基于症状持续时间的牙源性鼻窦炎一线治疗方法的回顾性比较。

IF 2.1 4区 医学 Q2 OTORHINOLARYNGOLOGY
Acta Otorhinolaryngologica Italica Pub Date : 2024-04-01 Epub Date: 2024-02-29 DOI:10.14639/0392-100X-N2648
Kyung Won Kwon, Jang Wook Gwak, Yoo-Sam Chung
{"title":"基于症状持续时间的牙源性鼻窦炎一线治疗方法的回顾性比较。","authors":"Kyung Won Kwon, Jang Wook Gwak, Yoo-Sam Chung","doi":"10.14639/0392-100X-N2648","DOIUrl":null,"url":null,"abstract":"<p><strong>Objectives: </strong>To investigate the clinical efficacy of dental treatment and endoscopic sinus surgery (ESS), each primary/combined treatment modality, in patients with odontogenic sinusitis (ODS), according to its phase, acute or chronic.</p><p><strong>Materials and methods: </strong>We retrospectively reviewed clinical data on 172 patients diagnosed with ODS. They were divided into two groups: acute (≤ 3 months; 90 patients) and chronic (> 3 months; 82 patients) ODS. The success rate and time to resolution of each primary/combined treatment modality were compared between the two groups.</p><p><strong>Results: </strong>In both ODS groups, the success rate was highest with combined ESS and dental therapy, followed by ESS alone and dental therapy alone. ESS outperformed dental therapy (96.6% <i>vs</i> 65.5% for acute ODS, p = 0.011; 80.6% <i>vs</i> 56.5% for chronic ODS, p = 0.046) and led to quicker resolution of symptoms for acute ODS than dental therapy (0.9 <i>vs</i> 1.7 months, p = 0.012). In the comparison between ESS alone and combined therapy, no significant difference was observed for acute ODS, whereas combined therapy demonstrated a superior success rate for chronic ODS (100% <i>vs</i> 80.6%, p = 0.046).</p><p><strong>Conclusions: </strong>In our study, the clinical utility of dental treatment and/or ESS depended on the morbidity period of ODS. For chronic ODS, combined ESS and dental treatment seems to be an effective first-line treatment.</p>","PeriodicalId":6890,"journal":{"name":"Acta Otorhinolaryngologica Italica","volume":" ","pages":"91-99"},"PeriodicalIF":2.1000,"publicationDate":"2024-04-01","publicationTypes":"Journal Article","fieldsOfStudy":null,"isOpenAccess":false,"openAccessPdf":"https://www.ncbi.nlm.nih.gov/pmc/articles/PMC11042555/pdf/","citationCount":"0","resultStr":"{\"title\":\"Retrospective comparison of first-line treatments for odontogenic sinusitis based on duration of symptoms.\",\"authors\":\"Kyung Won Kwon, Jang Wook Gwak, Yoo-Sam Chung\",\"doi\":\"10.14639/0392-100X-N2648\",\"DOIUrl\":null,\"url\":null,\"abstract\":\"<p><strong>Objectives: </strong>To investigate the clinical efficacy of dental treatment and endoscopic sinus surgery (ESS), each primary/combined treatment modality, in patients with odontogenic sinusitis (ODS), according to its phase, acute or chronic.</p><p><strong>Materials and methods: </strong>We retrospectively reviewed clinical data on 172 patients diagnosed with ODS. They were divided into two groups: acute (≤ 3 months; 90 patients) and chronic (> 3 months; 82 patients) ODS. The success rate and time to resolution of each primary/combined treatment modality were compared between the two groups.</p><p><strong>Results: </strong>In both ODS groups, the success rate was highest with combined ESS and dental therapy, followed by ESS alone and dental therapy alone. ESS outperformed dental therapy (96.6% <i>vs</i> 65.5% for acute ODS, p = 0.011; 80.6% <i>vs</i> 56.5% for chronic ODS, p = 0.046) and led to quicker resolution of symptoms for acute ODS than dental therapy (0.9 <i>vs</i> 1.7 months, p = 0.012). In the comparison between ESS alone and combined therapy, no significant difference was observed for acute ODS, whereas combined therapy demonstrated a superior success rate for chronic ODS (100% <i>vs</i> 80.6%, p = 0.046).</p><p><strong>Conclusions: </strong>In our study, the clinical utility of dental treatment and/or ESS depended on the morbidity period of ODS. For chronic ODS, combined ESS and dental treatment seems to be an effective first-line treatment.</p>\",\"PeriodicalId\":6890,\"journal\":{\"name\":\"Acta Otorhinolaryngologica Italica\",\"volume\":\" \",\"pages\":\"91-99\"},\"PeriodicalIF\":2.1000,\"publicationDate\":\"2024-04-01\",\"publicationTypes\":\"Journal Article\",\"fieldsOfStudy\":null,\"isOpenAccess\":false,\"openAccessPdf\":\"https://www.ncbi.nlm.nih.gov/pmc/articles/PMC11042555/pdf/\",\"citationCount\":\"0\",\"resultStr\":null,\"platform\":\"Semanticscholar\",\"paperid\":null,\"PeriodicalName\":\"Acta Otorhinolaryngologica Italica\",\"FirstCategoryId\":\"3\",\"ListUrlMain\":\"https://doi.org/10.14639/0392-100X-N2648\",\"RegionNum\":4,\"RegionCategory\":\"医学\",\"ArticlePicture\":[],\"TitleCN\":null,\"AbstractTextCN\":null,\"PMCID\":null,\"EPubDate\":\"2024/2/29 0:00:00\",\"PubModel\":\"Epub\",\"JCR\":\"Q2\",\"JCRName\":\"OTORHINOLARYNGOLOGY\",\"Score\":null,\"Total\":0}","platform":"Semanticscholar","paperid":null,"PeriodicalName":"Acta Otorhinolaryngologica Italica","FirstCategoryId":"3","ListUrlMain":"https://doi.org/10.14639/0392-100X-N2648","RegionNum":4,"RegionCategory":"医学","ArticlePicture":[],"TitleCN":null,"AbstractTextCN":null,"PMCID":null,"EPubDate":"2024/2/29 0:00:00","PubModel":"Epub","JCR":"Q2","JCRName":"OTORHINOLARYNGOLOGY","Score":null,"Total":0}
引用次数: 0

摘要

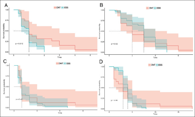
目的根据牙源性鼻窦炎(ODS)的急性期或慢性期,研究牙科治疗和内窥镜鼻窦手术(ESS)这两种主要/联合治疗方式对ODS患者的临床疗效:我们回顾性审查了 172 名确诊为 ODS 患者的临床数据。他们被分为两组:急性(≤ 3 个月;90 例)和慢性(> 3 个月;82 例)ODS 患者。比较了两组患者采用每种主要/综合治疗方法的成功率和缓解时间:在两组 ODS 患者中,ESS 和牙科疗法联合治疗的成功率最高,其次是单独使用 ESS 和单独使用牙科疗法。ESS的治疗效果优于牙科治疗(急性ODS为96.6%对65.5%,p = 0.011;慢性ODS为80.6%对56.5%,p = 0.046),而且急性ODS的症状缓解速度快于牙科治疗(0.9个月对1.7个月,p = 0.012)。在ESS单独疗法和联合疗法的比较中,急性ODS没有观察到显著差异,而联合疗法对慢性ODS的成功率更高(100% vs 80.6%,p = 0.046):在我们的研究中,牙科治疗和/或ESS的临床效用取决于ODS的发病期。对于慢性 ODS,ESS 和牙科治疗似乎是一种有效的一线治疗方法。
本文章由计算机程序翻译,如有差异,请以英文原文为准。

Retrospective comparison of first-line treatments for odontogenic sinusitis based on duration of symptoms.

Retrospective comparison of first-line treatments for odontogenic sinusitis based on duration of symptoms.

Retrospective comparison of first-line treatments for odontogenic sinusitis based on duration of symptoms.

Retrospective comparison of first-line treatments for odontogenic sinusitis based on duration of symptoms.

Objectives: To investigate the clinical efficacy of dental treatment and endoscopic sinus surgery (ESS), each primary/combined treatment modality, in patients with odontogenic sinusitis (ODS), according to its phase, acute or chronic.

Materials and methods: We retrospectively reviewed clinical data on 172 patients diagnosed with ODS. They were divided into two groups: acute (≤ 3 months; 90 patients) and chronic (> 3 months; 82 patients) ODS. The success rate and time to resolution of each primary/combined treatment modality were compared between the two groups.

Results: In both ODS groups, the success rate was highest with combined ESS and dental therapy, followed by ESS alone and dental therapy alone. ESS outperformed dental therapy (96.6% vs 65.5% for acute ODS, p = 0.011; 80.6% vs 56.5% for chronic ODS, p = 0.046) and led to quicker resolution of symptoms for acute ODS than dental therapy (0.9 vs 1.7 months, p = 0.012). In the comparison between ESS alone and combined therapy, no significant difference was observed for acute ODS, whereas combined therapy demonstrated a superior success rate for chronic ODS (100% vs 80.6%, p = 0.046).

Conclusions: In our study, the clinical utility of dental treatment and/or ESS depended on the morbidity period of ODS. For chronic ODS, combined ESS and dental treatment seems to be an effective first-line treatment.

求助全文
通过发布文献求助,成功后即可免费获取论文全文。 去求助
来源期刊
Acta Otorhinolaryngologica Italica
Acta Otorhinolaryngologica Italica OTORHINOLARYNGOLOGY-
CiteScore
3.40
自引率
10.00%
发文量
97
审稿时长
6-12 weeks
期刊介绍: Acta Otorhinolaryngologica Italica first appeared as “Annali di Laringologia Otologia e Faringologia” and was founded in 1901 by Giulio Masini. It is the official publication of the Italian Hospital Otology Association (A.O.O.I.) and, since 1976, also of the Società Italiana di Otorinolaringoiatria e Chirurgia Cervico-Facciale (S.I.O.Ch.C.-F.). The journal publishes original articles (clinical trials, cohort studies, case-control studies, cross-sectional surveys, and diagnostic test assessments) of interest in the field of otorhinolaryngology as well as clinical techniques and technology (a short report of unique or original methods for surgical techniques, medical management or new devices or technology), editorials (including editorial guests – special contribution) and letters to the Editor-in-Chief. Articles concerning science investigations and well prepared systematic reviews (including meta-analyses) on themes related to basic science, clinical otorhinolaryngology and head and neck surgery have high priority.
×
引用
GB/T 7714-2015
复制
MLA
复制
APA
复制
导出至
BibTeX EndNote RefMan NoteFirst NoteExpress
×
提示
您的信息不完整,为了账户安全,请先补充。
现在去补充
×
提示
您因"违规操作"
具体请查看互助需知
我知道了
×
提示
确定
请完成安全验证×
copy
已复制链接
快去分享给好友吧!
我知道了
右上角分享
点击右上角分享
0
联系我们:info@booksci.cn Book学术提供免费学术资源搜索服务,方便国内外学者检索中英文文献。致力于提供最便捷和优质的服务体验。 Copyright © 2023 布克学术 All rights reserved.
京ICP备2023020795号-1
ghs 京公网安备 11010802042870号
Book学术文献互助
Book学术文献互助群
群 号:604180095
Book学术官方微信