创伤后应激障碍患者情绪自由技术的可行性:一项试点研究。

IF 1.8 Q3 INTEGRATIVE & COMPLEMENTARY MEDICINE
Yujin Choi, Yunna Kim, Do-Hyung Kwon, Sunyoung Choi, Young-Eun Choi, Eun Kyoung Ahn, Seung-Hun Cho, Hyungjun Kim
{"title":"创伤后应激障碍患者情绪自由技术的可行性:一项试点研究。","authors":"Yujin Choi, Yunna Kim, Do-Hyung Kwon, Sunyoung Choi, Young-Eun Choi, Eun Kyoung Ahn, Seung-Hun Cho, Hyungjun Kim","doi":"10.3831/KPI.2024.27.1.27","DOIUrl":null,"url":null,"abstract":"<p><strong>Objectives: </strong>Posttraumatic stress disorder (PTSD) is a prevalent mental health condition, and techniques using sensory stimulation in processing traumatic memories have gained attention. The Emotional Freedom Techniques (EFT) is a psychotherapy that combines tapping on acupoints with exposure to cognitive reframing. This pilot study aimed to assess the feasibility of EFT as a treatment for PTSD by answering the following research questions 1) What is the compliance and completion rate of patients with PTSD with regard to EFT protocol? Is the dropout rate reasonable? 2) Is the effect size of EFT protocol for PTSD sufficient to justify a future trial?</p><p><strong>Methods: </strong>Thirty participants diagnosed with PTSD were recruited. They received weekly EFT sessions for five weeks, in which they repeated a statement acknowledging the problem and accepting themselves while tapping the SI3 acupoint on the side of their hand. PTSD symptoms were evaluated using the PTSD Checklist for DSM-5 (PCL-5) before and after the intervention.</p><p><strong>Results: </strong>Of the 30 PTSD patients (mean age 34.1 ± 9.1, 80% female), 96.7% showed over 80% compliance to the EFT sessions, and 86.7% completed the entire study process. The mean PCL-5 total score decreased significantly after the intervention, with a large effect size (change from baseline -14.33 [95% CI -19.79, -8.86], p < 0.0001, d = 1.06).</p><p><strong>Conclusion: </strong>The study suggests that EFT is a feasible treatment for PTSD, with high session compliance and low dropout rates. The effect size observed in this study supports the need for a larger trial in the future to further investigate EFT as a treatment for PTSD. However, the lack of a control group and the use of a self-rated questionnaire for PTSD symptoms are limitations of this study. The findings of this pilot study can be used to plan a future trial.</p>","PeriodicalId":16769,"journal":{"name":"Journal of Pharmacopuncture","volume":"27 1","pages":"27-37"},"PeriodicalIF":1.8000,"publicationDate":"2024-03-31","publicationTypes":"Journal Article","fieldsOfStudy":null,"isOpenAccess":false,"openAccessPdf":"https://www.ncbi.nlm.nih.gov/pmc/articles/PMC10978442/pdf/","citationCount":"0","resultStr":"{\"title\":\"Feasibility of Emotional Freedom Techniques in Patients with Posttraumatic Stress Disorder: a pilot study.\",\"authors\":\"Yujin Choi, Yunna Kim, Do-Hyung Kwon, Sunyoung Choi, Young-Eun Choi, Eun Kyoung Ahn, Seung-Hun Cho, Hyungjun Kim\",\"doi\":\"10.3831/KPI.2024.27.1.27\",\"DOIUrl\":null,\"url\":null,\"abstract\":\"<p><strong>Objectives: </strong>Posttraumatic stress disorder (PTSD) is a prevalent mental health condition, and techniques using sensory stimulation in processing traumatic memories have gained attention. The Emotional Freedom Techniques (EFT) is a psychotherapy that combines tapping on acupoints with exposure to cognitive reframing. This pilot study aimed to assess the feasibility of EFT as a treatment for PTSD by answering the following research questions 1) What is the compliance and completion rate of patients with PTSD with regard to EFT protocol? Is the dropout rate reasonable? 2) Is the effect size of EFT protocol for PTSD sufficient to justify a future trial?</p><p><strong>Methods: </strong>Thirty participants diagnosed with PTSD were recruited. They received weekly EFT sessions for five weeks, in which they repeated a statement acknowledging the problem and accepting themselves while tapping the SI3 acupoint on the side of their hand. PTSD symptoms were evaluated using the PTSD Checklist for DSM-5 (PCL-5) before and after the intervention.</p><p><strong>Results: </strong>Of the 30 PTSD patients (mean age 34.1 ± 9.1, 80% female), 96.7% showed over 80% compliance to the EFT sessions, and 86.7% completed the entire study process. The mean PCL-5 total score decreased significantly after the intervention, with a large effect size (change from baseline -14.33 [95% CI -19.79, -8.86], p < 0.0001, d = 1.06).</p><p><strong>Conclusion: </strong>The study suggests that EFT is a feasible treatment for PTSD, with high session compliance and low dropout rates. The effect size observed in this study supports the need for a larger trial in the future to further investigate EFT as a treatment for PTSD. However, the lack of a control group and the use of a self-rated questionnaire for PTSD symptoms are limitations of this study. The findings of this pilot study can be used to plan a future trial.</p>\",\"PeriodicalId\":16769,\"journal\":{\"name\":\"Journal of Pharmacopuncture\",\"volume\":\"27 1\",\"pages\":\"27-37\"},\"PeriodicalIF\":1.8000,\"publicationDate\":\"2024-03-31\",\"publicationTypes\":\"Journal Article\",\"fieldsOfStudy\":null,\"isOpenAccess\":false,\"openAccessPdf\":\"https://www.ncbi.nlm.nih.gov/pmc/articles/PMC10978442/pdf/\",\"citationCount\":\"0\",\"resultStr\":null,\"platform\":\"Semanticscholar\",\"paperid\":null,\"PeriodicalName\":\"Journal of Pharmacopuncture\",\"FirstCategoryId\":\"1085\",\"ListUrlMain\":\"https://doi.org/10.3831/KPI.2024.27.1.27\",\"RegionNum\":0,\"RegionCategory\":null,\"ArticlePicture\":[],\"TitleCN\":null,\"AbstractTextCN\":null,\"PMCID\":null,\"EPubDate\":\"\",\"PubModel\":\"\",\"JCR\":\"Q3\",\"JCRName\":\"INTEGRATIVE & COMPLEMENTARY MEDICINE\",\"Score\":null,\"Total\":0}","platform":"Semanticscholar","paperid":null,"PeriodicalName":"Journal of Pharmacopuncture","FirstCategoryId":"1085","ListUrlMain":"https://doi.org/10.3831/KPI.2024.27.1.27","RegionNum":0,"RegionCategory":null,"ArticlePicture":[],"TitleCN":null,"AbstractTextCN":null,"PMCID":null,"EPubDate":"","PubModel":"","JCR":"Q3","JCRName":"INTEGRATIVE & COMPLEMENTARY MEDICINE","Score":null,"Total":0}
引用次数: 0

摘要

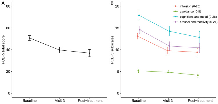
目的:创伤后应激障碍(PTSD)是一种普遍存在的心理健康问题,利用感官刺激处理创伤记忆的技术受到人们的关注。情绪自由技术(EFT)是一种心理疗法,它将敲打穴位与接触认知重构相结合。本试验研究旨在通过回答以下研究问题,评估 EFT 作为创伤后应激障碍治疗方法的可行性 1) 创伤后应激障碍患者对 EFT 治疗方案的依从性和完成率如何?辍学率是否合理?2)EFT疗法治疗创伤后应激障碍的效果大小是否足以证明未来试验的合理性?招募了30名被诊断为创伤后应激障碍的参与者。他们每周接受一次 EFT 训练,为期五周,在训练过程中,他们在轻敲手侧 SI3 穴位的同时,重复一句承认问题并接纳自己的话。干预前后使用 DSM-5 创伤后应激障碍核对表(PCL-5)对创伤后应激障碍症状进行评估:30名创伤后应激障碍患者(平均年龄为34.1 ± 9.1岁,80%为女性)中,96.7%的患者对EFT疗程的依从性超过80%,86.7%的患者完成了整个研究过程。干预后,PCL-5总分的平均值显著下降,且效果显著(与基线相比的变化为-14.33 [95% CI -19.79, -8.86],P < 0.0001,d = 1.06):研究表明,EFT 是治疗创伤后应激障碍的可行方法,疗程依从性高,辍学率低。本研究中观察到的效应大小证明,未来有必要进行更大规模的试验,以进一步研究 EFT 作为创伤后应激障碍治疗方法的可行性。然而,缺乏对照组和使用创伤后应激障碍症状自评问卷是本研究的局限性。本试验研究的结果可用于规划未来的试验。
本文章由计算机程序翻译,如有差异,请以英文原文为准。

Feasibility of Emotional Freedom Techniques in Patients with Posttraumatic Stress Disorder: a pilot study.

Feasibility of Emotional Freedom Techniques in Patients with Posttraumatic Stress Disorder: a pilot study.

Feasibility of Emotional Freedom Techniques in Patients with Posttraumatic Stress Disorder: a pilot study.

Objectives: Posttraumatic stress disorder (PTSD) is a prevalent mental health condition, and techniques using sensory stimulation in processing traumatic memories have gained attention. The Emotional Freedom Techniques (EFT) is a psychotherapy that combines tapping on acupoints with exposure to cognitive reframing. This pilot study aimed to assess the feasibility of EFT as a treatment for PTSD by answering the following research questions 1) What is the compliance and completion rate of patients with PTSD with regard to EFT protocol? Is the dropout rate reasonable? 2) Is the effect size of EFT protocol for PTSD sufficient to justify a future trial?

Methods: Thirty participants diagnosed with PTSD were recruited. They received weekly EFT sessions for five weeks, in which they repeated a statement acknowledging the problem and accepting themselves while tapping the SI3 acupoint on the side of their hand. PTSD symptoms were evaluated using the PTSD Checklist for DSM-5 (PCL-5) before and after the intervention.

Results: Of the 30 PTSD patients (mean age 34.1 ± 9.1, 80% female), 96.7% showed over 80% compliance to the EFT sessions, and 86.7% completed the entire study process. The mean PCL-5 total score decreased significantly after the intervention, with a large effect size (change from baseline -14.33 [95% CI -19.79, -8.86], p < 0.0001, d = 1.06).

Conclusion: The study suggests that EFT is a feasible treatment for PTSD, with high session compliance and low dropout rates. The effect size observed in this study supports the need for a larger trial in the future to further investigate EFT as a treatment for PTSD. However, the lack of a control group and the use of a self-rated questionnaire for PTSD symptoms are limitations of this study. The findings of this pilot study can be used to plan a future trial.

求助全文
通过发布文献求助,成功后即可免费获取论文全文。 去求助
来源期刊
Journal of Pharmacopuncture
Journal of Pharmacopuncture INTEGRATIVE & COMPLEMENTARY MEDICINE-
CiteScore
2.10
自引率
7.10%
发文量
42
审稿时长
10 weeks
期刊介绍: The Journal of Pharmacopuncture covers a wide range of basic and clinical science research relevant to all aspects of the biotechnology of integrated approaches using both pharmacology and acupuncture therapeutics, including research involving pharmacology, acupuncture studies and pharmacopuncture studies. The subjects are mainly divided into three categories: pharmacology (applied phytomedicine, plant sciences, pharmacology, toxicology, medicinal plants, traditional medicines, herbal medicine, Sasang constitutional medicine, herbal formulae, foods, agricultural technologies, naturopathy, etc.), acupuncture (acupressure, electroacupuncture, laser acupuncture, moxibustion, cupping, etc.), and pharmacopuncture (aqua-acupuncture, meridian pharmacopuncture, eight-principles pharmacopuncture, animal-based pharmacopuncture, mountain ginseng pharmacopuncture, bee venom therapy, needle embedding therapy, implant therapy, etc.). Other categories include chuna treatment, veterinary acupuncture and related animal studies, alternative medicines for treating cancer and cancer-related symptoms, etc. Broader topical coverage on the effects of acupuncture, the medical plants used in traditional and alternative medicine, pharmacological action and other related modalities, such as anthroposophy, homeopathy, ayurveda, bioelectromagnetic therapy, chiropractic, neural therapy and meditation, can be considered to be within the journal’s scope if based on acupoints and meridians. Submissions of original articles, review articles, systematic reviews, case reports, brief reports, opinions, commentaries, medical lectures, letters to the editor, photo-essays, technical notes, and book reviews are encouraged. Providing free access to the full text of all current and archived articles on its website (www.journal.ac), also searchable through a Google Scholar search.
×
引用
GB/T 7714-2015
复制
MLA
复制
APA
复制
导出至
BibTeX EndNote RefMan NoteFirst NoteExpress
×
提示
您的信息不完整,为了账户安全,请先补充。
现在去补充
×
提示
您因"违规操作"
具体请查看互助需知
我知道了
×
提示
确定
请完成安全验证×
copy
已复制链接
快去分享给好友吧!
我知道了
右上角分享
点击右上角分享
0
联系我们:info@booksci.cn Book学术提供免费学术资源搜索服务,方便国内外学者检索中英文文献。致力于提供最便捷和优质的服务体验。 Copyright © 2023 布克学术 All rights reserved.
京ICP备2023020795号-1
ghs 京公网安备 11010802042870号
Book学术文献互助
Book学术文献互助群
群 号:604180095
Book学术官方微信