重新安置国是否会影响难民在劳动力市场被边缘化的风险?瑞典和挪威的一项队列研究。

IF 4.3 2区 医学 Q1 PUBLIC, ENVIRONMENTAL & OCCUPATIONAL HEALTH
Ridwanul Amin, Ellenor Mittendorfer-Rutz, Karina Undem, Ingrid Sivesind Mehlum, Rachel Louise Hasting
{"title":"重新安置国是否会影响难民在劳动力市场被边缘化的风险?瑞典和挪威的一项队列研究。","authors":"Ridwanul Amin, Ellenor Mittendorfer-Rutz, Karina Undem, Ingrid Sivesind Mehlum, Rachel Louise Hasting","doi":"10.5271/sjweh.4154","DOIUrl":null,"url":null,"abstract":"<p><strong>Objectives: </strong>This study aimed to compare the risk of labor market marginalization among refugees across different host countries of resettlement and examine the moderating role of birth country and length of stay on these associations.</p><p><strong>Methods: </strong>Cohorts of refugees and native-born individuals aged 19-60 in Sweden (N=3 605 949, 3.5% refugees) and Norway (N=1 784 861, 1.7% refugees) were followed during 2010-2016. Rates (per 1000 person-years) of long-term unemployment, long-term sickness absence, and disability pension were estimated for refugees and the host populations. Cox regression models estimated crude and adjusted (for sex, age, educational level, and civil status) hazard ratio (HR<sub>adj</sub>) for refugees compared to their respective host population, with 95% confidence intervals (CI). Analyses were also stratified by birth country and length of stay.</p><p><strong>Results: </strong>Refugees in Norway and Sweden had a higher incidence of labor market marginalization compared to their host population. Refugees in Sweden had a comparatively lower relative risk of long-term unemployment but higher risk of disability pension (HR<sub>adj</sub> 3.44, 95% CI, 3.38-3.50 and HR<sub>adj</sub> 2.45, 2.35-2.56, respectively) than refugees in Norway (HR<sub>adj</sub> 3.70, 3.58-3.82 and HR<sub>adj</sub> 1.57, 1.49-1.66, respectively). These relative risks varied when stratifying by birth country. A shorter length of stay was associated with a higher risk of long-term unemployment and a lower risk of disability pension, with a stronger gradient in Sweden than in Norway.</p><p><strong>Conclusions: </strong>The relative risk of labor market marginalization varied by the refugees' birth country but followed similar trends in Sweden and Norway. Although speculative, these findings may hint at non-structural factors related to the refugee experience playing a more important role than host country structural factors for the risk of labor market marginalization among refugees. Future research, including host countries with more variability in structural factors, is required to further investigate these associations. The higher risk of long-term unemployment among refugees with shorter length of stay indicates a need for more efficient labor market integration policies for newly-arrived refugees.</p>","PeriodicalId":21528,"journal":{"name":"Scandinavian journal of work, environment & health","volume":" ","pages":"279-289"},"PeriodicalIF":4.3000,"publicationDate":"2024-05-01","publicationTypes":"Journal Article","fieldsOfStudy":null,"isOpenAccess":false,"openAccessPdf":"https://www.ncbi.nlm.nih.gov/pmc/articles/PMC11129853/pdf/","citationCount":"0","resultStr":"{\"title\":\"Does country of resettlement influence the risk of labor market marginalization among refugees? A cohort study in Sweden and Norway.\",\"authors\":\"Ridwanul Amin, Ellenor Mittendorfer-Rutz, Karina Undem, Ingrid Sivesind Mehlum, Rachel Louise Hasting\",\"doi\":\"10.5271/sjweh.4154\",\"DOIUrl\":null,\"url\":null,\"abstract\":\"<p><strong>Objectives: </strong>This study aimed to compare the risk of labor market marginalization among refugees across different host countries of resettlement and examine the moderating role of birth country and length of stay on these associations.</p><p><strong>Methods: </strong>Cohorts of refugees and native-born individuals aged 19-60 in Sweden (N=3 605 949, 3.5% refugees) and Norway (N=1 784 861, 1.7% refugees) were followed during 2010-2016. Rates (per 1000 person-years) of long-term unemployment, long-term sickness absence, and disability pension were estimated for refugees and the host populations. Cox regression models estimated crude and adjusted (for sex, age, educational level, and civil status) hazard ratio (HR<sub>adj</sub>) for refugees compared to their respective host population, with 95% confidence intervals (CI). Analyses were also stratified by birth country and length of stay.</p><p><strong>Results: </strong>Refugees in Norway and Sweden had a higher incidence of labor market marginalization compared to their host population. Refugees in Sweden had a comparatively lower relative risk of long-term unemployment but higher risk of disability pension (HR<sub>adj</sub> 3.44, 95% CI, 3.38-3.50 and HR<sub>adj</sub> 2.45, 2.35-2.56, respectively) than refugees in Norway (HR<sub>adj</sub> 3.70, 3.58-3.82 and HR<sub>adj</sub> 1.57, 1.49-1.66, respectively). These relative risks varied when stratifying by birth country. A shorter length of stay was associated with a higher risk of long-term unemployment and a lower risk of disability pension, with a stronger gradient in Sweden than in Norway.</p><p><strong>Conclusions: </strong>The relative risk of labor market marginalization varied by the refugees' birth country but followed similar trends in Sweden and Norway. Although speculative, these findings may hint at non-structural factors related to the refugee experience playing a more important role than host country structural factors for the risk of labor market marginalization among refugees. Future research, including host countries with more variability in structural factors, is required to further investigate these associations. The higher risk of long-term unemployment among refugees with shorter length of stay indicates a need for more efficient labor market integration policies for newly-arrived refugees.</p>\",\"PeriodicalId\":21528,\"journal\":{\"name\":\"Scandinavian journal of work, environment & health\",\"volume\":\" \",\"pages\":\"279-289\"},\"PeriodicalIF\":4.3000,\"publicationDate\":\"2024-05-01\",\"publicationTypes\":\"Journal Article\",\"fieldsOfStudy\":null,\"isOpenAccess\":false,\"openAccessPdf\":\"https://www.ncbi.nlm.nih.gov/pmc/articles/PMC11129853/pdf/\",\"citationCount\":\"0\",\"resultStr\":null,\"platform\":\"Semanticscholar\",\"paperid\":null,\"PeriodicalName\":\"Scandinavian journal of work, environment & health\",\"FirstCategoryId\":\"3\",\"ListUrlMain\":\"https://doi.org/10.5271/sjweh.4154\",\"RegionNum\":2,\"RegionCategory\":\"医学\",\"ArticlePicture\":[],\"TitleCN\":null,\"AbstractTextCN\":null,\"PMCID\":null,\"EPubDate\":\"2024/3/25 0:00:00\",\"PubModel\":\"Epub\",\"JCR\":\"Q1\",\"JCRName\":\"PUBLIC, ENVIRONMENTAL & OCCUPATIONAL HEALTH\",\"Score\":null,\"Total\":0}","platform":"Semanticscholar","paperid":null,"PeriodicalName":"Scandinavian journal of work, environment & health","FirstCategoryId":"3","ListUrlMain":"https://doi.org/10.5271/sjweh.4154","RegionNum":2,"RegionCategory":"医学","ArticlePicture":[],"TitleCN":null,"AbstractTextCN":null,"PMCID":null,"EPubDate":"2024/3/25 0:00:00","PubModel":"Epub","JCR":"Q1","JCRName":"PUBLIC, ENVIRONMENTAL & OCCUPATIONAL HEALTH","Score":null,"Total":0}
引用次数: 0

摘要

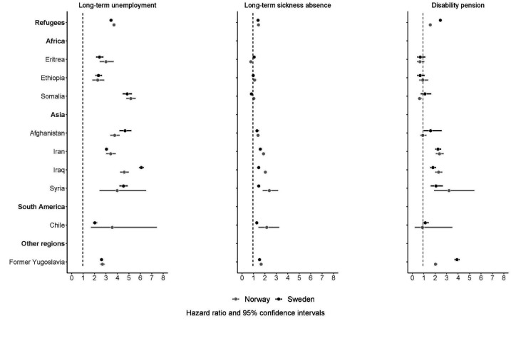
研究目的本研究旨在比较不同收容国的难民在劳动力市场边缘化的风险,并研究出生国和居留时间对这些关联的调节作用:2010-2016年期间,对瑞典(样本数=3 605 949,难民占3.5%)和挪威(样本数=1 784 861,难民占1.7%)19-60岁的难民和本地出生者进行了群体跟踪调查。对难民和东道国人口的长期失业率、长期病假率和残疾抚恤金率(每千人年)进行了估算。Cox 回归模型估算了难民与各自收容人口的粗略和调整(性别、年龄、教育水平和公民身份)危险比 (HRadj),以及 95% 的置信区间 (CI)。分析还根据出生国和居留时间进行了分层:结果:与东道国人口相比,挪威和瑞典的难民在劳动力市场边缘化的发生率更高。与挪威难民(HRadj分别为3.70、3.58-3.82和HRadj分别为1.57、1.49-1.66)相比,瑞典难民的长期失业相对风险较低,但领取残疾抚恤金的风险较高(HRadj分别为3.44,95% CI,3.38-3.50和HRadj分别为2.45、2.35-2.56)。根据出生国进行分层后,这些相对风险有所不同。滞留时间越短,长期失业的风险越高,领取残疾抚恤金的风险越低,瑞典的梯度比挪威更大:劳动力市场边缘化的相对风险因难民的出生国而异,但在瑞典和挪威的趋势相似。尽管是推测,但这些发现可能暗示,在难民劳动力市场边缘化风险方面,与难民经历相关的非结构性因素比东道国的结构性因素发挥着更重要的作用。未来的研究,包括结构性因素变化更多的东道国,需要进一步调查这些关联。滞留时间较短的难民长期失业的风险较高,这表明需要为新抵达的难民制定更有效的劳动力市场融合政策。
本文章由计算机程序翻译,如有差异,请以英文原文为准。

Does country of resettlement influence the risk of labor market marginalization among refugees? A cohort study in Sweden and Norway.

Does country of resettlement influence the risk of labor market marginalization among refugees? A cohort study in Sweden and Norway.

Does country of resettlement influence the risk of labor market marginalization among refugees? A cohort study in Sweden and Norway.

Objectives: This study aimed to compare the risk of labor market marginalization among refugees across different host countries of resettlement and examine the moderating role of birth country and length of stay on these associations.

Methods: Cohorts of refugees and native-born individuals aged 19-60 in Sweden (N=3 605 949, 3.5% refugees) and Norway (N=1 784 861, 1.7% refugees) were followed during 2010-2016. Rates (per 1000 person-years) of long-term unemployment, long-term sickness absence, and disability pension were estimated for refugees and the host populations. Cox regression models estimated crude and adjusted (for sex, age, educational level, and civil status) hazard ratio (HRadj) for refugees compared to their respective host population, with 95% confidence intervals (CI). Analyses were also stratified by birth country and length of stay.

Results: Refugees in Norway and Sweden had a higher incidence of labor market marginalization compared to their host population. Refugees in Sweden had a comparatively lower relative risk of long-term unemployment but higher risk of disability pension (HRadj 3.44, 95% CI, 3.38-3.50 and HRadj 2.45, 2.35-2.56, respectively) than refugees in Norway (HRadj 3.70, 3.58-3.82 and HRadj 1.57, 1.49-1.66, respectively). These relative risks varied when stratifying by birth country. A shorter length of stay was associated with a higher risk of long-term unemployment and a lower risk of disability pension, with a stronger gradient in Sweden than in Norway.

Conclusions: The relative risk of labor market marginalization varied by the refugees' birth country but followed similar trends in Sweden and Norway. Although speculative, these findings may hint at non-structural factors related to the refugee experience playing a more important role than host country structural factors for the risk of labor market marginalization among refugees. Future research, including host countries with more variability in structural factors, is required to further investigate these associations. The higher risk of long-term unemployment among refugees with shorter length of stay indicates a need for more efficient labor market integration policies for newly-arrived refugees.

求助全文
通过发布文献求助,成功后即可免费获取论文全文。 去求助
来源期刊
Scandinavian journal of work, environment & health
Scandinavian journal of work, environment & health 医学-公共卫生、环境卫生与职业卫生
CiteScore
8.20
自引率
9.50%
发文量
65
审稿时长
>12 weeks
期刊介绍: The aim of the Journal is to promote research in the fields of occupational and environmental health and safety and to increase knowledge through the publication of original research articles, systematic reviews, and other information of high interest. Areas of interest include occupational and environmental epidemiology, occupational and environmental medicine, psychosocial factors at work, physical work load, physical activity work-related mental and musculoskeletal problems, aging, work ability and return to work, working hours and health, occupational hygiene and toxicology, work safety and injury epidemiology as well as occupational health services. In addition to observational studies, quasi-experimental and intervention studies are welcome as well as methodological papers, occupational cohort profiles, and studies associated with economic evaluation. The Journal also publishes short communications, case reports, commentaries, discussion papers, clinical questions, consensus reports, meeting reports, other reports, book reviews, news, and announcements (jobs, courses, events etc).
×
引用
GB/T 7714-2015
复制
MLA
复制
APA
复制
导出至
BibTeX EndNote RefMan NoteFirst NoteExpress
×
提示
您的信息不完整,为了账户安全,请先补充。
现在去补充
×
提示
您因"违规操作"
具体请查看互助需知
我知道了
×
提示
确定
请完成安全验证×
copy
已复制链接
快去分享给好友吧!
我知道了
右上角分享
点击右上角分享
0
联系我们:info@booksci.cn Book学术提供免费学术资源搜索服务,方便国内外学者检索中英文文献。致力于提供最便捷和优质的服务体验。 Copyright © 2023 布克学术 All rights reserved.
京ICP备2023020795号-1
ghs 京公网安备 11010802042870号
Book学术文献互助
Book学术文献互助群
群 号:604180095
Book学术官方微信