近视前青光眼患者神经节细胞内丛状层复层厚度的判别能力

IF 0.9 Q3 OPHTHALMOLOGY
Journal of Current Ophthalmology Pub Date : 2024-03-29 eCollection Date: 2023-07-01 DOI:10.4103/joco.joco_124_23
Bhavya Mehta, Somesh Ranjan, Vinod Sharma, Neha Singh, Nidhi Raghav, Acid Dholakia, Rahul Bhargava, P Laxmi Sireesha Reddy, Pooja Bargujar
{"title":"近视前青光眼患者神经节细胞内丛状层复层厚度的判别能力","authors":"Bhavya Mehta, Somesh Ranjan, Vinod Sharma, Neha Singh, Nidhi Raghav, Acid Dholakia, Rahul Bhargava, P Laxmi Sireesha Reddy, Pooja Bargujar","doi":"10.4103/joco.joco_124_23","DOIUrl":null,"url":null,"abstract":"<p><strong>Purpose: </strong>To evaluate diagnostic performance of ganglion cell inner plexiform layer (GCIPL) and retinal nerve fiber layer (RNFL) parameters measured with Cirrus high-definition optical coherence tomography (OCT) in patients with preperimetric glaucoma.</p><p><strong>Methods: </strong>In this multicenter cross-sectional study, 150 eyes of 83 patients with preperimetric glaucoma were compared with 200 eyes of age and sex matched healthy subjects. All patients had visual field testing and OCT scanning of GCIPL and RNFL in all quadrants. The independent Samples <i>t</i>-test was used to determine if a difference exists between the means of two independent groups on a continuous dependent variable. The area under the receiver operating characteristic (ROC) curve (AUC) of each parameter was calculated for discriminatory ability between normal controls and preperimetric glaucoma. The sensitivity and specificity were estimated by point coordinates on ROC curve.</p><p><strong>Results: </strong>The best parameters for distinguishing preperimetric glaucoma from healthy eyes were the combined average GCIPL + average RNFL, followed by average RNFL + GCIPL (inferotemporal), and average RNFL + GCIPL (minimum). The GCIPL parameters with the highest to lowest AUC (in decreasing order) were inferotemporal, followed by average, minimum, superior, inferior, superonasal, inferonasal, superotemporal, and quadrants. The RNFL parameters with the highest to lowest AUC (in decreasing order) were average, followed by nasal, temporal, superior, and inferior quadrants. The sensitivity of combined GCIPL + RNFL parameters ranged 85%-88% and the specificity ranged 76%-88%. The sensitivity for RNFL parameters ranged 80%-90% and the specificity ranged 64%-88%.</p><p><strong>Conclusion: </strong>GCIPL and RNFL have good discriminatory ability; the sensitivity and specificity increase when both parameters are combined for early detection of glaucoma.</p>","PeriodicalId":15423,"journal":{"name":"Journal of Current Ophthalmology","volume":"35 3","pages":"231-237"},"PeriodicalIF":0.9000,"publicationDate":"2024-03-29","publicationTypes":"Journal Article","fieldsOfStudy":null,"isOpenAccess":false,"openAccessPdf":"https://www.ncbi.nlm.nih.gov/pmc/articles/PMC11047817/pdf/","citationCount":"0","resultStr":"{\"title\":\"The Discriminatory Ability of Ganglion Cell Inner Plexiform Layer Complex Thickness in Patients with Preperimetric Glaucoma.\",\"authors\":\"Bhavya Mehta, Somesh Ranjan, Vinod Sharma, Neha Singh, Nidhi Raghav, Acid Dholakia, Rahul Bhargava, P Laxmi Sireesha Reddy, Pooja Bargujar\",\"doi\":\"10.4103/joco.joco_124_23\",\"DOIUrl\":null,\"url\":null,\"abstract\":\"<p><strong>Purpose: </strong>To evaluate diagnostic performance of ganglion cell inner plexiform layer (GCIPL) and retinal nerve fiber layer (RNFL) parameters measured with Cirrus high-definition optical coherence tomography (OCT) in patients with preperimetric glaucoma.</p><p><strong>Methods: </strong>In this multicenter cross-sectional study, 150 eyes of 83 patients with preperimetric glaucoma were compared with 200 eyes of age and sex matched healthy subjects. All patients had visual field testing and OCT scanning of GCIPL and RNFL in all quadrants. The independent Samples <i>t</i>-test was used to determine if a difference exists between the means of two independent groups on a continuous dependent variable. The area under the receiver operating characteristic (ROC) curve (AUC) of each parameter was calculated for discriminatory ability between normal controls and preperimetric glaucoma. The sensitivity and specificity were estimated by point coordinates on ROC curve.</p><p><strong>Results: </strong>The best parameters for distinguishing preperimetric glaucoma from healthy eyes were the combined average GCIPL + average RNFL, followed by average RNFL + GCIPL (inferotemporal), and average RNFL + GCIPL (minimum). The GCIPL parameters with the highest to lowest AUC (in decreasing order) were inferotemporal, followed by average, minimum, superior, inferior, superonasal, inferonasal, superotemporal, and quadrants. The RNFL parameters with the highest to lowest AUC (in decreasing order) were average, followed by nasal, temporal, superior, and inferior quadrants. The sensitivity of combined GCIPL + RNFL parameters ranged 85%-88% and the specificity ranged 76%-88%. The sensitivity for RNFL parameters ranged 80%-90% and the specificity ranged 64%-88%.</p><p><strong>Conclusion: </strong>GCIPL and RNFL have good discriminatory ability; the sensitivity and specificity increase when both parameters are combined for early detection of glaucoma.</p>\",\"PeriodicalId\":15423,\"journal\":{\"name\":\"Journal of Current Ophthalmology\",\"volume\":\"35 3\",\"pages\":\"231-237\"},\"PeriodicalIF\":0.9000,\"publicationDate\":\"2024-03-29\",\"publicationTypes\":\"Journal Article\",\"fieldsOfStudy\":null,\"isOpenAccess\":false,\"openAccessPdf\":\"https://www.ncbi.nlm.nih.gov/pmc/articles/PMC11047817/pdf/\",\"citationCount\":\"0\",\"resultStr\":null,\"platform\":\"Semanticscholar\",\"paperid\":null,\"PeriodicalName\":\"Journal of Current Ophthalmology\",\"FirstCategoryId\":\"1085\",\"ListUrlMain\":\"https://doi.org/10.4103/joco.joco_124_23\",\"RegionNum\":0,\"RegionCategory\":null,\"ArticlePicture\":[],\"TitleCN\":null,\"AbstractTextCN\":null,\"PMCID\":null,\"EPubDate\":\"2023/7/1 0:00:00\",\"PubModel\":\"eCollection\",\"JCR\":\"Q3\",\"JCRName\":\"OPHTHALMOLOGY\",\"Score\":null,\"Total\":0}","platform":"Semanticscholar","paperid":null,"PeriodicalName":"Journal of Current Ophthalmology","FirstCategoryId":"1085","ListUrlMain":"https://doi.org/10.4103/joco.joco_124_23","RegionNum":0,"RegionCategory":null,"ArticlePicture":[],"TitleCN":null,"AbstractTextCN":null,"PMCID":null,"EPubDate":"2023/7/1 0:00:00","PubModel":"eCollection","JCR":"Q3","JCRName":"OPHTHALMOLOGY","Score":null,"Total":0}
引用次数: 0

摘要

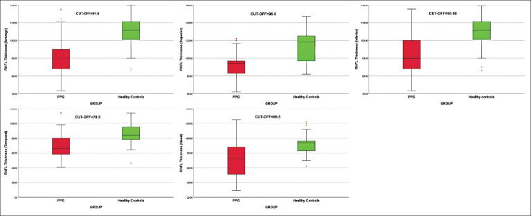
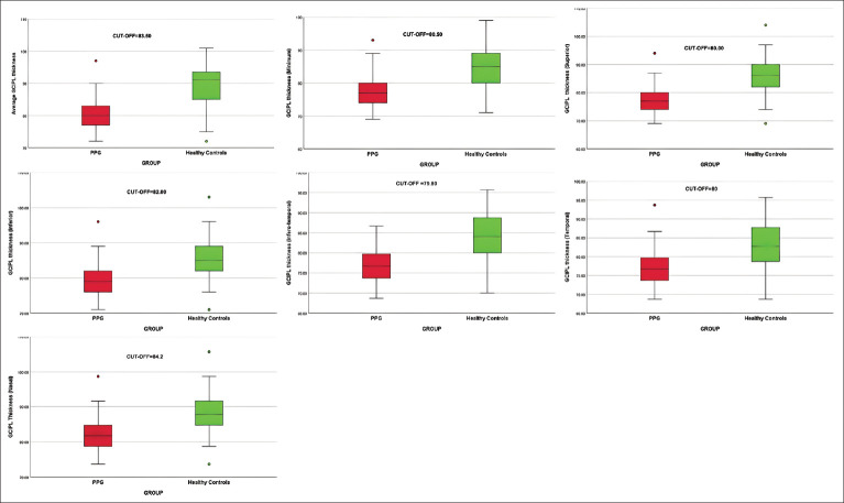
目的:评估用 Cirrus 高清晰度光学相干断层扫描(OCT)测量的神经节细胞丛状内层(GCIPL)和视网膜神经纤维层(RNFL)参数在青光眼前变患者中的诊断性能:在这项多中心横断面研究中,83 名先兆性青光眼患者的 150 只眼睛与 200 名年龄和性别匹配的健康受试者的眼睛进行了比较。所有患者均接受了视野测试和所有象限的 GCIPL 和 RNFL 的 OCT 扫描。独立样本 t 检验用于确定两个独立群体在连续因变量上的均值是否存在差异。计算每个参数的接收器操作特征曲线下面积(AUC),以区分正常对照组和先兆性青光眼。通过 ROC 曲线上的点坐标估算灵敏度和特异性:区分先兆性青光眼和健康眼的最佳参数是平均 GCIPL + 平均 RNFL,其次是平均 RNFL + GCIPL(颞下)和平均 RNFL + GCIPL(最小)。AUC 从高到低(按递减顺序)的 GCIPL 参数依次是颞下,然后是平均、最小、上、下、颞上、颞下、颞上和象限。AUC 从高到低(依次递减)的 RNFL 参数是平均值,其次是鼻象限、颞象限、上象限和下象限。GCIPL + RNFL 组合参数的灵敏度在 85%-88% 之间,特异度在 76%-88% 之间。RNFL 参数的灵敏度为 80%-90%,特异度为 64%-88%:结论:GCIPL 和 RNFL 具有良好的鉴别能力;在早期检测青光眼时,如果将这两个参数结合使用,灵敏度和特异性都会增加。
本文章由计算机程序翻译,如有差异,请以英文原文为准。

The Discriminatory Ability of Ganglion Cell Inner Plexiform Layer Complex Thickness in Patients with Preperimetric Glaucoma.

The Discriminatory Ability of Ganglion Cell Inner Plexiform Layer Complex Thickness in Patients with Preperimetric Glaucoma.

The Discriminatory Ability of Ganglion Cell Inner Plexiform Layer Complex Thickness in Patients with Preperimetric Glaucoma.

The Discriminatory Ability of Ganglion Cell Inner Plexiform Layer Complex Thickness in Patients with Preperimetric Glaucoma.

Purpose: To evaluate diagnostic performance of ganglion cell inner plexiform layer (GCIPL) and retinal nerve fiber layer (RNFL) parameters measured with Cirrus high-definition optical coherence tomography (OCT) in patients with preperimetric glaucoma.

Methods: In this multicenter cross-sectional study, 150 eyes of 83 patients with preperimetric glaucoma were compared with 200 eyes of age and sex matched healthy subjects. All patients had visual field testing and OCT scanning of GCIPL and RNFL in all quadrants. The independent Samples t-test was used to determine if a difference exists between the means of two independent groups on a continuous dependent variable. The area under the receiver operating characteristic (ROC) curve (AUC) of each parameter was calculated for discriminatory ability between normal controls and preperimetric glaucoma. The sensitivity and specificity were estimated by point coordinates on ROC curve.

Results: The best parameters for distinguishing preperimetric glaucoma from healthy eyes were the combined average GCIPL + average RNFL, followed by average RNFL + GCIPL (inferotemporal), and average RNFL + GCIPL (minimum). The GCIPL parameters with the highest to lowest AUC (in decreasing order) were inferotemporal, followed by average, minimum, superior, inferior, superonasal, inferonasal, superotemporal, and quadrants. The RNFL parameters with the highest to lowest AUC (in decreasing order) were average, followed by nasal, temporal, superior, and inferior quadrants. The sensitivity of combined GCIPL + RNFL parameters ranged 85%-88% and the specificity ranged 76%-88%. The sensitivity for RNFL parameters ranged 80%-90% and the specificity ranged 64%-88%.

Conclusion: GCIPL and RNFL have good discriminatory ability; the sensitivity and specificity increase when both parameters are combined for early detection of glaucoma.

求助全文
通过发布文献求助,成功后即可免费获取论文全文。 去求助
来源期刊
CiteScore
2.50
自引率
6.70%
发文量
45
审稿时长
8 weeks
期刊介绍: Peer Review under the responsibility of Iranian Society of Ophthalmology Journal of Current Ophthalmology, the official publication of the Iranian Society of Ophthalmology, is a peer-reviewed, open-access, scientific journal that welcomes high quality original articles related to vision science and all fields of ophthalmology. Journal of Current Ophthalmology is the continuum of Iranian Journal of Ophthalmology published since 1969.
×
引用
GB/T 7714-2015
复制
MLA
复制
APA
复制
导出至
BibTeX EndNote RefMan NoteFirst NoteExpress
×
提示
您的信息不完整,为了账户安全,请先补充。
现在去补充
×
提示
您因"违规操作"
具体请查看互助需知
我知道了
×
提示
确定
请完成安全验证×
copy
已复制链接
快去分享给好友吧!
我知道了
右上角分享
点击右上角分享
0
联系我们:info@booksci.cn Book学术提供免费学术资源搜索服务,方便国内外学者检索中英文文献。致力于提供最便捷和优质的服务体验。 Copyright © 2023 布克学术 All rights reserved.
京ICP备2023020795号-1
ghs 京公网安备 11010802042870号
Book学术文献互助
Book学术文献互助群
群 号:604180095
Book学术官方微信