effects of the antioxidant alpha-lipoic acid (ALA) in menopausal obesity and the underlying mechanisms.

Methods: Female Wistar rats (8 weeks old) were subjected to bilateral ovariectomy (Ovx) and divided into four groups: Sham (n=8), Ovx (n=11), Ovx+ALA2 (n=10), and Ovx+ALA3 (n=6) (ALA 200 and 300 mg/kg/day, respectively; gavage) for 8 weeks. 3T3-L1 cells were used for in vitro study.

Results: Rats receiving ALA2 and ALA3 treatment showed significantly lower levels of body weight and white adipose tissue (WAT) mass than those of the Ovx group. ALA improved plasma lipid profiles including triglycerides, total cholesterol, low-density lipoprotein cholesterol, and high-density lipoprotein cholesterol. Hematoxylin & eosin staining of inguinal WAT showed that ALA treatment reduced Ovx-induced adipocyte size and enhanced uncoupling protein 1 (UCP1) expression. Moreover, plasma levels of irisin were markedly increased in ALA-treated Ovx rats. Protein expression of brown fat-specific markers including UCP1, PRDM16, and CIDEA was downregulated by Ovx but markedly increased by ALA. Phosphorylation of AMPK, its downstream acetyl-CoA carboxylase, and its upstream LKB1 were all significantly increased by ALA treatment. In 3T3-L1 cells, administration of ALA (100 and 250 μM) reduced lipid accumulation and enhanced oxygen consumption and UCP1 protein expression, while inhibition of AMPK by dorsomorphin (5 μM) significantly reversed these effects.

Conclusion: ALA improves estrogen deficiency-induced obesity via browning of WAT through AMPK signaling.

求助全文
通过发布文献求助,成功后即可免费获取论文全文。 去求助
来源期刊
Journal of Obesity & Metabolic Syndrome
Journal of Obesity & Metabolic Syndrome ENDOCRINOLOGY & METABOLISM-
CiteScore
8.30
自引率
9.60%
发文量
39
审稿时长
19 weeks
期刊介绍: The journal was launched in 1992 and diverse studies on obesity have been published under the title of Journal of Korean Society for the Study of Obesity until 2004. Since 2017, volume 26, the title is now the Journal of Obesity & Metabolic Syndrome (pISSN 2508-6235, eISSN 2508-7576). The journal is published quarterly on March 30th, June 30th, September 30th and December 30th. The official title of the journal is now "Journal of Obesity & Metabolic Syndrome" and the abbreviated title is "J Obes Metab Syndr". Index words from medical subject headings (MeSH) list of Index Medicus are included in each article to facilitate article search. Some or all of the articles of this journal are included in the index of PubMed, PubMed Central, Scopus, Embase, DOAJ, Ebsco, KCI, KoreaMed, KoMCI, Science Central, Crossref Metadata Search, Google Scholar, and Emerging Sources Citation Index (ESCI).
×
引用
GB/T 7714-2015
复制
MLA
复制
APA
复制
导出至
BibTeX EndNote RefMan NoteFirst NoteExpress
×
提示
您的信息不完整,为了账户安全,请先补充。
现在去补充
×
提示
您因"违规操作"
具体请查看互助需知
我知道了
×
提示
确定
请完成安全验证×
copy
已复制链接
快去分享给好友吧!
我知道了
右上角分享
点击右上角分享
0
联系我们:info@booksci.cn Book学术提供免费学术资源搜索服务,方便国内外学者检索中英文文献。致力于提供最便捷和优质的服务体验。 Copyright © 2023 布克学术 All rights reserved.
京ICP备2023020795号-1
ghs 京公网安备 11010802042870号
Book学术文献互助
Book学术文献互助群
群 号:604180095
Book学术官方微信