英国薄荷味禁令后的吸烟率和薄荷香烟购买情况:2020 年至 2023 年期间的人口调查。

IF 4.7 2区 医学 Q1 PUBLIC, ENVIRONMENTAL & OCCUPATIONAL HEALTH
Vera Helen Buss, Harry Tattan-Birch, Sharon Cox, Linda Bauld, Lion Shahab, Jamie Brown
{"title":"英国薄荷味禁令后的吸烟率和薄荷香烟购买情况:2020 年至 2023 年期间的人口调查。","authors":"Vera Helen Buss, Harry Tattan-Birch, Sharon Cox, Linda Bauld, Lion Shahab, Jamie Brown","doi":"10.1136/tc-2023-058390","DOIUrl":null,"url":null,"abstract":"<p><strong>Background: </strong>Menthol cigarettes have been banned in Great Britain (GB) since May 2020. Still, menthol accessories and unlabelled cigarettes perceived as mentholated are available, and people can buy menthol cigarettes overseas or illicitly. This study assessed: trends in smoking menthol cigarettes among all adults and 18-24-year-olds in GB between October 2020 and March 2023; trends in and differences between England, Scotland and Wales during the same period and purchase sources among people smoking menthol versus non-flavoured cigarettes.</p><p><strong>Methods: </strong>Population-weighted data were from a monthly cross-sectional survey of adults in GB. Among people smoking cigarettes, we calculated the proportion smoking menthol cigarettes across all adults and 18-24-year-olds, and prevalence ratios (PR) between the first and last quarter. We also calculated the proportions of people smoking menthol/non-flavoured cigarettes by purchase source (including illicit sources).</p><p><strong>Results: </strong>In the first quarter, 16.2% of adults smoking cigarettes reported menthol cigarette smoking with little to no decline throughout the study (PR 0.85, 95% CI 0.71 to 1.01), while it declined among 18-24-year-olds (PR 0.75, 95% CI 0.63 to 0.89). The prevalence of menthol cigarette smoking fell by two-thirds in Wales (PR 0.36, 95% CI 0.19 to 0.62) but remained relatively stable in England (PR 0.88, 95% CI 0.72 to 1.06) and Scotland (PR 0.94, 95% CI 0.59 to 1.53). The main purchasing sources were licit (93.9%), 14.8% reported illicit sources and 11.5% cross-border purchases, without notable differences from people smoking non-flavoured cigarettes.</p><p><strong>Conclusions: </strong>Roughly one million adults in GB still smoke menthol cigarettes and, with the exception of Wales and young people, there were no noteworthy changes in the post-ban period. There was no indication that the overall persistence of menthol smoking was driven by illicit purchases.</p>","PeriodicalId":23145,"journal":{"name":"Tobacco Control","volume":" ","pages":"481-489"},"PeriodicalIF":4.7000,"publicationDate":"2025-07-31","publicationTypes":"Journal Article","fieldsOfStudy":null,"isOpenAccess":false,"openAccessPdf":"https://www.ncbi.nlm.nih.gov/pmc/articles/PMC12322387/pdf/","citationCount":"0","resultStr":"{\"title\":\"Smoking prevalence and purchasing of menthol cigarettes since the menthol flavour ban in Great Britain: a population-based survey between 2020 and 2023.\",\"authors\":\"Vera Helen Buss, Harry Tattan-Birch, Sharon Cox, Linda Bauld, Lion Shahab, Jamie Brown\",\"doi\":\"10.1136/tc-2023-058390\",\"DOIUrl\":null,\"url\":null,\"abstract\":\"<p><strong>Background: </strong>Menthol cigarettes have been banned in Great Britain (GB) since May 2020. Still, menthol accessories and unlabelled cigarettes perceived as mentholated are available, and people can buy menthol cigarettes overseas or illicitly. This study assessed: trends in smoking menthol cigarettes among all adults and 18-24-year-olds in GB between October 2020 and March 2023; trends in and differences between England, Scotland and Wales during the same period and purchase sources among people smoking menthol versus non-flavoured cigarettes.</p><p><strong>Methods: </strong>Population-weighted data were from a monthly cross-sectional survey of adults in GB. Among people smoking cigarettes, we calculated the proportion smoking menthol cigarettes across all adults and 18-24-year-olds, and prevalence ratios (PR) between the first and last quarter. We also calculated the proportions of people smoking menthol/non-flavoured cigarettes by purchase source (including illicit sources).</p><p><strong>Results: </strong>In the first quarter, 16.2% of adults smoking cigarettes reported menthol cigarette smoking with little to no decline throughout the study (PR 0.85, 95% CI 0.71 to 1.01), while it declined among 18-24-year-olds (PR 0.75, 95% CI 0.63 to 0.89). The prevalence of menthol cigarette smoking fell by two-thirds in Wales (PR 0.36, 95% CI 0.19 to 0.62) but remained relatively stable in England (PR 0.88, 95% CI 0.72 to 1.06) and Scotland (PR 0.94, 95% CI 0.59 to 1.53). The main purchasing sources were licit (93.9%), 14.8% reported illicit sources and 11.5% cross-border purchases, without notable differences from people smoking non-flavoured cigarettes.</p><p><strong>Conclusions: </strong>Roughly one million adults in GB still smoke menthol cigarettes and, with the exception of Wales and young people, there were no noteworthy changes in the post-ban period. There was no indication that the overall persistence of menthol smoking was driven by illicit purchases.</p>\",\"PeriodicalId\":23145,\"journal\":{\"name\":\"Tobacco Control\",\"volume\":\" \",\"pages\":\"481-489\"},\"PeriodicalIF\":4.7000,\"publicationDate\":\"2025-07-31\",\"publicationTypes\":\"Journal Article\",\"fieldsOfStudy\":null,\"isOpenAccess\":false,\"openAccessPdf\":\"https://www.ncbi.nlm.nih.gov/pmc/articles/PMC12322387/pdf/\",\"citationCount\":\"0\",\"resultStr\":null,\"platform\":\"Semanticscholar\",\"paperid\":null,\"PeriodicalName\":\"Tobacco Control\",\"FirstCategoryId\":\"3\",\"ListUrlMain\":\"https://doi.org/10.1136/tc-2023-058390\",\"RegionNum\":2,\"RegionCategory\":\"医学\",\"ArticlePicture\":[],\"TitleCN\":null,\"AbstractTextCN\":null,\"PMCID\":null,\"EPubDate\":\"\",\"PubModel\":\"\",\"JCR\":\"Q1\",\"JCRName\":\"PUBLIC, ENVIRONMENTAL & OCCUPATIONAL HEALTH\",\"Score\":null,\"Total\":0}","platform":"Semanticscholar","paperid":null,"PeriodicalName":"Tobacco Control","FirstCategoryId":"3","ListUrlMain":"https://doi.org/10.1136/tc-2023-058390","RegionNum":2,"RegionCategory":"医学","ArticlePicture":[],"TitleCN":null,"AbstractTextCN":null,"PMCID":null,"EPubDate":"","PubModel":"","JCR":"Q1","JCRName":"PUBLIC, ENVIRONMENTAL & OCCUPATIONAL HEALTH","Score":null,"Total":0}
引用次数: 0

摘要

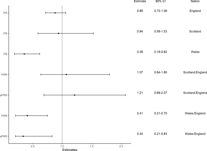
背景:自 2020 年 5 月起,薄荷香烟在大不列颠(GB)被禁。但仍有薄荷配件和无标签的薄荷卷烟出售,人们可以在海外或非法渠道购买薄荷卷烟。本研究评估了:2020年10月至2023年3月期间英国所有成年人和18-24岁青少年吸食薄荷卷烟的趋势;同期英格兰、苏格兰和威尔士的趋势和差异;以及吸食薄荷卷烟和非薄荷卷烟的人群的购买来源:方法:人口加权数据来自对英国成年人的月度横断面调查。在吸烟人群中,我们计算了所有成年人和 18-24 岁人群中吸食薄荷卷烟的比例,以及第一季度和最后一季度的流行率(PR)。我们还计算了按购买渠道(包括非法渠道)划分的吸食薄荷卷烟/无味卷烟的比例:在第一季度,16.2% 的成年吸烟者吸食薄荷卷烟,在整个研究期间几乎没有下降(PR 0.85,95% CI 0.71 至 1.01),而在 18-24 岁的人群中,吸烟率有所下降(PR 0.75,95% CI 0.63 至 0.89)。威尔士的薄荷卷烟吸烟率下降了三分之二(PR 0.36,95% CI 0.19 至 0.62),但英格兰(PR 0.88,95% CI 0.72 至 1.06)和苏格兰(PR 0.94,95% CI 0.59 至 1.53)的吸烟率保持相对稳定。主要购买渠道为合法渠道(93.9%),14.8%为非法渠道,11.5%为跨境购买:结论:英国约有 100 万成年人仍在吸食薄荷卷烟,除威尔士和年轻人外,禁烟后没有明显变化。没有迹象表明,吸食薄荷卷烟的总体持续性是由非法购买驱动的。
本文章由计算机程序翻译,如有差异,请以英文原文为准。

Smoking prevalence and purchasing of menthol cigarettes since the menthol flavour ban in Great Britain: a population-based survey between 2020 and 2023.

Smoking prevalence and purchasing of menthol cigarettes since the menthol flavour ban in Great Britain: a population-based survey between 2020 and 2023.

Smoking prevalence and purchasing of menthol cigarettes since the menthol flavour ban in Great Britain: a population-based survey between 2020 and 2023.

Smoking prevalence and purchasing of menthol cigarettes since the menthol flavour ban in Great Britain: a population-based survey between 2020 and 2023.

Background: Menthol cigarettes have been banned in Great Britain (GB) since May 2020. Still, menthol accessories and unlabelled cigarettes perceived as mentholated are available, and people can buy menthol cigarettes overseas or illicitly. This study assessed: trends in smoking menthol cigarettes among all adults and 18-24-year-olds in GB between October 2020 and March 2023; trends in and differences between England, Scotland and Wales during the same period and purchase sources among people smoking menthol versus non-flavoured cigarettes.

Methods: Population-weighted data were from a monthly cross-sectional survey of adults in GB. Among people smoking cigarettes, we calculated the proportion smoking menthol cigarettes across all adults and 18-24-year-olds, and prevalence ratios (PR) between the first and last quarter. We also calculated the proportions of people smoking menthol/non-flavoured cigarettes by purchase source (including illicit sources).

Results: In the first quarter, 16.2% of adults smoking cigarettes reported menthol cigarette smoking with little to no decline throughout the study (PR 0.85, 95% CI 0.71 to 1.01), while it declined among 18-24-year-olds (PR 0.75, 95% CI 0.63 to 0.89). The prevalence of menthol cigarette smoking fell by two-thirds in Wales (PR 0.36, 95% CI 0.19 to 0.62) but remained relatively stable in England (PR 0.88, 95% CI 0.72 to 1.06) and Scotland (PR 0.94, 95% CI 0.59 to 1.53). The main purchasing sources were licit (93.9%), 14.8% reported illicit sources and 11.5% cross-border purchases, without notable differences from people smoking non-flavoured cigarettes.

Conclusions: Roughly one million adults in GB still smoke menthol cigarettes and, with the exception of Wales and young people, there were no noteworthy changes in the post-ban period. There was no indication that the overall persistence of menthol smoking was driven by illicit purchases.

求助全文
通过发布文献求助,成功后即可免费获取论文全文。 去求助
来源期刊
Tobacco Control
Tobacco Control 医学-公共卫生、环境卫生与职业卫生
CiteScore
9.10
自引率
26.90%
发文量
223
审稿时长
6-12 weeks
期刊介绍: Tobacco Control is an international peer-reviewed journal covering the nature and consequences of tobacco use worldwide; tobacco''s effects on population health, the economy, the environment, and society; efforts to prevent and control the global tobacco epidemic through population-level education and policy changes; the ethical dimensions of tobacco control policies; and the activities of the tobacco industry and its allies.
×
引用
GB/T 7714-2015
复制
MLA
复制
APA
复制
导出至
BibTeX EndNote RefMan NoteFirst NoteExpress
×
提示
您的信息不完整,为了账户安全,请先补充。
现在去补充
×
提示
您因"违规操作"
具体请查看互助需知
我知道了
×
提示
确定
请完成安全验证×
copy
已复制链接
快去分享给好友吧!
我知道了
右上角分享
点击右上角分享
0
联系我们:info@booksci.cn Book学术提供免费学术资源搜索服务,方便国内外学者检索中英文文献。致力于提供最便捷和优质的服务体验。 Copyright © 2023 布克学术 All rights reserved.
京ICP备2023020795号-1
ghs 京公网安备 11010802042870号
Book学术文献互助
Book学术文献互助群
群 号:604180095
Book学术官方微信