特定泳姿临界速度测试:平衡可行性与科学严谨性。

IF 2.8 3区 医学 Q2 SPORT SCIENCES
Journal of Human Kinetics Pub Date : 2023-11-28 eCollection Date: 2024-01-01 DOI:10.5114/jhk/170882
Ben E Scott, Richard Burden, Jeanne Dekerle
{"title":"特定泳姿临界速度测试:平衡可行性与科学严谨性。","authors":"Ben E Scott, Richard Burden, Jeanne Dekerle","doi":"10.5114/jhk/170882","DOIUrl":null,"url":null,"abstract":"<p><p>This study aimed to assess the reliability of a two-distance critical speed protocol in the specialist strokes of national-level swimmers and understand the practical feasibility of extending the protocol to increase its validity. Thirty-two national-level swimmers (butterfly n = 7; backstroke n = 8; breaststroke n = 7; front crawl n = 10) swum three 200-m and three 400-m performance trials over a three-week period. Critical speed and supra-critical speed distance capacity were computed from the linear modelling of the distance-time relationship. Swimmers were subsequently asked whether they felt they could or would want to complete an 800-m trial as part of a three-distance critical speed protocol to enhance validity. Both 200-m and 400-m performances (coefficient of variation of < 2%) and derived critical speed (typical error of ≤ 0.04 m·s<sup>-1</sup>; coefficient of variation of < 4%) were reliable for all strokes, while supra-critical speed distance capacity (typical error from 4 to 9 m; coefficient of variation from 13 to 45%) was not reliable. Response rates to the follow-up questions were 100%. Few butterfly swimmers said they felt they could complete an 800-m performance trial (39%), with more positive responses for breaststroke (71%), backstroke (100%), and front crawl swimmers (100%). Butterfly swimmers were significantly less likely to say they could or would want to complete an 800-m trial than backstroke and front crawl swimmers (p < 0.05). Including a third distance 800-m trial to increase critical speed validity would not be acceptable to butterfly swimmers, would be challenging to breaststroke swimmers, but would be acceptable to front crawl and backstroke swimmers.</p>","PeriodicalId":16055,"journal":{"name":"Journal of Human Kinetics","volume":"90 ","pages":"239-251"},"PeriodicalIF":2.8000,"publicationDate":"2023-11-28","publicationTypes":"Journal Article","fieldsOfStudy":null,"isOpenAccess":false,"openAccessPdf":"https://www.ncbi.nlm.nih.gov/pmc/articles/PMC10875687/pdf/","citationCount":"0","resultStr":"{\"title\":\"Stroke-Specific Swimming Critical Speed Testing: Balancing Feasibility and Scientific Rigour.\",\"authors\":\"Ben E Scott, Richard Burden, Jeanne Dekerle\",\"doi\":\"10.5114/jhk/170882\",\"DOIUrl\":null,\"url\":null,\"abstract\":\"<p><p>This study aimed to assess the reliability of a two-distance critical speed protocol in the specialist strokes of national-level swimmers and understand the practical feasibility of extending the protocol to increase its validity. Thirty-two national-level swimmers (butterfly n = 7; backstroke n = 8; breaststroke n = 7; front crawl n = 10) swum three 200-m and three 400-m performance trials over a three-week period. Critical speed and supra-critical speed distance capacity were computed from the linear modelling of the distance-time relationship. Swimmers were subsequently asked whether they felt they could or would want to complete an 800-m trial as part of a three-distance critical speed protocol to enhance validity. Both 200-m and 400-m performances (coefficient of variation of < 2%) and derived critical speed (typical error of ≤ 0.04 m·s<sup>-1</sup>; coefficient of variation of < 4%) were reliable for all strokes, while supra-critical speed distance capacity (typical error from 4 to 9 m; coefficient of variation from 13 to 45%) was not reliable. Response rates to the follow-up questions were 100%. Few butterfly swimmers said they felt they could complete an 800-m performance trial (39%), with more positive responses for breaststroke (71%), backstroke (100%), and front crawl swimmers (100%). Butterfly swimmers were significantly less likely to say they could or would want to complete an 800-m trial than backstroke and front crawl swimmers (p < 0.05). Including a third distance 800-m trial to increase critical speed validity would not be acceptable to butterfly swimmers, would be challenging to breaststroke swimmers, but would be acceptable to front crawl and backstroke swimmers.</p>\",\"PeriodicalId\":16055,\"journal\":{\"name\":\"Journal of Human Kinetics\",\"volume\":\"90 \",\"pages\":\"239-251\"},\"PeriodicalIF\":2.8000,\"publicationDate\":\"2023-11-28\",\"publicationTypes\":\"Journal Article\",\"fieldsOfStudy\":null,\"isOpenAccess\":false,\"openAccessPdf\":\"https://www.ncbi.nlm.nih.gov/pmc/articles/PMC10875687/pdf/\",\"citationCount\":\"0\",\"resultStr\":null,\"platform\":\"Semanticscholar\",\"paperid\":null,\"PeriodicalName\":\"Journal of Human Kinetics\",\"FirstCategoryId\":\"3\",\"ListUrlMain\":\"https://doi.org/10.5114/jhk/170882\",\"RegionNum\":3,\"RegionCategory\":\"医学\",\"ArticlePicture\":[],\"TitleCN\":null,\"AbstractTextCN\":null,\"PMCID\":null,\"EPubDate\":\"2024/1/1 0:00:00\",\"PubModel\":\"eCollection\",\"JCR\":\"Q2\",\"JCRName\":\"SPORT SCIENCES\",\"Score\":null,\"Total\":0}","platform":"Semanticscholar","paperid":null,"PeriodicalName":"Journal of Human Kinetics","FirstCategoryId":"3","ListUrlMain":"https://doi.org/10.5114/jhk/170882","RegionNum":3,"RegionCategory":"医学","ArticlePicture":[],"TitleCN":null,"AbstractTextCN":null,"PMCID":null,"EPubDate":"2024/1/1 0:00:00","PubModel":"eCollection","JCR":"Q2","JCRName":"SPORT SCIENCES","Score":null,"Total":0}
引用次数: 0

摘要

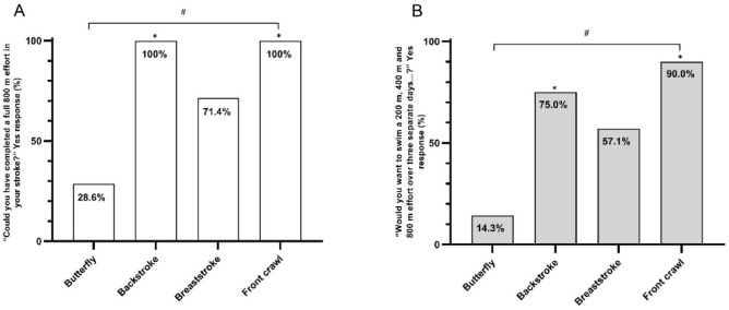
本研究旨在评估国家级游泳运动员在专业泳姿中双距离临界速度方案的可靠性,并了解扩展该方案以提高其有效性的实际可行性。32名国家级游泳运动员(蝶泳7人;仰泳8人;蛙泳7人;前爬10人)在三周内进行了三次200米和三次400米的成绩测试。根据距离-时间关系的线性模型计算出临界速度和超临界速度距离容量。随后,游泳运动员被问及他们是否认为可以或愿意完成 800 米测试,作为三距离临界速度协议的一部分,以提高有效性。所有泳姿的 200 米和 400 米成绩(变异系数小于 2%)和得出的临界速度(典型误差小于 0.04 m-s-1;变异系数小于 4%)都是可靠的,而超临界速度距离能力(典型误差为 4 至 9 米;变异系数为 13 至 45%)则不可靠。对后续问题的回答率为 100%。很少有蝶泳运动员表示他们认为自己可以完成 800 米的成绩测试(39%),而蛙泳(71%)、仰泳(100%)和前爬泳(100%)运动员的回答则更为积极。与仰泳和前爬泳游泳者相比,蝶泳游泳者表示可以或愿意完成 800 米测试的比例明显较低(P < 0.05)。蝶泳运动员无法接受加入第三个 800 米距离测试以提高临界速度的有效性,蛙泳运动员则认为这具有挑战性,但前爬泳和仰泳运动员则认为可以接受。
本文章由计算机程序翻译,如有差异,请以英文原文为准。

Stroke-Specific Swimming Critical Speed Testing: Balancing Feasibility and Scientific Rigour.

Stroke-Specific Swimming Critical Speed Testing: Balancing Feasibility and Scientific Rigour.

Stroke-Specific Swimming Critical Speed Testing: Balancing Feasibility and Scientific Rigour.

This study aimed to assess the reliability of a two-distance critical speed protocol in the specialist strokes of national-level swimmers and understand the practical feasibility of extending the protocol to increase its validity. Thirty-two national-level swimmers (butterfly n = 7; backstroke n = 8; breaststroke n = 7; front crawl n = 10) swum three 200-m and three 400-m performance trials over a three-week period. Critical speed and supra-critical speed distance capacity were computed from the linear modelling of the distance-time relationship. Swimmers were subsequently asked whether they felt they could or would want to complete an 800-m trial as part of a three-distance critical speed protocol to enhance validity. Both 200-m and 400-m performances (coefficient of variation of < 2%) and derived critical speed (typical error of ≤ 0.04 m·s-1; coefficient of variation of < 4%) were reliable for all strokes, while supra-critical speed distance capacity (typical error from 4 to 9 m; coefficient of variation from 13 to 45%) was not reliable. Response rates to the follow-up questions were 100%. Few butterfly swimmers said they felt they could complete an 800-m performance trial (39%), with more positive responses for breaststroke (71%), backstroke (100%), and front crawl swimmers (100%). Butterfly swimmers were significantly less likely to say they could or would want to complete an 800-m trial than backstroke and front crawl swimmers (p < 0.05). Including a third distance 800-m trial to increase critical speed validity would not be acceptable to butterfly swimmers, would be challenging to breaststroke swimmers, but would be acceptable to front crawl and backstroke swimmers.

求助全文
通过发布文献求助,成功后即可免费获取论文全文。 去求助
来源期刊
Journal of Human Kinetics
Journal of Human Kinetics 医学-运动科学
CiteScore
4.80
自引率
0.00%
发文量
83
审稿时长
3 months
期刊介绍: The Journal of Human Kinetics is an open access interdisciplinary periodical offering the latest research in the science of human movement studies. This comprehensive professional journal features articles and research notes encompassing such topic areas as: Kinesiology, Exercise Physiology and Nutrition, Sports Training and Behavioural Sciences in Sport, but especially considering elite and competitive aspects of sport. The journal publishes original papers, invited reviews, short communications and letters to the Editors. Manuscripts submitted to the journal must contain novel data on theoretical or experimental research or on practical applications in the field of sport sciences. The Journal of Human Kinetics is published in March, June, September and December. We encourage scientists from around the world to submit their papers to our periodical.
×
引用
GB/T 7714-2015
复制
MLA
复制
APA
复制
导出至
BibTeX EndNote RefMan NoteFirst NoteExpress
×
提示
您的信息不完整,为了账户安全,请先补充。
现在去补充
×
提示
您因"违规操作"
具体请查看互助需知
我知道了
×
提示
确定
请完成安全验证×
copy
已复制链接
快去分享给好友吧!
我知道了
右上角分享
点击右上角分享
0
联系我们:info@booksci.cn Book学术提供免费学术资源搜索服务,方便国内外学者检索中英文文献。致力于提供最便捷和优质的服务体验。 Copyright © 2023 布克学术 All rights reserved.
京ICP备2023020795号-1
ghs 京公网安备 11010802042870号
Book学术文献互助
Book学术文献互助群
群 号:604180095
Book学术官方微信