在 NCCN-IPI 中加入 MYC/BCL2 双重表达可能无法将预后价值提高到可接受的水平。

IF 2.8 Q2 HEMATOLOGY
Naree Warnnissorn, Nonglak Kanitsap, Pimjai Niparuck, Paisarn Boonsakan, Prapasri Kulalert, Wasithep Limvorapitak, Lantarima Bhoopat, Supawee Saengboon, Chinnawut Suriyonplengsaeng, Pichika Chantrathammachart, Teeraya Puavilai, Suporn Chuncharunee
{"title":"在 NCCN-IPI 中加入 MYC/BCL2 双重表达可能无法将预后价值提高到可接受的水平。","authors":"Naree Warnnissorn, Nonglak Kanitsap, Pimjai Niparuck, Paisarn Boonsakan, Prapasri Kulalert, Wasithep Limvorapitak, Lantarima Bhoopat, Supawee Saengboon, Chinnawut Suriyonplengsaeng, Pichika Chantrathammachart, Teeraya Puavilai, Suporn Chuncharunee","doi":"10.1007/s44313-024-00006-w","DOIUrl":null,"url":null,"abstract":"<p><strong>Background: </strong>MYC/BCL2 double expression (DE) is associated with poor prognosis in patients with diffuse large B-cell lymphoma (DLBCL) receiving rituximab, cyclophosphamide, doxorubicin, vincristine, and prednisolone (R-CHOP). This study aimed to determine whether the addition of DE to the National Comprehensive Cancer Network Internal Prognostic Index (NCCN-IPI) could improve the prediction of disease progression in patients with DLBCL treated with R-CHOP.</p><p><strong>Methods: </strong>This confirmatory prognostic factor study retrospectively recruited patients with newly diagnosed DLBCL between January 1, 2014, and January 31, 2018, at Ramathibodi Hospital (RA) and Thammasat University Hospital (TU). The follow-up period ended on July 1, 2022. Tumors expressing MYC ≥ 40% and BCL2 ≥ 50% were classified as DE. We calculated the hazard ratios (HR) for progression-free survival (PFS) from the date of diagnosis to refractory disease, relapse, or death. Discrimination of the 5-year prediction was based on Cox models using Harrell's concordance index (c-index).</p><p><strong>Results: </strong>A total of 111 patients had DE (39%), NCCN-IPI (8%), and disease progression (46%). The NCCN-IPI adjusted HR of DE was 1.6 (95% confidence interval [CI]: 0.9-2.8; P = 0.117). The baseline NCCN-IPI c-index was 0.63. Adding DE to the NCCN-IPI slightly increased Harrell's concordance index (c-index) to 0.66 (P = 0.119).</p><p><strong>Conclusions: </strong>Adding DE to the NCCN-IPI may not improve the prognostic value to an acceptable level in resource-limited settings. Multiple independent confirmatory studies from a large cohort of lymphoma registries have provided additional evidence for the clinical utility of DE.</p>","PeriodicalId":46224,"journal":{"name":"Blood Research","volume":"59 1","pages":"2"},"PeriodicalIF":2.8000,"publicationDate":"2024-02-19","publicationTypes":"Journal Article","fieldsOfStudy":null,"isOpenAccess":false,"openAccessPdf":"https://www.ncbi.nlm.nih.gov/pmc/articles/PMC10903517/pdf/","citationCount":"0","resultStr":"{\"title\":\"Adding MYC/BCL2 double expression to NCCN-IPI may not improve prognostic value to an acceptable level.\",\"authors\":\"Naree Warnnissorn, Nonglak Kanitsap, Pimjai Niparuck, Paisarn Boonsakan, Prapasri Kulalert, Wasithep Limvorapitak, Lantarima Bhoopat, Supawee Saengboon, Chinnawut Suriyonplengsaeng, Pichika Chantrathammachart, Teeraya Puavilai, Suporn Chuncharunee\",\"doi\":\"10.1007/s44313-024-00006-w\",\"DOIUrl\":null,\"url\":null,\"abstract\":\"<p><strong>Background: </strong>MYC/BCL2 double expression (DE) is associated with poor prognosis in patients with diffuse large B-cell lymphoma (DLBCL) receiving rituximab, cyclophosphamide, doxorubicin, vincristine, and prednisolone (R-CHOP). This study aimed to determine whether the addition of DE to the National Comprehensive Cancer Network Internal Prognostic Index (NCCN-IPI) could improve the prediction of disease progression in patients with DLBCL treated with R-CHOP.</p><p><strong>Methods: </strong>This confirmatory prognostic factor study retrospectively recruited patients with newly diagnosed DLBCL between January 1, 2014, and January 31, 2018, at Ramathibodi Hospital (RA) and Thammasat University Hospital (TU). The follow-up period ended on July 1, 2022. Tumors expressing MYC ≥ 40% and BCL2 ≥ 50% were classified as DE. We calculated the hazard ratios (HR) for progression-free survival (PFS) from the date of diagnosis to refractory disease, relapse, or death. Discrimination of the 5-year prediction was based on Cox models using Harrell's concordance index (c-index).</p><p><strong>Results: </strong>A total of 111 patients had DE (39%), NCCN-IPI (8%), and disease progression (46%). The NCCN-IPI adjusted HR of DE was 1.6 (95% confidence interval [CI]: 0.9-2.8; P = 0.117). The baseline NCCN-IPI c-index was 0.63. Adding DE to the NCCN-IPI slightly increased Harrell's concordance index (c-index) to 0.66 (P = 0.119).</p><p><strong>Conclusions: </strong>Adding DE to the NCCN-IPI may not improve the prognostic value to an acceptable level in resource-limited settings. Multiple independent confirmatory studies from a large cohort of lymphoma registries have provided additional evidence for the clinical utility of DE.</p>\",\"PeriodicalId\":46224,\"journal\":{\"name\":\"Blood Research\",\"volume\":\"59 1\",\"pages\":\"2\"},\"PeriodicalIF\":2.8000,\"publicationDate\":\"2024-02-19\",\"publicationTypes\":\"Journal Article\",\"fieldsOfStudy\":null,\"isOpenAccess\":false,\"openAccessPdf\":\"https://www.ncbi.nlm.nih.gov/pmc/articles/PMC10903517/pdf/\",\"citationCount\":\"0\",\"resultStr\":null,\"platform\":\"Semanticscholar\",\"paperid\":null,\"PeriodicalName\":\"Blood Research\",\"FirstCategoryId\":\"1085\",\"ListUrlMain\":\"https://doi.org/10.1007/s44313-024-00006-w\",\"RegionNum\":0,\"RegionCategory\":null,\"ArticlePicture\":[],\"TitleCN\":null,\"AbstractTextCN\":null,\"PMCID\":null,\"EPubDate\":\"\",\"PubModel\":\"\",\"JCR\":\"Q2\",\"JCRName\":\"HEMATOLOGY\",\"Score\":null,\"Total\":0}","platform":"Semanticscholar","paperid":null,"PeriodicalName":"Blood Research","FirstCategoryId":"1085","ListUrlMain":"https://doi.org/10.1007/s44313-024-00006-w","RegionNum":0,"RegionCategory":null,"ArticlePicture":[],"TitleCN":null,"AbstractTextCN":null,"PMCID":null,"EPubDate":"","PubModel":"","JCR":"Q2","JCRName":"HEMATOLOGY","Score":null,"Total":0}
引用次数: 0

摘要

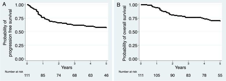
背景:MYC/BCL2双表达(DE)与接受利妥昔单抗、环磷酰胺、多柔比星、长春新碱和泼尼松龙治疗(R-CHOP)的弥漫大B细胞淋巴瘤(DLBCL)患者的不良预后有关。本研究旨在确定在美国国家综合癌症网络内部预后指数(NCCN-IPI)中加入DE是否能改善接受R-CHOP治疗的DLBCL患者的疾病进展预测:这项确证预后因素研究回顾性招募了2014年1月1日至2018年1月31日期间在拉玛提博迪医院(RA)和塔玛萨大学医院(TU)新诊断的DLBCL患者。随访期截至 2022 年 7 月 1 日。表达MYC≥40%和BCL2≥50%的肿瘤被归类为DE。我们计算了从诊断之日起到难治性疾病、复发或死亡的无进展生存期(PFS)的危险比(HR)。使用哈雷尔一致性指数(c-index)建立的Cox模型对5年预测结果进行了判别:共有 111 名患者出现 DE(39%)、NCCN-IPI(8%)和疾病进展(46%)。NCCN-IPI调整后的DE HR为1.6(95%置信区间[CI]:0.9-2.8;P = 0.117)。基线NCCN-IPI c指数为0.63。在NCCN-IPI中加入DE后,哈雷尔一致性指数(c-index)略升至0.66(P = 0.119):在资源有限的情况下,将 DE 加入 NCCN-IPI 可能无法将预后价值提高到可接受的水平。来自大型淋巴瘤登记队列的多项独立确证研究为DE的临床实用性提供了更多证据。
本文章由计算机程序翻译,如有差异,请以英文原文为准。

Adding MYC/BCL2 double expression to NCCN-IPI may not improve prognostic value to an acceptable level.

Adding MYC/BCL2 double expression to NCCN-IPI may not improve prognostic value to an acceptable level.

Adding MYC/BCL2 double expression to NCCN-IPI may not improve prognostic value to an acceptable level.

Adding MYC/BCL2 double expression to NCCN-IPI may not improve prognostic value to an acceptable level.

Background: MYC/BCL2 double expression (DE) is associated with poor prognosis in patients with diffuse large B-cell lymphoma (DLBCL) receiving rituximab, cyclophosphamide, doxorubicin, vincristine, and prednisolone (R-CHOP). This study aimed to determine whether the addition of DE to the National Comprehensive Cancer Network Internal Prognostic Index (NCCN-IPI) could improve the prediction of disease progression in patients with DLBCL treated with R-CHOP.

Methods: This confirmatory prognostic factor study retrospectively recruited patients with newly diagnosed DLBCL between January 1, 2014, and January 31, 2018, at Ramathibodi Hospital (RA) and Thammasat University Hospital (TU). The follow-up period ended on July 1, 2022. Tumors expressing MYC ≥ 40% and BCL2 ≥ 50% were classified as DE. We calculated the hazard ratios (HR) for progression-free survival (PFS) from the date of diagnosis to refractory disease, relapse, or death. Discrimination of the 5-year prediction was based on Cox models using Harrell's concordance index (c-index).

Results: A total of 111 patients had DE (39%), NCCN-IPI (8%), and disease progression (46%). The NCCN-IPI adjusted HR of DE was 1.6 (95% confidence interval [CI]: 0.9-2.8; P = 0.117). The baseline NCCN-IPI c-index was 0.63. Adding DE to the NCCN-IPI slightly increased Harrell's concordance index (c-index) to 0.66 (P = 0.119).

Conclusions: Adding DE to the NCCN-IPI may not improve the prognostic value to an acceptable level in resource-limited settings. Multiple independent confirmatory studies from a large cohort of lymphoma registries have provided additional evidence for the clinical utility of DE.

求助全文
通过发布文献求助,成功后即可免费获取论文全文。 去求助
来源期刊
Blood Research
Blood Research HEMATOLOGY-
CiteScore
3.70
自引率
0.00%
发文量
64
×
引用
GB/T 7714-2015
复制
MLA
复制
APA
复制
导出至
BibTeX EndNote RefMan NoteFirst NoteExpress
×
提示
您的信息不完整,为了账户安全,请先补充。
现在去补充
×
提示
您因"违规操作"
具体请查看互助需知
我知道了
×
提示
确定
请完成安全验证×
copy
已复制链接
快去分享给好友吧!
我知道了
右上角分享
点击右上角分享
0
联系我们:info@booksci.cn Book学术提供免费学术资源搜索服务,方便国内外学者检索中英文文献。致力于提供最便捷和优质的服务体验。 Copyright © 2023 布克学术 All rights reserved.
京ICP备2023020795号-1
ghs 京公网安备 11010802042870号
Book学术文献互助
Book学术文献互助群
群 号:604180095
Book学术官方微信