患有阻塞性睡眠呼吸暂停的肥胖者的膳食炎症指数:一项描述性研究

IF 1.8 Q4 CLINICAL NEUROLOGY
Sleep Science Pub Date : 2024-02-29 eCollection Date: 2024-03-01 DOI:10.1055/s-0043-1777812
Bianca Aparecida de Sousa, Beatriz Martins Vicente, Amália Almeida Bastos, Sandra Maria Lima Ribeiro, Rita de Cássia de Aquino, Marcus Vinícius Dos Santos Quaresma, Sergio Tufik, Marco Túlio De-Mello, Camila Maria de Melo
{"title":"患有阻塞性睡眠呼吸暂停的肥胖者的膳食炎症指数:一项描述性研究","authors":"Bianca Aparecida de Sousa, Beatriz Martins Vicente, Amália Almeida Bastos, Sandra Maria Lima Ribeiro, Rita de Cássia de Aquino, Marcus Vinícius Dos Santos Quaresma, Sergio Tufik, Marco Túlio De-Mello, Camila Maria de Melo","doi":"10.1055/s-0043-1777812","DOIUrl":null,"url":null,"abstract":"<p><p>The objective of the present study was to describe the dietary inflammatory profile and its correlations with sleep parameters of obese individuals with obstructive sleep apnea (OSA). Forty individuals underwent nocturnal polysomnography, anthropometric measurements, body composition by plethysmography, assessment of food consumption by three-day food records, and blood collection for the lipid, glycemic and hormonal profile. Food consumption data were evaluated semiquantitatively, quantitalively assessment, and calculation of the dietary inflammatory index (DII) was perfomed. The results demonstrated a predominantly proinflammatory dietary profile. The participants showed a low intake of fruit and vegetables. Additionally, a low consumption of fiber, magnesium, vitamin D, and vitamin E was observed, although there was an adequate distribution of macronutrients. In conclusion, although the inflammatory profile did not correlate with OSA, the study showed a directly proportional relationship between adequate dietary patterns and better sleep quality.</p>","PeriodicalId":21848,"journal":{"name":"Sleep Science","volume":"17 1","pages":"e99-e105"},"PeriodicalIF":1.8000,"publicationDate":"2024-02-29","publicationTypes":"Journal Article","fieldsOfStudy":null,"isOpenAccess":false,"openAccessPdf":"https://www.ncbi.nlm.nih.gov/pmc/articles/PMC10965290/pdf/","citationCount":"0","resultStr":"{\"title\":\"Dietary Inflammatory Index of Obese Individuals with Obstructive Sleep Apnea: A Descriptive Study.\",\"authors\":\"Bianca Aparecida de Sousa, Beatriz Martins Vicente, Amália Almeida Bastos, Sandra Maria Lima Ribeiro, Rita de Cássia de Aquino, Marcus Vinícius Dos Santos Quaresma, Sergio Tufik, Marco Túlio De-Mello, Camila Maria de Melo\",\"doi\":\"10.1055/s-0043-1777812\",\"DOIUrl\":null,\"url\":null,\"abstract\":\"<p><p>The objective of the present study was to describe the dietary inflammatory profile and its correlations with sleep parameters of obese individuals with obstructive sleep apnea (OSA). Forty individuals underwent nocturnal polysomnography, anthropometric measurements, body composition by plethysmography, assessment of food consumption by three-day food records, and blood collection for the lipid, glycemic and hormonal profile. Food consumption data were evaluated semiquantitatively, quantitalively assessment, and calculation of the dietary inflammatory index (DII) was perfomed. The results demonstrated a predominantly proinflammatory dietary profile. The participants showed a low intake of fruit and vegetables. Additionally, a low consumption of fiber, magnesium, vitamin D, and vitamin E was observed, although there was an adequate distribution of macronutrients. In conclusion, although the inflammatory profile did not correlate with OSA, the study showed a directly proportional relationship between adequate dietary patterns and better sleep quality.</p>\",\"PeriodicalId\":21848,\"journal\":{\"name\":\"Sleep Science\",\"volume\":\"17 1\",\"pages\":\"e99-e105\"},\"PeriodicalIF\":1.8000,\"publicationDate\":\"2024-02-29\",\"publicationTypes\":\"Journal Article\",\"fieldsOfStudy\":null,\"isOpenAccess\":false,\"openAccessPdf\":\"https://www.ncbi.nlm.nih.gov/pmc/articles/PMC10965290/pdf/\",\"citationCount\":\"0\",\"resultStr\":null,\"platform\":\"Semanticscholar\",\"paperid\":null,\"PeriodicalName\":\"Sleep Science\",\"FirstCategoryId\":\"1085\",\"ListUrlMain\":\"https://doi.org/10.1055/s-0043-1777812\",\"RegionNum\":0,\"RegionCategory\":null,\"ArticlePicture\":[],\"TitleCN\":null,\"AbstractTextCN\":null,\"PMCID\":null,\"EPubDate\":\"2024/3/1 0:00:00\",\"PubModel\":\"eCollection\",\"JCR\":\"Q4\",\"JCRName\":\"CLINICAL NEUROLOGY\",\"Score\":null,\"Total\":0}","platform":"Semanticscholar","paperid":null,"PeriodicalName":"Sleep Science","FirstCategoryId":"1085","ListUrlMain":"https://doi.org/10.1055/s-0043-1777812","RegionNum":0,"RegionCategory":null,"ArticlePicture":[],"TitleCN":null,"AbstractTextCN":null,"PMCID":null,"EPubDate":"2024/3/1 0:00:00","PubModel":"eCollection","JCR":"Q4","JCRName":"CLINICAL NEUROLOGY","Score":null,"Total":0}
引用次数: 0

摘要

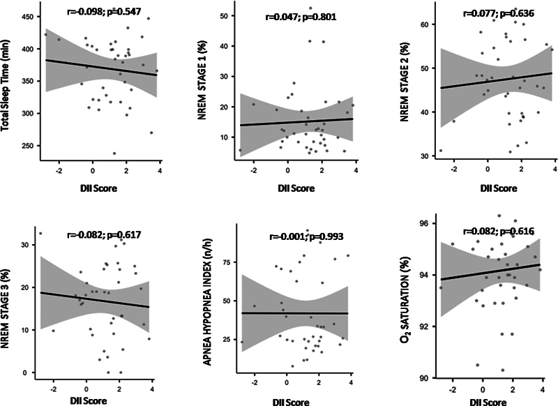
本研究旨在描述患有阻塞性睡眠呼吸暂停(OSA)的肥胖患者的饮食炎症特征及其与睡眠参数的相关性。研究人员对 40 名患者进行了夜间多导睡眠图检查、人体测量、通过胸透测量身体成分、通过三天食物记录评估食物消耗量,以及采血检测血脂、血糖和激素概况。对食物消耗数据进行了半定量评估和定量评估,并计算了膳食炎症指数(DII)。结果表明,膳食中主要存在促炎成分。参与者的水果和蔬菜摄入量较低。此外,还观察到纤维、镁、维生素 D 和维生素 E 的摄入量较低,尽管常量营养素的分布充足。总之,虽然炎症特征与 OSA 无关,但研究表明,充足的饮食模式与更好的睡眠质量之间存在正比关系。
本文章由计算机程序翻译,如有差异,请以英文原文为准。

Dietary Inflammatory Index of Obese Individuals with Obstructive Sleep Apnea: A Descriptive Study.

Dietary Inflammatory Index of Obese Individuals with Obstructive Sleep Apnea: A Descriptive Study.

The objective of the present study was to describe the dietary inflammatory profile and its correlations with sleep parameters of obese individuals with obstructive sleep apnea (OSA). Forty individuals underwent nocturnal polysomnography, anthropometric measurements, body composition by plethysmography, assessment of food consumption by three-day food records, and blood collection for the lipid, glycemic and hormonal profile. Food consumption data were evaluated semiquantitatively, quantitalively assessment, and calculation of the dietary inflammatory index (DII) was perfomed. The results demonstrated a predominantly proinflammatory dietary profile. The participants showed a low intake of fruit and vegetables. Additionally, a low consumption of fiber, magnesium, vitamin D, and vitamin E was observed, although there was an adequate distribution of macronutrients. In conclusion, although the inflammatory profile did not correlate with OSA, the study showed a directly proportional relationship between adequate dietary patterns and better sleep quality.

求助全文
通过发布文献求助,成功后即可免费获取论文全文。 去求助
来源期刊
Sleep Science
Sleep Science CLINICAL NEUROLOGY-
CiteScore
2.50
自引率
12.50%
发文量
124
审稿时长
10 weeks
×
引用
GB/T 7714-2015
复制
MLA
复制
APA
复制
导出至
BibTeX EndNote RefMan NoteFirst NoteExpress
×
提示
您的信息不完整,为了账户安全,请先补充。
现在去补充
×
提示
您因"违规操作"
具体请查看互助需知
我知道了
×
提示
确定
请完成安全验证×
copy
已复制链接
快去分享给好友吧!
我知道了
右上角分享
点击右上角分享
0
联系我们:info@booksci.cn Book学术提供免费学术资源搜索服务,方便国内外学者检索中英文文献。致力于提供最便捷和优质的服务体验。 Copyright © 2023 布克学术 All rights reserved.
京ICP备2023020795号-1
ghs 京公网安备 11010802042870号
Book学术文献互助
Book学术文献互助群
群 号:604180095
Book学术官方微信