成人髓母细胞瘤放疗后铂-依托泊苷:血液学毒性回顾性分析。

Q1 Medicine
CNS Oncology Pub Date : 2024-06-06 Epub Date: 2024-03-08 DOI:10.2217/cns-2023-0029
Edina Komlodi-Pasztor, Vasu Munjapara, Charles G Eberhart, Danielle A Bazer, Mohamed R Sherief, David Olayinka Kamson, Xiaobu Ye, Byram Hirsch Ozer, Matthias Holdhoff
{"title":"成人髓母细胞瘤放疗后铂-依托泊苷:血液学毒性回顾性分析。","authors":"Edina Komlodi-Pasztor, Vasu Munjapara, Charles G Eberhart, Danielle A Bazer, Mohamed R Sherief, David Olayinka Kamson, Xiaobu Ye, Byram Hirsch Ozer, Matthias Holdhoff","doi":"10.2217/cns-2023-0029","DOIUrl":null,"url":null,"abstract":"<p><p><b>Aim:</b> Adult medulloblastomas (MB) are rare, and optimal post-craniospinal irradiation (CSI) chemotherapy is not yet defined. We investigated hematological toxicity in patients treated with platinum-etoposide (EP) post-CSI. <b>Methods:</b> Retrospective, single-institution study to determine hematological toxicity in adult MB patients treated with EP (1995-2022). <b>Results:</b> Thirteen patients with a median follow-up of 50 months (range, 10-233) were analyzed. Four discontinued treatment due to toxicity, one after 1, 3 after 3 cycles. Hematological toxicities included grade 3 (5 patients) and grade 4 (6 patients). Two patients experienced post-treatment progression and died 16 and 37 months from diagnosis. <b>Conclusion:</b> Post-CSI EP demonstrates acceptable hematological toxicity in adult MB. However, the small cohort precludes definitive survival outcome conclusions. Prospective studies for comprehensive comparisons with other regimens are needed in this context.</p>","PeriodicalId":10469,"journal":{"name":"CNS Oncology","volume":" ","pages":"CNS107"},"PeriodicalIF":0.0000,"publicationDate":"2024-06-06","publicationTypes":"Journal Article","fieldsOfStudy":null,"isOpenAccess":false,"openAccessPdf":"https://www.ncbi.nlm.nih.gov/pmc/articles/PMC11137761/pdf/","citationCount":"0","resultStr":"{\"title\":\"Postradiation platinum-etoposide in adult medulloblastomas: retrospective analysis of hematological toxicity.\",\"authors\":\"Edina Komlodi-Pasztor, Vasu Munjapara, Charles G Eberhart, Danielle A Bazer, Mohamed R Sherief, David Olayinka Kamson, Xiaobu Ye, Byram Hirsch Ozer, Matthias Holdhoff\",\"doi\":\"10.2217/cns-2023-0029\",\"DOIUrl\":null,\"url\":null,\"abstract\":\"<p><p><b>Aim:</b> Adult medulloblastomas (MB) are rare, and optimal post-craniospinal irradiation (CSI) chemotherapy is not yet defined. We investigated hematological toxicity in patients treated with platinum-etoposide (EP) post-CSI. <b>Methods:</b> Retrospective, single-institution study to determine hematological toxicity in adult MB patients treated with EP (1995-2022). <b>Results:</b> Thirteen patients with a median follow-up of 50 months (range, 10-233) were analyzed. Four discontinued treatment due to toxicity, one after 1, 3 after 3 cycles. Hematological toxicities included grade 3 (5 patients) and grade 4 (6 patients). Two patients experienced post-treatment progression and died 16 and 37 months from diagnosis. <b>Conclusion:</b> Post-CSI EP demonstrates acceptable hematological toxicity in adult MB. However, the small cohort precludes definitive survival outcome conclusions. Prospective studies for comprehensive comparisons with other regimens are needed in this context.</p>\",\"PeriodicalId\":10469,\"journal\":{\"name\":\"CNS Oncology\",\"volume\":\" \",\"pages\":\"CNS107\"},\"PeriodicalIF\":0.0000,\"publicationDate\":\"2024-06-06\",\"publicationTypes\":\"Journal Article\",\"fieldsOfStudy\":null,\"isOpenAccess\":false,\"openAccessPdf\":\"https://www.ncbi.nlm.nih.gov/pmc/articles/PMC11137761/pdf/\",\"citationCount\":\"0\",\"resultStr\":null,\"platform\":\"Semanticscholar\",\"paperid\":null,\"PeriodicalName\":\"CNS Oncology\",\"FirstCategoryId\":\"1085\",\"ListUrlMain\":\"https://doi.org/10.2217/cns-2023-0029\",\"RegionNum\":0,\"RegionCategory\":null,\"ArticlePicture\":[],\"TitleCN\":null,\"AbstractTextCN\":null,\"PMCID\":null,\"EPubDate\":\"2024/3/8 0:00:00\",\"PubModel\":\"Epub\",\"JCR\":\"Q1\",\"JCRName\":\"Medicine\",\"Score\":null,\"Total\":0}","platform":"Semanticscholar","paperid":null,"PeriodicalName":"CNS Oncology","FirstCategoryId":"1085","ListUrlMain":"https://doi.org/10.2217/cns-2023-0029","RegionNum":0,"RegionCategory":null,"ArticlePicture":[],"TitleCN":null,"AbstractTextCN":null,"PMCID":null,"EPubDate":"2024/3/8 0:00:00","PubModel":"Epub","JCR":"Q1","JCRName":"Medicine","Score":null,"Total":0}
引用次数: 0

摘要

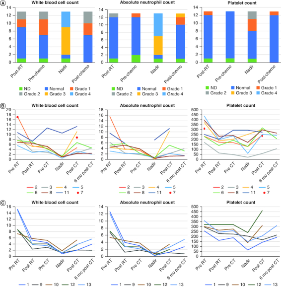
目的:成人髓母细胞瘤(MB)非常罕见,目前尚未确定最佳的颅椎照射(CSI)后化疗方案。我们研究了铂类-依托泊苷(EP)在CSI后治疗患者的血液毒性。研究方法回顾性单机构研究,确定接受 EP 治疗的成年 MB 患者的血液毒性(1995-2022 年)。研究结果对中位随访期为 50 个月(10-233 个月)的 13 例患者进行了分析。四名患者因毒性停止治疗,其中一人在治疗一个周期后停止治疗,三人在治疗三个周期后停止治疗。血液学毒性包括3级(5例)和4级(6例)。两名患者在治疗后病情恶化,分别在确诊后 16 个月和 37 个月死亡。结论在成人 MB 中,CSI 后 EP 显示出可接受的血液学毒性。然而,由于队列较小,无法得出明确的生存结果结论。在这种情况下,需要进行前瞻性研究,以便与其他治疗方案进行全面比较。
本文章由计算机程序翻译,如有差异,请以英文原文为准。

Postradiation platinum-etoposide in adult medulloblastomas: retrospective analysis of hematological toxicity.

Postradiation platinum-etoposide in adult medulloblastomas: retrospective analysis of hematological toxicity.

Postradiation platinum-etoposide in adult medulloblastomas: retrospective analysis of hematological toxicity.

Aim: Adult medulloblastomas (MB) are rare, and optimal post-craniospinal irradiation (CSI) chemotherapy is not yet defined. We investigated hematological toxicity in patients treated with platinum-etoposide (EP) post-CSI. Methods: Retrospective, single-institution study to determine hematological toxicity in adult MB patients treated with EP (1995-2022). Results: Thirteen patients with a median follow-up of 50 months (range, 10-233) were analyzed. Four discontinued treatment due to toxicity, one after 1, 3 after 3 cycles. Hematological toxicities included grade 3 (5 patients) and grade 4 (6 patients). Two patients experienced post-treatment progression and died 16 and 37 months from diagnosis. Conclusion: Post-CSI EP demonstrates acceptable hematological toxicity in adult MB. However, the small cohort precludes definitive survival outcome conclusions. Prospective studies for comprehensive comparisons with other regimens are needed in this context.

求助全文
通过发布文献求助,成功后即可免费获取论文全文。 去求助
来源期刊
CNS Oncology
CNS Oncology Medicine-Neurology (clinical)
CiteScore
3.80
自引率
0.00%
发文量
12
审稿时长
13 weeks
×
引用
GB/T 7714-2015
复制
MLA
复制
APA
复制
导出至
BibTeX EndNote RefMan NoteFirst NoteExpress
×
提示
您的信息不完整,为了账户安全,请先补充。
现在去补充
×
提示
您因"违规操作"
具体请查看互助需知
我知道了
×
提示
确定
请完成安全验证×
copy
已复制链接
快去分享给好友吧!
我知道了
右上角分享
点击右上角分享
0
联系我们:info@booksci.cn Book学术提供免费学术资源搜索服务,方便国内外学者检索中英文文献。致力于提供最便捷和优质的服务体验。 Copyright © 2023 布克学术 All rights reserved.
京ICP备2023020795号-1
ghs 京公网安备 11010802042870号
Book学术文献互助
Book学术文献互助群
群 号:604180095
Book学术官方微信