评估胰腺α-淀粉酶作为一种新型生物标记物在犬急性胰腺炎患者中的临床实用性:一项试点研究。

IF 5.2 2区 农林科学 Q1 VETERINARY SCIENCES
Veterinary Quarterly Pub Date : 2024-12-01 Epub Date: 2024-03-18 DOI:10.1080/01652176.2024.2326007
Keon Kim, Hee-Hong Kim, Jae-Beom Joo, Ock-Kyu Kim, Sin-Wook Park, Guk-Hyun Suh, Woong-Bin Ro, Chang-Min Lee
{"title":"评估胰腺α-淀粉酶作为一种新型生物标记物在犬急性胰腺炎患者中的临床实用性:一项试点研究。","authors":"Keon Kim, Hee-Hong Kim, Jae-Beom Joo, Ock-Kyu Kim, Sin-Wook Park, Guk-Hyun Suh, Woong-Bin Ro, Chang-Min Lee","doi":"10.1080/01652176.2024.2326007","DOIUrl":null,"url":null,"abstract":"<p><p>Pancreatic alpha amylase (P-AMY) is used as a biomarker of acute pancreatitis (AP) in human medicine. To our knowledge, there are no studies evaluating the usefulness of P-AMY in dogs with AP. In this study, we evaluated the diagnostic value of P-AMY, currently not verified in veterinary medicine. The AP group (<i>n</i> = 40) consisted of dogs with AP diagnosed using clinical signs and laboratory examinations, including abnormal canine pancreatic lipase (cPL) concentration, and compatible abdominal ultrasound examination at first presentation. Evaluation of the canine AP severity (CAPS) score was performed. The control group (<i>n</i> = 38) was composed of normal dogs without any abnormalities in clinical findings, blood exams or diagnostic imaging. The correlation of P-AMY with cPL was confirmed by Pearson's correlation analysis (<i>r</i> = 0.564, <i>p</i> < .001). The sensitivity and specificity for the most appropriate cut-off values of P-AMY were recorded similar to the values of DGGR. The dogs with AP and CAPS ≥11 had significantly higher serum P-AMY (<i>p</i> = .016) contrary to DGGR lipase and cPL. Furthermore, there was a significant difference in the median P-AMY dependent on the presence of systemic inflammatory response syndrome (<i>p</i> = .001). P-AMY showed similar level of diagnostic accuracy along with sensitivity and specificity compared to DGGR lipase. In addition, P-AMY showed a significant association with CAPS score, contrary to cPL and DGGR lipase. Along with other biomarkers associated with AP, P-AMY has the potential of usefulness as a supportive diagnostic and prognostic biomarker of AP in dogs.</p>","PeriodicalId":51207,"journal":{"name":"Veterinary Quarterly","volume":"44 1","pages":"1-7"},"PeriodicalIF":5.2000,"publicationDate":"2024-12-01","publicationTypes":"Journal Article","fieldsOfStudy":null,"isOpenAccess":false,"openAccessPdf":"https://www.ncbi.nlm.nih.gov/pmc/articles/PMC10949834/pdf/","citationCount":"0","resultStr":"{\"title\":\"Evaluation of the clinical usefulness of pancreatic alpha amylase as a novel biomarker in dogs with acute pancreatitis: a pilot study.\",\"authors\":\"Keon Kim, Hee-Hong Kim, Jae-Beom Joo, Ock-Kyu Kim, Sin-Wook Park, Guk-Hyun Suh, Woong-Bin Ro, Chang-Min Lee\",\"doi\":\"10.1080/01652176.2024.2326007\",\"DOIUrl\":null,\"url\":null,\"abstract\":\"<p><p>Pancreatic alpha amylase (P-AMY) is used as a biomarker of acute pancreatitis (AP) in human medicine. To our knowledge, there are no studies evaluating the usefulness of P-AMY in dogs with AP. In this study, we evaluated the diagnostic value of P-AMY, currently not verified in veterinary medicine. The AP group (<i>n</i> = 40) consisted of dogs with AP diagnosed using clinical signs and laboratory examinations, including abnormal canine pancreatic lipase (cPL) concentration, and compatible abdominal ultrasound examination at first presentation. Evaluation of the canine AP severity (CAPS) score was performed. The control group (<i>n</i> = 38) was composed of normal dogs without any abnormalities in clinical findings, blood exams or diagnostic imaging. The correlation of P-AMY with cPL was confirmed by Pearson's correlation analysis (<i>r</i> = 0.564, <i>p</i> < .001). The sensitivity and specificity for the most appropriate cut-off values of P-AMY were recorded similar to the values of DGGR. The dogs with AP and CAPS ≥11 had significantly higher serum P-AMY (<i>p</i> = .016) contrary to DGGR lipase and cPL. Furthermore, there was a significant difference in the median P-AMY dependent on the presence of systemic inflammatory response syndrome (<i>p</i> = .001). P-AMY showed similar level of diagnostic accuracy along with sensitivity and specificity compared to DGGR lipase. In addition, P-AMY showed a significant association with CAPS score, contrary to cPL and DGGR lipase. Along with other biomarkers associated with AP, P-AMY has the potential of usefulness as a supportive diagnostic and prognostic biomarker of AP in dogs.</p>\",\"PeriodicalId\":51207,\"journal\":{\"name\":\"Veterinary Quarterly\",\"volume\":\"44 1\",\"pages\":\"1-7\"},\"PeriodicalIF\":5.2000,\"publicationDate\":\"2024-12-01\",\"publicationTypes\":\"Journal Article\",\"fieldsOfStudy\":null,\"isOpenAccess\":false,\"openAccessPdf\":\"https://www.ncbi.nlm.nih.gov/pmc/articles/PMC10949834/pdf/\",\"citationCount\":\"0\",\"resultStr\":null,\"platform\":\"Semanticscholar\",\"paperid\":null,\"PeriodicalName\":\"Veterinary Quarterly\",\"FirstCategoryId\":\"97\",\"ListUrlMain\":\"https://doi.org/10.1080/01652176.2024.2326007\",\"RegionNum\":2,\"RegionCategory\":\"农林科学\",\"ArticlePicture\":[],\"TitleCN\":null,\"AbstractTextCN\":null,\"PMCID\":null,\"EPubDate\":\"2024/3/18 0:00:00\",\"PubModel\":\"Epub\",\"JCR\":\"Q1\",\"JCRName\":\"VETERINARY SCIENCES\",\"Score\":null,\"Total\":0}","platform":"Semanticscholar","paperid":null,"PeriodicalName":"Veterinary Quarterly","FirstCategoryId":"97","ListUrlMain":"https://doi.org/10.1080/01652176.2024.2326007","RegionNum":2,"RegionCategory":"农林科学","ArticlePicture":[],"TitleCN":null,"AbstractTextCN":null,"PMCID":null,"EPubDate":"2024/3/18 0:00:00","PubModel":"Epub","JCR":"Q1","JCRName":"VETERINARY SCIENCES","Score":null,"Total":0}
引用次数: 0

摘要

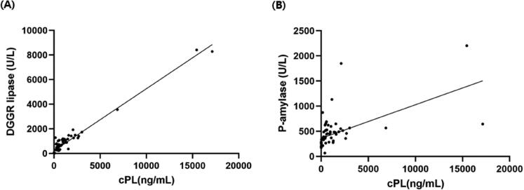
在人类医学中,胰腺α-淀粉酶(P-AMY)被用作急性胰腺炎(AP)的生物标志物。据我们所知,目前还没有研究评估 P-AMY 在犬急性胰腺炎患者中的作用。在这项研究中,我们评估了 P-AMY 的诊断价值,目前在兽医学中尚未得到验证。AP 组(n = 40)由首次发病时通过临床症状和实验室检查(包括犬胰脂肪酶(cPL)浓度异常)以及腹部超声波检查确诊为 AP 的犬组成。对犬 AP 严重程度(CAPS)进行了评估。对照组(n = 38)由临床表现、血液检查或诊断成像均无异常的正常犬组成。Pearson 相关性分析(r = 0.564,p p = .016)证实了 P-AMY 与 cPL 的相关性,与 DGGR 脂肪酶和 cPL 的相关性相反。此外,P-AMY 的中位数与全身炎症反应综合征的存在有显著差异(p = .001)。与 DGGR 脂肪酶相比,P-AMY 显示出相似的诊断准确性、灵敏度和特异性。此外,与 cPL 和 DGGR 脂肪酶相比,P-AMY 与 CAPS 评分有显著关联。与其他与 AP 相关的生物标记物一起,P-AMY 有可能成为狗 AP 的辅助诊断和预后生物标记物。
本文章由计算机程序翻译,如有差异,请以英文原文为准。

Evaluation of the clinical usefulness of pancreatic alpha amylase as a novel biomarker in dogs with acute pancreatitis: a pilot study.

Evaluation of the clinical usefulness of pancreatic alpha amylase as a novel biomarker in dogs with acute pancreatitis: a pilot study.

Evaluation of the clinical usefulness of pancreatic alpha amylase as a novel biomarker in dogs with acute pancreatitis: a pilot study.

Evaluation of the clinical usefulness of pancreatic alpha amylase as a novel biomarker in dogs with acute pancreatitis: a pilot study.

Pancreatic alpha amylase (P-AMY) is used as a biomarker of acute pancreatitis (AP) in human medicine. To our knowledge, there are no studies evaluating the usefulness of P-AMY in dogs with AP. In this study, we evaluated the diagnostic value of P-AMY, currently not verified in veterinary medicine. The AP group (n = 40) consisted of dogs with AP diagnosed using clinical signs and laboratory examinations, including abnormal canine pancreatic lipase (cPL) concentration, and compatible abdominal ultrasound examination at first presentation. Evaluation of the canine AP severity (CAPS) score was performed. The control group (n = 38) was composed of normal dogs without any abnormalities in clinical findings, blood exams or diagnostic imaging. The correlation of P-AMY with cPL was confirmed by Pearson's correlation analysis (r = 0.564, p < .001). The sensitivity and specificity for the most appropriate cut-off values of P-AMY were recorded similar to the values of DGGR. The dogs with AP and CAPS ≥11 had significantly higher serum P-AMY (p = .016) contrary to DGGR lipase and cPL. Furthermore, there was a significant difference in the median P-AMY dependent on the presence of systemic inflammatory response syndrome (p = .001). P-AMY showed similar level of diagnostic accuracy along with sensitivity and specificity compared to DGGR lipase. In addition, P-AMY showed a significant association with CAPS score, contrary to cPL and DGGR lipase. Along with other biomarkers associated with AP, P-AMY has the potential of usefulness as a supportive diagnostic and prognostic biomarker of AP in dogs.

求助全文
通过发布文献求助,成功后即可免费获取论文全文。 去求助
来源期刊
Veterinary Quarterly
Veterinary Quarterly VETERINARY SCIENCES-
CiteScore
13.10
自引率
1.60%
发文量
18
审稿时长
>24 weeks
期刊介绍: Veterinary Quarterly is an international open access journal which publishes high quality review articles and original research in the field of veterinary science and animal diseases. The journal publishes research on a range of different animal species and topics including: - Economically important species such as domesticated and non-domesticated farm animals, including avian and poultry diseases; - Companion animals (dogs, cats, horses, pocket pets and exotics); - Wildlife species; - Infectious diseases; - Diagnosis; - Treatment including pharmacology and vaccination
×
引用
GB/T 7714-2015
复制
MLA
复制
APA
复制
导出至
BibTeX EndNote RefMan NoteFirst NoteExpress
×
提示
您的信息不完整,为了账户安全,请先补充。
现在去补充
×
提示
您因"违规操作"
具体请查看互助需知
我知道了
×
提示
确定
请完成安全验证×
copy
已复制链接
快去分享给好友吧!
我知道了
右上角分享
点击右上角分享
0
联系我们:info@booksci.cn Book学术提供免费学术资源搜索服务,方便国内外学者检索中英文文献。致力于提供最便捷和优质的服务体验。 Copyright © 2023 布克学术 All rights reserved.
京ICP备2023020795号-1
ghs 京公网安备 11010802042870号
Book学术文献互助
Book学术文献互助群
群 号:604180095
Book学术官方微信