短跑间歇训练和血流限制对神经肌肉和肌肉功能的急性影响

IF 1.6 4区 医学 Q4 NEUROSCIENCES
David H Gonzalez Rojas, Aaron M Wizenberg, Paola M Rivera, Christopher E Proppe, John E Lawson, Matt S Stock, Jeffrey R Stout, François Billaut, Ethan C Hill
{"title":"短跑间歇训练和血流限制对神经肌肉和肌肉功能的急性影响","authors":"David H Gonzalez Rojas, Aaron M Wizenberg, Paola M Rivera, Christopher E Proppe, John E Lawson, Matt S Stock, Jeffrey R Stout, François Billaut, Ethan C Hill","doi":"","DOIUrl":null,"url":null,"abstract":"<p><p>BFR) applied during sprint interval training (SIT) on performance and neuromuscular function.</p><p><strong>Methods: </strong>Fifteen men completed a randomized bout of SIT with CBFR, IBFR, and without BFR (No-BFR), consisting of 2, 30-s maximal sprints on a cycle ergometer with a resistance of 7.5% of body mass. Concentric peak torque (CPT), maximal voluntary isometric contraction (MVIC) torque, and muscle thickness (MT) were measured before and after SIT, including surface electromyography (sEMG) recorded during the strength assessments. Peak and mean revolutions per minute (RPM) were measured during SIT and power output was examined relative to physical working capacity at the fatigue threshold (PWC<sub>FT</sub>).</p><p><strong>Results: </strong>CPT and MVIC torque decreased from pre-SIT (220.3±47.6 Nm and 355.1±72.5 Nm, respectively) to post-SIT (147.9±27.7 Nm and 252.2±45.5 Nm, respectively, all P<0.05), while MT increased (1.77±0.31 cm to 1.96±0.30 cm). sEMG mean power frequency decreased during CPT (-12.8±10.5%) and MVIC (-8.7±10.2%) muscle actions. %PWC<sub>FT</sub> was greater during No-BFR (414.2±121.9%) than CBFR (375.9±121.9%).</p><p><strong>Conclusion: </strong>SIT with or without BFR induced comparable alterations in neuromuscular fatigue and sprint performance across all conditions, without affecting neuromuscular function.</p>","PeriodicalId":16430,"journal":{"name":"Journal of musculoskeletal & neuronal interactions","volume":"24 1","pages":"38-46"},"PeriodicalIF":1.6000,"publicationDate":"2024-03-01","publicationTypes":"Journal Article","fieldsOfStudy":null,"isOpenAccess":false,"openAccessPdf":"https://www.ncbi.nlm.nih.gov/pmc/articles/PMC10910201/pdf/","citationCount":"0","resultStr":"{\"title\":\"Acute Effects of Sprint Interval Training and Blood Flow Restriction on Neuromuscular and Muscle Function.\",\"authors\":\"David H Gonzalez Rojas, Aaron M Wizenberg, Paola M Rivera, Christopher E Proppe, John E Lawson, Matt S Stock, Jeffrey R Stout, François Billaut, Ethan C Hill\",\"doi\":\"\",\"DOIUrl\":null,\"url\":null,\"abstract\":\"<p><p>BFR) applied during sprint interval training (SIT) on performance and neuromuscular function.</p><p><strong>Methods: </strong>Fifteen men completed a randomized bout of SIT with CBFR, IBFR, and without BFR (No-BFR), consisting of 2, 30-s maximal sprints on a cycle ergometer with a resistance of 7.5% of body mass. Concentric peak torque (CPT), maximal voluntary isometric contraction (MVIC) torque, and muscle thickness (MT) were measured before and after SIT, including surface electromyography (sEMG) recorded during the strength assessments. Peak and mean revolutions per minute (RPM) were measured during SIT and power output was examined relative to physical working capacity at the fatigue threshold (PWC<sub>FT</sub>).</p><p><strong>Results: </strong>CPT and MVIC torque decreased from pre-SIT (220.3±47.6 Nm and 355.1±72.5 Nm, respectively) to post-SIT (147.9±27.7 Nm and 252.2±45.5 Nm, respectively, all P<0.05), while MT increased (1.77±0.31 cm to 1.96±0.30 cm). sEMG mean power frequency decreased during CPT (-12.8±10.5%) and MVIC (-8.7±10.2%) muscle actions. %PWC<sub>FT</sub> was greater during No-BFR (414.2±121.9%) than CBFR (375.9±121.9%).</p><p><strong>Conclusion: </strong>SIT with or without BFR induced comparable alterations in neuromuscular fatigue and sprint performance across all conditions, without affecting neuromuscular function.</p>\",\"PeriodicalId\":16430,\"journal\":{\"name\":\"Journal of musculoskeletal & neuronal interactions\",\"volume\":\"24 1\",\"pages\":\"38-46\"},\"PeriodicalIF\":1.6000,\"publicationDate\":\"2024-03-01\",\"publicationTypes\":\"Journal Article\",\"fieldsOfStudy\":null,\"isOpenAccess\":false,\"openAccessPdf\":\"https://www.ncbi.nlm.nih.gov/pmc/articles/PMC10910201/pdf/\",\"citationCount\":\"0\",\"resultStr\":null,\"platform\":\"Semanticscholar\",\"paperid\":null,\"PeriodicalName\":\"Journal of musculoskeletal & neuronal interactions\",\"FirstCategoryId\":\"3\",\"ListUrlMain\":\"\",\"RegionNum\":4,\"RegionCategory\":\"医学\",\"ArticlePicture\":[],\"TitleCN\":null,\"AbstractTextCN\":null,\"PMCID\":null,\"EPubDate\":\"\",\"PubModel\":\"\",\"JCR\":\"Q4\",\"JCRName\":\"NEUROSCIENCES\",\"Score\":null,\"Total\":0}","platform":"Semanticscholar","paperid":null,"PeriodicalName":"Journal of musculoskeletal & neuronal interactions","FirstCategoryId":"3","ListUrlMain":"","RegionNum":4,"RegionCategory":"医学","ArticlePicture":[],"TitleCN":null,"AbstractTextCN":null,"PMCID":null,"EPubDate":"","PubModel":"","JCR":"Q4","JCRName":"NEUROSCIENCES","Score":null,"Total":0}
引用次数: 0

摘要

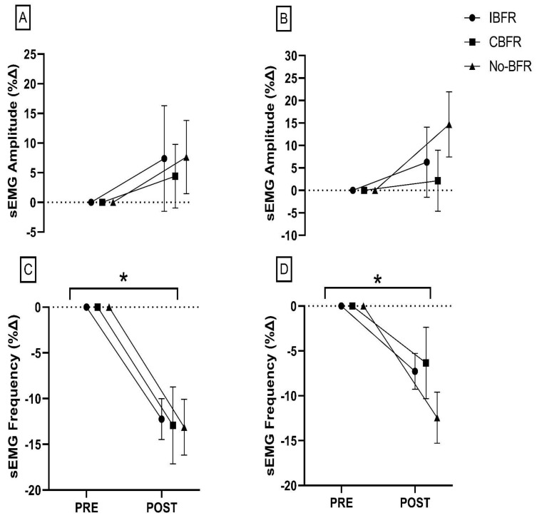
方法:15 名男子随机完成了 CBFR、IBFR 和无 BFR(No-BFR)的短跑间歇训练,包括在阻力为体重 7.5% 的自行车测力计上进行 2 次、每次 30 秒的最大短跑。在 SIT 前后测量了同心峰值扭矩 (CPT)、最大自主等长收缩扭矩 (MVIC) 和肌肉厚度 (MT),包括力量评估期间记录的表面肌电图 (sEMG)。测量了 SIT 期间的峰值和平均每分钟转数(RPM),并检查了相对于疲劳阈值下体力工作能力(PWCFT)的功率输出:结果:CPT 和 MVIC 扭矩从 SIT 前(分别为 220.3±47.6 牛米和 355.1±72.5 牛米)下降到 SIT 后(分别为 147.9±27.7 牛米和 252.2±45.5 牛米),所有 PFT 在无 BFR 期间(414.2±121.9%)大于 CBFR 期间(375.9±121.9%):结论:在不影响神经肌肉功能的情况下,有无BFR的SIT在神经肌肉疲劳和冲刺表现方面引起的变化在所有条件下都具有可比性。
本文章由计算机程序翻译,如有差异,请以英文原文为准。

Acute Effects of Sprint Interval Training and Blood Flow Restriction on Neuromuscular and Muscle Function.

Acute Effects of Sprint Interval Training and Blood Flow Restriction on Neuromuscular and Muscle Function.

Acute Effects of Sprint Interval Training and Blood Flow Restriction on Neuromuscular and Muscle Function.

Acute Effects of Sprint Interval Training and Blood Flow Restriction on Neuromuscular and Muscle Function.

BFR) applied during sprint interval training (SIT) on performance and neuromuscular function.

Methods: Fifteen men completed a randomized bout of SIT with CBFR, IBFR, and without BFR (No-BFR), consisting of 2, 30-s maximal sprints on a cycle ergometer with a resistance of 7.5% of body mass. Concentric peak torque (CPT), maximal voluntary isometric contraction (MVIC) torque, and muscle thickness (MT) were measured before and after SIT, including surface electromyography (sEMG) recorded during the strength assessments. Peak and mean revolutions per minute (RPM) were measured during SIT and power output was examined relative to physical working capacity at the fatigue threshold (PWCFT).

Results: CPT and MVIC torque decreased from pre-SIT (220.3±47.6 Nm and 355.1±72.5 Nm, respectively) to post-SIT (147.9±27.7 Nm and 252.2±45.5 Nm, respectively, all P<0.05), while MT increased (1.77±0.31 cm to 1.96±0.30 cm). sEMG mean power frequency decreased during CPT (-12.8±10.5%) and MVIC (-8.7±10.2%) muscle actions. %PWCFT was greater during No-BFR (414.2±121.9%) than CBFR (375.9±121.9%).

Conclusion: SIT with or without BFR induced comparable alterations in neuromuscular fatigue and sprint performance across all conditions, without affecting neuromuscular function.

求助全文
通过发布文献求助,成功后即可免费获取论文全文。 去求助
来源期刊
CiteScore
3.40
自引率
0.00%
发文量
67
审稿时长
>12 weeks
期刊介绍: The Journal of Musculoskeletal and Neuronal Interactions (JMNI) is an academic journal dealing with the pathophysiology and treatment of musculoskeletal disorders. It is published quarterly (months of issue March, June, September, December). Its purpose is to publish original, peer-reviewed papers of research and clinical experience in all areas of the musculoskeletal system and its interactions with the nervous system, especially metabolic bone diseases, with particular emphasis on osteoporosis. Additionally, JMNI publishes the Abstracts from the biannual meetings of the International Society of Musculoskeletal and Neuronal Interactions, and hosts Abstracts of other meetings on topics related to the aims and scope of JMNI.
×
引用
GB/T 7714-2015
复制
MLA
复制
APA
复制
导出至
BibTeX EndNote RefMan NoteFirst NoteExpress
×
提示
您的信息不完整,为了账户安全,请先补充。
现在去补充
×
提示
您因"违规操作"
具体请查看互助需知
我知道了
×
提示
确定
请完成安全验证×
copy
已复制链接
快去分享给好友吧!
我知道了
右上角分享
点击右上角分享
0
联系我们:info@booksci.cn Book学术提供免费学术资源搜索服务,方便国内外学者检索中英文文献。致力于提供最便捷和优质的服务体验。 Copyright © 2023 布克学术 All rights reserved.
京ICP备2023020795号-1
ghs 京公网安备 11010802042870号
Book学术文献互助
Book学术文献互助群
群 号:604180095
Book学术官方微信