肾移植中使用长效缓释他克莫司的长期疗效:回顾性真实世界数据分析。

IF 1.4 4区 医学 Q3 SURGERY
Wilfried Gwinner, Swapneel Anaokar, Martin Blogg, Birgit Hermann, Carola Del Pilar Repetur, Mario Schiffer
{"title":"肾移植中使用长效缓释他克莫司的长期疗效:回顾性真实世界数据分析。","authors":"Wilfried Gwinner, Swapneel Anaokar, Martin Blogg, Birgit Hermann, Carola Del Pilar Repetur, Mario Schiffer","doi":"10.12659/AOT.942167","DOIUrl":null,"url":null,"abstract":"<p><p>BACKGROUND Long-term real-world outcomes data for kidney transplant recipients (KTRs) converting from immediate-release tacrolimus (IRT) to prolonged-release tacrolimus (PRT) are limited. MATERIAL AND METHODS A retrospective, non-interventional review of adult KTRs treated with PRT for ≥1 month was conducted in Germany. Data were extracted from time of transplant (2008-2014) to 2018. Primary composite endpoints (graft loss, biopsy-confirmed acute rejection, graft dysfunction) and secondary endpoints (all-cause mortality, kidney function course, and tacrolimus dose/trough levels) were analyzed for sub-cohorts: de novo PRT, early conversion from IRT (within 6 months post-transplant), and late conversion (7 months to 3 years). RESULTS Analysis included 163 patients (101 de novo, 12 early converters, and 50 late converters). The overall Kaplan-Meier estimate of freedom from efficacy failure through 5 years was 0.537, (95% confidence interval (CI) 0.455-0.612) (de novo: 0.512 [0.407-0.608]; early converters: 0.500 [0.208-0.736]; late converters: 0.594 [0.443-0.717]). The overall survival rate was 0.925 (95% CI 0.872-0.957) (de novo: 0.900 [0.823-0.945]; early converters: 0.917 [0.539-0.988]; late converters: 0.977 [0.846-0.997]). During follow-up, there was a gradual reduction in tacrolimus dose and trough levels; kidney function remained stable in all cohorts. Multivariable analysis found re-transplantation, organ donor quality, best estimated glomerular filtration rate 8-12 weeks after transplant, and treatment center (between-center differences in age, sex, donor status/quality) were significantly associated with efficacy failure. CONCLUSIONS There was no difference in long-term survival profiles between KTRs who received PRT de novo vs those who converted from IRT, with 5-year survival remaining high in both groups.</p>","PeriodicalId":7935,"journal":{"name":"Annals of Transplantation","volume":"29 ","pages":"e942167"},"PeriodicalIF":1.4000,"publicationDate":"2024-03-19","publicationTypes":"Journal Article","fieldsOfStudy":null,"isOpenAccess":false,"openAccessPdf":"https://www.ncbi.nlm.nih.gov/pmc/articles/PMC10960500/pdf/","citationCount":"0","resultStr":"{\"title\":\"Long-Term Outcomes with Prolonged-Release Tacrolimus in Kidney Transplantation: A Retrospective Real-World Data Analysis.\",\"authors\":\"Wilfried Gwinner, Swapneel Anaokar, Martin Blogg, Birgit Hermann, Carola Del Pilar Repetur, Mario Schiffer\",\"doi\":\"10.12659/AOT.942167\",\"DOIUrl\":null,\"url\":null,\"abstract\":\"<p><p>BACKGROUND Long-term real-world outcomes data for kidney transplant recipients (KTRs) converting from immediate-release tacrolimus (IRT) to prolonged-release tacrolimus (PRT) are limited. MATERIAL AND METHODS A retrospective, non-interventional review of adult KTRs treated with PRT for ≥1 month was conducted in Germany. Data were extracted from time of transplant (2008-2014) to 2018. Primary composite endpoints (graft loss, biopsy-confirmed acute rejection, graft dysfunction) and secondary endpoints (all-cause mortality, kidney function course, and tacrolimus dose/trough levels) were analyzed for sub-cohorts: de novo PRT, early conversion from IRT (within 6 months post-transplant), and late conversion (7 months to 3 years). RESULTS Analysis included 163 patients (101 de novo, 12 early converters, and 50 late converters). The overall Kaplan-Meier estimate of freedom from efficacy failure through 5 years was 0.537, (95% confidence interval (CI) 0.455-0.612) (de novo: 0.512 [0.407-0.608]; early converters: 0.500 [0.208-0.736]; late converters: 0.594 [0.443-0.717]). The overall survival rate was 0.925 (95% CI 0.872-0.957) (de novo: 0.900 [0.823-0.945]; early converters: 0.917 [0.539-0.988]; late converters: 0.977 [0.846-0.997]). During follow-up, there was a gradual reduction in tacrolimus dose and trough levels; kidney function remained stable in all cohorts. Multivariable analysis found re-transplantation, organ donor quality, best estimated glomerular filtration rate 8-12 weeks after transplant, and treatment center (between-center differences in age, sex, donor status/quality) were significantly associated with efficacy failure. CONCLUSIONS There was no difference in long-term survival profiles between KTRs who received PRT de novo vs those who converted from IRT, with 5-year survival remaining high in both groups.</p>\",\"PeriodicalId\":7935,\"journal\":{\"name\":\"Annals of Transplantation\",\"volume\":\"29 \",\"pages\":\"e942167\"},\"PeriodicalIF\":1.4000,\"publicationDate\":\"2024-03-19\",\"publicationTypes\":\"Journal Article\",\"fieldsOfStudy\":null,\"isOpenAccess\":false,\"openAccessPdf\":\"https://www.ncbi.nlm.nih.gov/pmc/articles/PMC10960500/pdf/\",\"citationCount\":\"0\",\"resultStr\":null,\"platform\":\"Semanticscholar\",\"paperid\":null,\"PeriodicalName\":\"Annals of Transplantation\",\"FirstCategoryId\":\"3\",\"ListUrlMain\":\"https://doi.org/10.12659/AOT.942167\",\"RegionNum\":4,\"RegionCategory\":\"医学\",\"ArticlePicture\":[],\"TitleCN\":null,\"AbstractTextCN\":null,\"PMCID\":null,\"EPubDate\":\"\",\"PubModel\":\"\",\"JCR\":\"Q3\",\"JCRName\":\"SURGERY\",\"Score\":null,\"Total\":0}","platform":"Semanticscholar","paperid":null,"PeriodicalName":"Annals of Transplantation","FirstCategoryId":"3","ListUrlMain":"https://doi.org/10.12659/AOT.942167","RegionNum":4,"RegionCategory":"医学","ArticlePicture":[],"TitleCN":null,"AbstractTextCN":null,"PMCID":null,"EPubDate":"","PubModel":"","JCR":"Q3","JCRName":"SURGERY","Score":null,"Total":0}
引用次数: 0

摘要

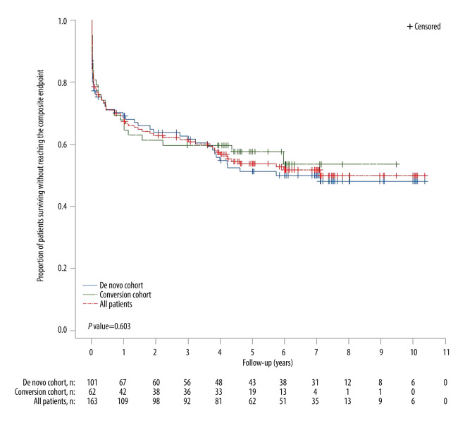
背景 肾移植受者(KTR)从速释他克莫司(IRT)转为长效他克莫司(PRT)的长期实际结果数据有限。材料与方法 在德国对接受 PRT 治疗≥1 个月的成年 KTR 进行了回顾性、非干预性审查。提取了从移植时间(2008-2014 年)到 2018 年的数据。分析了子队列的主要复合终点(移植物丢失、活检证实的急性排斥反应、移植物功能障碍)和次要终点(全因死亡率、肾功能病程和他克莫司剂量/量程水平):新PRT、从IRT早期转换(移植后6个月内)和晚期转换(7个月至3年)。结果 分析包括 163 名患者(101 名新发患者、12 名早期转换患者和 50 名晚期转换患者)。5年内免于疗效失败的总体卡普兰-梅耶估计值为0.537(95%置信区间(CI)为0.455-0.612)(新患者:0.512 [0.407-0.608];早期转化者:0.500 [0.208-0.208]):0.500 [0.208-0.736];晚期转换者:0.594 [0.443-0.717]).总生存率为 0.925(95% CI 0.872-0.957)(新发病例:0.900 [0.823-0.945];早期转化病例:0.917 [0.5%CI]):0.917[0.539-0.988];晚期转化者:0.977[0.838-0.988]:0.977 [0.846-0.997]).随访期间,他克莫司的剂量和谷值水平逐渐降低;所有组群的肾功能均保持稳定。多变量分析发现,再次移植、器官捐献者质量、移植后8-12周最佳估计肾小球滤过率和治疗中心(中心间的年龄、性别、捐献者状况/质量差异)与疗效失败显著相关。结论 从头接受 PRT 的 KTR 与从 IRT 转为 PRT 的 KTR 之间在长期存活率方面没有差异,两组患者的 5 年存活率都很高。
本文章由计算机程序翻译,如有差异,请以英文原文为准。

Long-Term Outcomes with Prolonged-Release Tacrolimus in Kidney Transplantation: A Retrospective Real-World Data Analysis.

Long-Term Outcomes with Prolonged-Release Tacrolimus in Kidney Transplantation: A Retrospective Real-World Data Analysis.

Long-Term Outcomes with Prolonged-Release Tacrolimus in Kidney Transplantation: A Retrospective Real-World Data Analysis.

Long-Term Outcomes with Prolonged-Release Tacrolimus in Kidney Transplantation: A Retrospective Real-World Data Analysis.

BACKGROUND Long-term real-world outcomes data for kidney transplant recipients (KTRs) converting from immediate-release tacrolimus (IRT) to prolonged-release tacrolimus (PRT) are limited. MATERIAL AND METHODS A retrospective, non-interventional review of adult KTRs treated with PRT for ≥1 month was conducted in Germany. Data were extracted from time of transplant (2008-2014) to 2018. Primary composite endpoints (graft loss, biopsy-confirmed acute rejection, graft dysfunction) and secondary endpoints (all-cause mortality, kidney function course, and tacrolimus dose/trough levels) were analyzed for sub-cohorts: de novo PRT, early conversion from IRT (within 6 months post-transplant), and late conversion (7 months to 3 years). RESULTS Analysis included 163 patients (101 de novo, 12 early converters, and 50 late converters). The overall Kaplan-Meier estimate of freedom from efficacy failure through 5 years was 0.537, (95% confidence interval (CI) 0.455-0.612) (de novo: 0.512 [0.407-0.608]; early converters: 0.500 [0.208-0.736]; late converters: 0.594 [0.443-0.717]). The overall survival rate was 0.925 (95% CI 0.872-0.957) (de novo: 0.900 [0.823-0.945]; early converters: 0.917 [0.539-0.988]; late converters: 0.977 [0.846-0.997]). During follow-up, there was a gradual reduction in tacrolimus dose and trough levels; kidney function remained stable in all cohorts. Multivariable analysis found re-transplantation, organ donor quality, best estimated glomerular filtration rate 8-12 weeks after transplant, and treatment center (between-center differences in age, sex, donor status/quality) were significantly associated with efficacy failure. CONCLUSIONS There was no difference in long-term survival profiles between KTRs who received PRT de novo vs those who converted from IRT, with 5-year survival remaining high in both groups.

求助全文
通过发布文献求助,成功后即可免费获取论文全文。 去求助
来源期刊
CiteScore
2.50
自引率
0.00%
发文量
79
审稿时长
>12 weeks
期刊介绍: Annals of Transplantation is one of the fast-developing journals open to all scientists and fields of transplant medicine and related research. The journal is published quarterly and provides extensive coverage of the most important advances in transplantation. Using an electronic on-line submission and peer review tracking system, Annals of Transplantation is committed to rapid review and publication. The average time to first decision is around 3-4 weeks. Time to publication of accepted manuscripts continues to be shortened, with the Editorial team committed to a goal of 3 months from acceptance to publication. Expert reseachers and clinicians from around the world contribute original Articles, Review Papers, Case Reports and Special Reports in every pertinent specialty, providing a lot of arguments for discussion of exciting developments and controversies in the field.
×
引用
GB/T 7714-2015
复制
MLA
复制
APA
复制
导出至
BibTeX EndNote RefMan NoteFirst NoteExpress
×
提示
您的信息不完整,为了账户安全,请先补充。
现在去补充
×
提示
您因"违规操作"
具体请查看互助需知
我知道了
×
提示
确定
请完成安全验证×
copy
已复制链接
快去分享给好友吧!
我知道了
右上角分享
点击右上角分享
0
联系我们:info@booksci.cn Book学术提供免费学术资源搜索服务,方便国内外学者检索中英文文献。致力于提供最便捷和优质的服务体验。 Copyright © 2023 布克学术 All rights reserved.
京ICP备2023020795号-1
ghs 京公网安备 11010802042870号
Book学术文献互助
Book学术文献互助群
群 号:604180095
Book学术官方微信