血清富亮氨酸α-2糖蛋白在胶囊内镜检查中预测克罗恩病小肠病变结果的有效性。

IF 3.9 Q2 GASTROENTEROLOGY & HEPATOLOGY
Intestinal Research Pub Date : 2024-10-01 Epub Date: 2024-05-07 DOI:10.5217/ir.2023.00139
Teppei Omori, Miki Koroku, Shun Murasugi, Ayumi Ito, Maria Yonezawa, Shinichi Nakamura, Katsutoshi Tokushige
{"title":"血清富亮氨酸α-2糖蛋白在胶囊内镜检查中预测克罗恩病小肠病变结果的有效性。","authors":"Teppei Omori, Miki Koroku, Shun Murasugi, Ayumi Ito, Maria Yonezawa, Shinichi Nakamura, Katsutoshi Tokushige","doi":"10.5217/ir.2023.00139","DOIUrl":null,"url":null,"abstract":"<p><strong>Background/aims: </strong>Small bowel capsule endoscopy (SBCE) is an evaluation method for small bowel (SB) lesions in Crohn's disease (CD). However, the relationship between SBCE findings and the serological biomarker leucine-rich alpha-2 glycoprotein (LRG) remains unclear. We aimed to establish appropriate cutoff values of LRG to predict the presence of SB lesions in CD through SBCE.</p><p><strong>Methods: </strong>Patients with CD with SB lesions who had undergone SBCE and LRG measurements 1 month before and after the SBCE were included. The LRG values for ulcers ≥0.5 cm and other inflammatory lesions noted in SBCE were determined using the Youden Index, and the sensitivity and specificity were calculated. Additionally, the correlation between the SBCE scores (CD Activity in Capsule Endoscopy) and LRG values was evaluated.</p><p><strong>Results: </strong>Forty patients without active colorectal lesions were included in the study. When the cutoff value of LRG for SB ulcers ≥ 0.5 cm was set at 14 μg/mL, the sensitivity was 92.3%, specificity was 81.5%, positive predictive value (PPV) was 70.6%, and negative predictive value (NPV) was 95.7%. In contrast, an LRG cutoff value of 12 μg/mL without inflammatory findings had a sensitivity of 91.7%, specificity of 82.1%, PPV of 68.8%, and NPV of 95.8%. CD Activity in Capsule Endoscopy correlated well with LRG values (Spearman's rank correlation coefficient ρ = 0.681, P< 0.001).</p><p><strong>Conclusions: </strong>An LRG cutoff value of 14 μg/mL may be useful in predicting the presence of SB ulcers ≥ 0.5 cm, and an LRG cutoff value of 12 μg/mL may be useful in predicting the absence of SB inflammatory findings.</p>","PeriodicalId":14481,"journal":{"name":"Intestinal Research","volume":" ","pages":"464-472"},"PeriodicalIF":3.9000,"publicationDate":"2024-10-01","publicationTypes":"Journal Article","fieldsOfStudy":null,"isOpenAccess":false,"openAccessPdf":"https://www.ncbi.nlm.nih.gov/pmc/articles/PMC11534453/pdf/","citationCount":"0","resultStr":"{\"title\":\"Efficacy of serum leucine-rich alpha-2 glycoprotein in predicting findings of Crohn's disease small bowel lesion in capsule endoscopy.\",\"authors\":\"Teppei Omori, Miki Koroku, Shun Murasugi, Ayumi Ito, Maria Yonezawa, Shinichi Nakamura, Katsutoshi Tokushige\",\"doi\":\"10.5217/ir.2023.00139\",\"DOIUrl\":null,\"url\":null,\"abstract\":\"<p><strong>Background/aims: </strong>Small bowel capsule endoscopy (SBCE) is an evaluation method for small bowel (SB) lesions in Crohn's disease (CD). However, the relationship between SBCE findings and the serological biomarker leucine-rich alpha-2 glycoprotein (LRG) remains unclear. We aimed to establish appropriate cutoff values of LRG to predict the presence of SB lesions in CD through SBCE.</p><p><strong>Methods: </strong>Patients with CD with SB lesions who had undergone SBCE and LRG measurements 1 month before and after the SBCE were included. The LRG values for ulcers ≥0.5 cm and other inflammatory lesions noted in SBCE were determined using the Youden Index, and the sensitivity and specificity were calculated. Additionally, the correlation between the SBCE scores (CD Activity in Capsule Endoscopy) and LRG values was evaluated.</p><p><strong>Results: </strong>Forty patients without active colorectal lesions were included in the study. When the cutoff value of LRG for SB ulcers ≥ 0.5 cm was set at 14 μg/mL, the sensitivity was 92.3%, specificity was 81.5%, positive predictive value (PPV) was 70.6%, and negative predictive value (NPV) was 95.7%. In contrast, an LRG cutoff value of 12 μg/mL without inflammatory findings had a sensitivity of 91.7%, specificity of 82.1%, PPV of 68.8%, and NPV of 95.8%. CD Activity in Capsule Endoscopy correlated well with LRG values (Spearman's rank correlation coefficient ρ = 0.681, P< 0.001).</p><p><strong>Conclusions: </strong>An LRG cutoff value of 14 μg/mL may be useful in predicting the presence of SB ulcers ≥ 0.5 cm, and an LRG cutoff value of 12 μg/mL may be useful in predicting the absence of SB inflammatory findings.</p>\",\"PeriodicalId\":14481,\"journal\":{\"name\":\"Intestinal Research\",\"volume\":\" \",\"pages\":\"464-472\"},\"PeriodicalIF\":3.9000,\"publicationDate\":\"2024-10-01\",\"publicationTypes\":\"Journal Article\",\"fieldsOfStudy\":null,\"isOpenAccess\":false,\"openAccessPdf\":\"https://www.ncbi.nlm.nih.gov/pmc/articles/PMC11534453/pdf/\",\"citationCount\":\"0\",\"resultStr\":null,\"platform\":\"Semanticscholar\",\"paperid\":null,\"PeriodicalName\":\"Intestinal Research\",\"FirstCategoryId\":\"1085\",\"ListUrlMain\":\"https://doi.org/10.5217/ir.2023.00139\",\"RegionNum\":0,\"RegionCategory\":null,\"ArticlePicture\":[],\"TitleCN\":null,\"AbstractTextCN\":null,\"PMCID\":null,\"EPubDate\":\"2024/5/7 0:00:00\",\"PubModel\":\"Epub\",\"JCR\":\"Q2\",\"JCRName\":\"GASTROENTEROLOGY & HEPATOLOGY\",\"Score\":null,\"Total\":0}","platform":"Semanticscholar","paperid":null,"PeriodicalName":"Intestinal Research","FirstCategoryId":"1085","ListUrlMain":"https://doi.org/10.5217/ir.2023.00139","RegionNum":0,"RegionCategory":null,"ArticlePicture":[],"TitleCN":null,"AbstractTextCN":null,"PMCID":null,"EPubDate":"2024/5/7 0:00:00","PubModel":"Epub","JCR":"Q2","JCRName":"GASTROENTEROLOGY & HEPATOLOGY","Score":null,"Total":0}
引用次数: 0

摘要

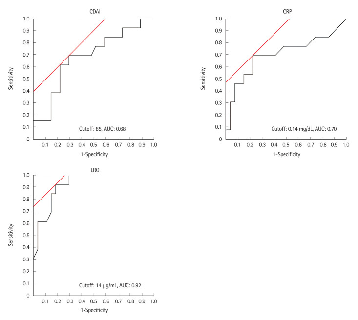
背景/目的:小肠胶囊内镜检查(SBCE)是一种评估克罗恩病(CD)小肠(SB)病变的方法。然而,SBCE检查结果与血清学生物标志物富亮氨酸α-2糖蛋白(LRG)之间的关系仍不清楚。我们的目的是建立适当的 LRG 临界值,以便通过 SBCE 预测 CD 中是否存在 SB 病变:方法:纳入接受 SBCE 并在 SBCE 前后 1 个月测量 LRG 的有 SB 病变的 CD 患者。采用尤登指数(Youden Index)确定 SBCE 中发现的溃疡(≥0.5 厘米)和其他炎性病变的 LRG 值,并计算敏感性和特异性。此外,还评估了 SBCE 评分(胶囊内镜下的 CD 活动)与 LRG 值之间的相关性:研究共纳入了 40 名无活动性结直肠病变的患者。将 SB 溃疡≥ 0.5 cm 的 LRG 临界值定为 14 μg/mL,敏感性为 92.3%,特异性为 81.5%,阳性预测值(PPV)为 70.6%,阴性预测值(NPV)为 95.7%。相比之下,在没有炎症发现的情况下,LRG 临界值为 12 μg/mL,敏感性为 91.7%,特异性为 82.1%,PPV 为 68.8%,NPV 为 95.8%。结论:胶囊内镜检查中的 CD 活性与 LRG 值有很好的相关性(斯皮尔曼等级相关系数 ρ = 0.681,P< 0.001):14微克/毫升的LRG临界值可用于预测是否存在≥0.5厘米的SB溃疡,12微克/毫升的LRG临界值可用于预测是否存在SB炎症发现。
本文章由计算机程序翻译,如有差异,请以英文原文为准。

Efficacy of serum leucine-rich alpha-2 glycoprotein in predicting findings of Crohn's disease small bowel lesion in capsule endoscopy.

Efficacy of serum leucine-rich alpha-2 glycoprotein in predicting findings of Crohn's disease small bowel lesion in capsule endoscopy.

Efficacy of serum leucine-rich alpha-2 glycoprotein in predicting findings of Crohn's disease small bowel lesion in capsule endoscopy.

Efficacy of serum leucine-rich alpha-2 glycoprotein in predicting findings of Crohn's disease small bowel lesion in capsule endoscopy.

Background/aims: Small bowel capsule endoscopy (SBCE) is an evaluation method for small bowel (SB) lesions in Crohn's disease (CD). However, the relationship between SBCE findings and the serological biomarker leucine-rich alpha-2 glycoprotein (LRG) remains unclear. We aimed to establish appropriate cutoff values of LRG to predict the presence of SB lesions in CD through SBCE.

Methods: Patients with CD with SB lesions who had undergone SBCE and LRG measurements 1 month before and after the SBCE were included. The LRG values for ulcers ≥0.5 cm and other inflammatory lesions noted in SBCE were determined using the Youden Index, and the sensitivity and specificity were calculated. Additionally, the correlation between the SBCE scores (CD Activity in Capsule Endoscopy) and LRG values was evaluated.

Results: Forty patients without active colorectal lesions were included in the study. When the cutoff value of LRG for SB ulcers ≥ 0.5 cm was set at 14 μg/mL, the sensitivity was 92.3%, specificity was 81.5%, positive predictive value (PPV) was 70.6%, and negative predictive value (NPV) was 95.7%. In contrast, an LRG cutoff value of 12 μg/mL without inflammatory findings had a sensitivity of 91.7%, specificity of 82.1%, PPV of 68.8%, and NPV of 95.8%. CD Activity in Capsule Endoscopy correlated well with LRG values (Spearman's rank correlation coefficient ρ = 0.681, P< 0.001).

Conclusions: An LRG cutoff value of 14 μg/mL may be useful in predicting the presence of SB ulcers ≥ 0.5 cm, and an LRG cutoff value of 12 μg/mL may be useful in predicting the absence of SB inflammatory findings.

求助全文
通过发布文献求助,成功后即可免费获取论文全文。 去求助
来源期刊
Intestinal Research
Intestinal Research GASTROENTEROLOGY & HEPATOLOGY-
CiteScore
7.40
自引率
10.20%
发文量
69
审稿时长
38 weeks
期刊介绍: Intestinal Research (Intest Res) is the joint official publication of the Asian Organization for Crohn''s and Colitis (AOCC), Chinese Society of IBD (CSIBD), Japanese Society for IBD (JSIBD), Korean Association for the Study of Intestinal Diseases (KASID), Taiwan Society of IBD (TSIBD) and Colitis Crohn''s Foundation (India) (CCF, india). The aim of the Journal is to provide broad and in-depth analysis of intestinal diseases, especially inflammatory bowel disease, which shows increasing tendency and significance. As a Journal specialized in clinical and translational research in gastroenterology, it encompasses multiple aspects of diseases originated from the small and large intestines. The Journal also seeks to propagate and exchange useful innovations, both in ideas and in practice, within the research community. As a mode of scholarly communication, it encourages scientific investigation through the rigorous peer-review system and constitutes a qualified and continual platform for sharing studies of researchers and practitioners. Specifically, the Journal presents up-to-date coverage of medical researches on the physiology, epidemiology, pathophysiology, clinical presentations, and therapeutic interventions of the intestinal diseases. General topics of interest include inflammatory bowel disease, colon and small intestine cancer or polyp, endoscopy, irritable bowel syndrome and other motility disorders, infectious enterocolitis, intestinal tuberculosis, and so forth. The Journal publishes diverse types of academic materials such as editorials, clinical and basic reviews, original articles, case reports, letters to the editor, brief communications, perspective, statement or commentary, and images that are useful to clinicians and researchers.
×
引用
GB/T 7714-2015
复制
MLA
复制
APA
复制
导出至
BibTeX EndNote RefMan NoteFirst NoteExpress
×
提示
您的信息不完整,为了账户安全,请先补充。
现在去补充
×
提示
您因"违规操作"
具体请查看互助需知
我知道了
×
提示
确定
请完成安全验证×
copy
已复制链接
快去分享给好友吧!
我知道了
右上角分享
点击右上角分享
0
联系我们:info@booksci.cn Book学术提供免费学术资源搜索服务,方便国内外学者检索中英文文献。致力于提供最便捷和优质的服务体验。 Copyright © 2023 布克学术 All rights reserved.
京ICP备2023020795号-1
ghs 京公网安备 11010802042870号
Book学术文献互助
Book学术文献互助群
群 号:604180095
Book学术官方微信