阿根廷队列中法布里病 "可耐受 "米加司他患者的基线特征

IF 1.5 Q4 PUBLIC, ENVIRONMENTAL & OCCUPATIONAL HEALTH
Global Health Epidemiology and Genomics Pub Date : 2024-02-19 eCollection Date: 2024-01-01 DOI:10.1155/2024/9293896
Sebastián Jaurretche, Santiago Alonso, Mónica Calvo, Sebastián Fernandez, Heber Figueredo, Beatriz Galli, Ivanna Marin, Andrés Martinez, Silvia Mattausch, Fernando Perretta, Juan Politei, Juan Ignacio Rolon, Esteban Calabrese
{"title":"阿根廷队列中法布里病 \"可耐受 \"米加司他患者的基线特征","authors":"Sebastián Jaurretche, Santiago Alonso, Mónica Calvo, Sebastián Fernandez, Heber Figueredo, Beatriz Galli, Ivanna Marin, Andrés Martinez, Silvia Mattausch, Fernando Perretta, Juan Politei, Juan Ignacio Rolon, Esteban Calabrese","doi":"10.1155/2024/9293896","DOIUrl":null,"url":null,"abstract":"<p><p>Fabry disease (FD) is a multisystem lysosomal storage disorder induced by genetic variants in the alpha-galactosidase A (<i>α</i>GalA) gene. Some FD patients have GLA variants with a reduction in overall <i>α</i>GalA enzymatic activity due to mutated proteins with reduced stability, caused by protein misfolding and premature degradation, but the <i>α</i>GalA catalytic activity remains conserved (\"amenable\" genetic variants). To correct this misfolding and to prevent premature degradation, migalastat, a small iminosugar molecule was developed. We report the clinical characteristics of FD \"amenable\" cohort patients from Argentina, prior to starting treatment with migalastat. Seventeen Fabry adult patients were recruited from 13 Argentinian Centers; 8 males (47.1%) and 9 females (52.9%) were included. All genotypes included were missense-type \"amenables\" mutations. Some classic FD typical early manifestations were more frequent in patients with \"classic\" versus \"late-onset\" FD phenotype (pain, <i>p</i>=0.002; cornea verticillata, <i>p</i>=0.019). There was a statistically significant difference in estimated glomerular filtration rate in the \"classic\" versus \"late-onset\" phenotype (<i>p</i>=0.026) but no difference between genders (<i>p</i>=0.695). Left ventricular mass was similar between genders (<i>p</i>=0.145) and phenotypes (<i>p</i>=0.303). Cardiovascular risk factors were present among \"late-onset\" females (obesity 50% and smoke 25%). In patients who started \"de novo\" migalastat, the main indications were (i) heart disease, (ii) kidney damage, and (iii) pain, while in \"switched from prior enzyme replacement therapy\" patients, the most frequent indication was \"patient decision;\" this coincides with publications by other authors.</p>","PeriodicalId":44052,"journal":{"name":"Global Health Epidemiology and Genomics","volume":"2024 ","pages":"9293896"},"PeriodicalIF":1.5000,"publicationDate":"2024-02-19","publicationTypes":"Journal Article","fieldsOfStudy":null,"isOpenAccess":false,"openAccessPdf":"https://www.ncbi.nlm.nih.gov/pmc/articles/PMC10896645/pdf/","citationCount":"0","resultStr":"{\"title\":\"Baseline Characteristics of Fabry Disease \\\"Amenable\\\" Migalastat Patients in Argentinian Cohort.\",\"authors\":\"Sebastián Jaurretche, Santiago Alonso, Mónica Calvo, Sebastián Fernandez, Heber Figueredo, Beatriz Galli, Ivanna Marin, Andrés Martinez, Silvia Mattausch, Fernando Perretta, Juan Politei, Juan Ignacio Rolon, Esteban Calabrese\",\"doi\":\"10.1155/2024/9293896\",\"DOIUrl\":null,\"url\":null,\"abstract\":\"<p><p>Fabry disease (FD) is a multisystem lysosomal storage disorder induced by genetic variants in the alpha-galactosidase A (<i>α</i>GalA) gene. Some FD patients have GLA variants with a reduction in overall <i>α</i>GalA enzymatic activity due to mutated proteins with reduced stability, caused by protein misfolding and premature degradation, but the <i>α</i>GalA catalytic activity remains conserved (\\\"amenable\\\" genetic variants). To correct this misfolding and to prevent premature degradation, migalastat, a small iminosugar molecule was developed. We report the clinical characteristics of FD \\\"amenable\\\" cohort patients from Argentina, prior to starting treatment with migalastat. Seventeen Fabry adult patients were recruited from 13 Argentinian Centers; 8 males (47.1%) and 9 females (52.9%) were included. All genotypes included were missense-type \\\"amenables\\\" mutations. Some classic FD typical early manifestations were more frequent in patients with \\\"classic\\\" versus \\\"late-onset\\\" FD phenotype (pain, <i>p</i>=0.002; cornea verticillata, <i>p</i>=0.019). There was a statistically significant difference in estimated glomerular filtration rate in the \\\"classic\\\" versus \\\"late-onset\\\" phenotype (<i>p</i>=0.026) but no difference between genders (<i>p</i>=0.695). Left ventricular mass was similar between genders (<i>p</i>=0.145) and phenotypes (<i>p</i>=0.303). Cardiovascular risk factors were present among \\\"late-onset\\\" females (obesity 50% and smoke 25%). In patients who started \\\"de novo\\\" migalastat, the main indications were (i) heart disease, (ii) kidney damage, and (iii) pain, while in \\\"switched from prior enzyme replacement therapy\\\" patients, the most frequent indication was \\\"patient decision;\\\" this coincides with publications by other authors.</p>\",\"PeriodicalId\":44052,\"journal\":{\"name\":\"Global Health Epidemiology and Genomics\",\"volume\":\"2024 \",\"pages\":\"9293896\"},\"PeriodicalIF\":1.5000,\"publicationDate\":\"2024-02-19\",\"publicationTypes\":\"Journal Article\",\"fieldsOfStudy\":null,\"isOpenAccess\":false,\"openAccessPdf\":\"https://www.ncbi.nlm.nih.gov/pmc/articles/PMC10896645/pdf/\",\"citationCount\":\"0\",\"resultStr\":null,\"platform\":\"Semanticscholar\",\"paperid\":null,\"PeriodicalName\":\"Global Health Epidemiology and Genomics\",\"FirstCategoryId\":\"1085\",\"ListUrlMain\":\"https://doi.org/10.1155/2024/9293896\",\"RegionNum\":0,\"RegionCategory\":null,\"ArticlePicture\":[],\"TitleCN\":null,\"AbstractTextCN\":null,\"PMCID\":null,\"EPubDate\":\"2024/1/1 0:00:00\",\"PubModel\":\"eCollection\",\"JCR\":\"Q4\",\"JCRName\":\"PUBLIC, ENVIRONMENTAL & OCCUPATIONAL HEALTH\",\"Score\":null,\"Total\":0}","platform":"Semanticscholar","paperid":null,"PeriodicalName":"Global Health Epidemiology and Genomics","FirstCategoryId":"1085","ListUrlMain":"https://doi.org/10.1155/2024/9293896","RegionNum":0,"RegionCategory":null,"ArticlePicture":[],"TitleCN":null,"AbstractTextCN":null,"PMCID":null,"EPubDate":"2024/1/1 0:00:00","PubModel":"eCollection","JCR":"Q4","JCRName":"PUBLIC, ENVIRONMENTAL & OCCUPATIONAL HEALTH","Score":null,"Total":0}
引用次数: 0

摘要

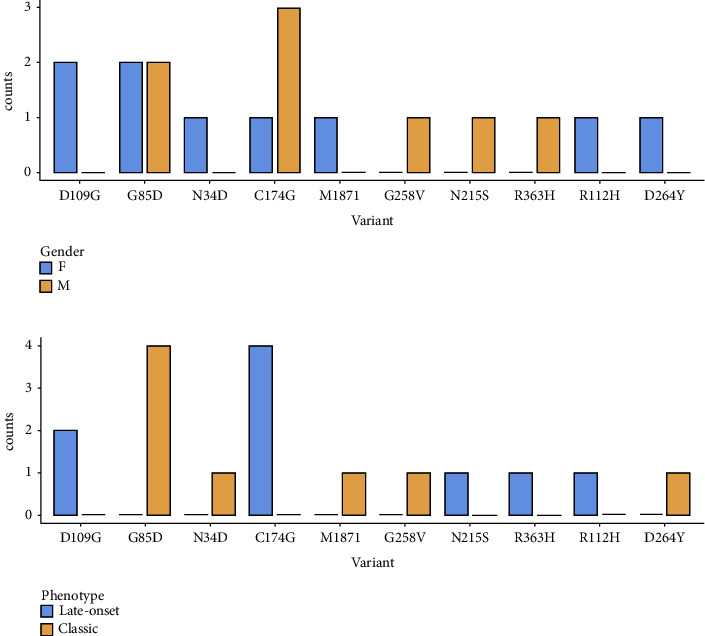
法布里病(FD)是一种多系统溶酶体贮积症,由α-半乳糖苷酶 A(αGalA)基因的遗传变异诱发。一些 FD 患者的 GLA 基因变异会导致αGalA 整体酶活性降低,这是因为变异蛋白质的稳定性降低,导致蛋白质错误折叠和过早降解,但αGalA 的催化活性仍然保持不变("可适应 "基因变异)。为了纠正这种错误折叠并防止过早降解,我们开发了一种亚氨基糖小分子--米加司他。我们报告了阿根廷法布里 "适应 "队列患者在开始使用米格司他治疗前的临床特征。我们从 13 个阿根廷中心招募了 17 名法布里成年患者,其中男性 8 名(占 47.1%),女性 9 名(占 52.9%)。所有基因型均为错义型 "可适应 "突变。与 "晚发 "FD表型相比,"典型 "FD患者的一些典型早期表现更为常见(疼痛,p=0.002;角膜眩晕,p=0.019)。经典 "表型与 "晚发 "表型的估计肾小球滤过率差异有统计学意义(p=0.026),但性别间无差异(p=0.695)。不同性别(p=0.145)和表型(p=0.303)的左心室质量相似。晚发 "女性存在心血管风险因素(肥胖占 50%,吸烟占 25%)。在 "从头开始 "使用米加司他的患者中,主要适应症是(i)心脏病、(ii)肾脏损伤和(iii)疼痛,而在 "从之前的酶替代疗法转换而来 "的患者中,最常见的适应症是 "患者决定";这与其他作者发表的文章不谋而合。
本文章由计算机程序翻译,如有差异,请以英文原文为准。

Baseline Characteristics of Fabry Disease "Amenable" Migalastat Patients in Argentinian Cohort.

Baseline Characteristics of Fabry Disease "Amenable" Migalastat Patients in Argentinian Cohort.

Baseline Characteristics of Fabry Disease "Amenable" Migalastat Patients in Argentinian Cohort.

Baseline Characteristics of Fabry Disease "Amenable" Migalastat Patients in Argentinian Cohort.

Fabry disease (FD) is a multisystem lysosomal storage disorder induced by genetic variants in the alpha-galactosidase A (αGalA) gene. Some FD patients have GLA variants with a reduction in overall αGalA enzymatic activity due to mutated proteins with reduced stability, caused by protein misfolding and premature degradation, but the αGalA catalytic activity remains conserved ("amenable" genetic variants). To correct this misfolding and to prevent premature degradation, migalastat, a small iminosugar molecule was developed. We report the clinical characteristics of FD "amenable" cohort patients from Argentina, prior to starting treatment with migalastat. Seventeen Fabry adult patients were recruited from 13 Argentinian Centers; 8 males (47.1%) and 9 females (52.9%) were included. All genotypes included were missense-type "amenables" mutations. Some classic FD typical early manifestations were more frequent in patients with "classic" versus "late-onset" FD phenotype (pain, p=0.002; cornea verticillata, p=0.019). There was a statistically significant difference in estimated glomerular filtration rate in the "classic" versus "late-onset" phenotype (p=0.026) but no difference between genders (p=0.695). Left ventricular mass was similar between genders (p=0.145) and phenotypes (p=0.303). Cardiovascular risk factors were present among "late-onset" females (obesity 50% and smoke 25%). In patients who started "de novo" migalastat, the main indications were (i) heart disease, (ii) kidney damage, and (iii) pain, while in "switched from prior enzyme replacement therapy" patients, the most frequent indication was "patient decision;" this coincides with publications by other authors.

求助全文
通过发布文献求助,成功后即可免费获取论文全文。 去求助
来源期刊
Global Health Epidemiology and Genomics
Global Health Epidemiology and Genomics PUBLIC, ENVIRONMENTAL & OCCUPATIONAL HEALTH-
CiteScore
1.40
自引率
0.00%
发文量
10
审稿时长
20 weeks
×
引用
GB/T 7714-2015
复制
MLA
复制
APA
复制
导出至
BibTeX EndNote RefMan NoteFirst NoteExpress
×
提示
您的信息不完整,为了账户安全,请先补充。
现在去补充
×
提示
您因"违规操作"
具体请查看互助需知
我知道了
×
提示
确定
请完成安全验证×
copy
已复制链接
快去分享给好友吧!
我知道了
右上角分享
点击右上角分享
0
联系我们:info@booksci.cn Book学术提供免费学术资源搜索服务,方便国内外学者检索中英文文献。致力于提供最便捷和优质的服务体验。 Copyright © 2023 布克学术 All rights reserved.
京ICP备2023020795号-1
ghs 京公网安备 11010802042870号
Book学术文献互助
Book学术文献互助群
群 号:604180095
Book学术官方微信