呼气末憋气达到临界点的超极限跑步运动的生理反应。

IF 2.8 3区 医学 Q2 SPORT SCIENCES
Journal of Human Kinetics Pub Date : 2023-11-28 eCollection Date: 2024-01-01 DOI:10.5114/jhk/174465
Xavier Woorons, Frédéric Daussin, Adrien Combes, Patrick Mucci
{"title":"呼气末憋气达到临界点的超极限跑步运动的生理反应。","authors":"Xavier Woorons, Frédéric Daussin, Adrien Combes, Patrick Mucci","doi":"10.5114/jhk/174465","DOIUrl":null,"url":null,"abstract":"<p><p>This study aimed to assess the physiological responses to repeated running exercise performed at supramaximal intensity and with end-expiratory breath holding (EEBH) up to the breaking point. Eight male runners participated in two running testing sessions on a motorized treadmill. In the first session, participants performed two sets of 8 repetitions at 125% of maximal aerobic velocity and with maximum EEBH. Each repetition started at the onset of EEBH and ended at its release. In the second session, participants replicated the same procedure, but with unrestricted breathing (URB). The change in cerebral and muscle oxygenation (Δ[Hb<sub>diff</sub>]), total haemoglobin concentration (Δ[THb]) and muscle reoxygenation were continuously assessed. End-tidal oxygen (PETO<sub>2</sub>) and carbon dioxide pressure (PETCO<sub>2</sub>), arterial oxygen saturation (SpO<sub>2</sub>) and heart rate (HR) were also measured throughout exercise.On average, EEBH was maintained for 10.1 ± 1 s. At the breaking point of EEBH, PETO<sub>2</sub> decreased to 54.1 ± 8 mmHg, whereas PETCO<sub>2</sub> increased to 74.8 ± 3.1 mmHg. At the end of repetitions, SpO<sub>2</sub> (nadir values 74.9 ± 5.0 vs. 95.7 ± 0.8%) and HR were lower with EEBH than with URB. Cerebral and muscle Δ[Hb<sub>diff</sub>] were also lower with EEBH, whereas this condition induced higher cerebral and muscle Δ[THb] and greater muscle reoxygenation. This study showed that performing repeated bouts of supramaximal running exercises with EEBH up to the breaking point induced a fall in arterial, cerebral and muscle oxygenation compared with the URB condition. These phenomena were accompanied by increases in regional blood volume likely resulting from compensatory vasodilation to preserve oxygen delivery to the brain and muscles.</p>","PeriodicalId":16055,"journal":{"name":"Journal of Human Kinetics","volume":"90 ","pages":"111-123"},"PeriodicalIF":2.8000,"publicationDate":"2023-11-28","publicationTypes":"Journal Article","fieldsOfStudy":null,"isOpenAccess":false,"openAccessPdf":"https://www.ncbi.nlm.nih.gov/pmc/articles/PMC10875693/pdf/","citationCount":"0","resultStr":"{\"title\":\"Physiological Responses to Supramaximal Running Exercise with End-Expiratory Breath Holding up to the Breaking Point.\",\"authors\":\"Xavier Woorons, Frédéric Daussin, Adrien Combes, Patrick Mucci\",\"doi\":\"10.5114/jhk/174465\",\"DOIUrl\":null,\"url\":null,\"abstract\":\"<p><p>This study aimed to assess the physiological responses to repeated running exercise performed at supramaximal intensity and with end-expiratory breath holding (EEBH) up to the breaking point. Eight male runners participated in two running testing sessions on a motorized treadmill. In the first session, participants performed two sets of 8 repetitions at 125% of maximal aerobic velocity and with maximum EEBH. Each repetition started at the onset of EEBH and ended at its release. In the second session, participants replicated the same procedure, but with unrestricted breathing (URB). The change in cerebral and muscle oxygenation (Δ[Hb<sub>diff</sub>]), total haemoglobin concentration (Δ[THb]) and muscle reoxygenation were continuously assessed. End-tidal oxygen (PETO<sub>2</sub>) and carbon dioxide pressure (PETCO<sub>2</sub>), arterial oxygen saturation (SpO<sub>2</sub>) and heart rate (HR) were also measured throughout exercise.On average, EEBH was maintained for 10.1 ± 1 s. At the breaking point of EEBH, PETO<sub>2</sub> decreased to 54.1 ± 8 mmHg, whereas PETCO<sub>2</sub> increased to 74.8 ± 3.1 mmHg. At the end of repetitions, SpO<sub>2</sub> (nadir values 74.9 ± 5.0 vs. 95.7 ± 0.8%) and HR were lower with EEBH than with URB. Cerebral and muscle Δ[Hb<sub>diff</sub>] were also lower with EEBH, whereas this condition induced higher cerebral and muscle Δ[THb] and greater muscle reoxygenation. This study showed that performing repeated bouts of supramaximal running exercises with EEBH up to the breaking point induced a fall in arterial, cerebral and muscle oxygenation compared with the URB condition. These phenomena were accompanied by increases in regional blood volume likely resulting from compensatory vasodilation to preserve oxygen delivery to the brain and muscles.</p>\",\"PeriodicalId\":16055,\"journal\":{\"name\":\"Journal of Human Kinetics\",\"volume\":\"90 \",\"pages\":\"111-123\"},\"PeriodicalIF\":2.8000,\"publicationDate\":\"2023-11-28\",\"publicationTypes\":\"Journal Article\",\"fieldsOfStudy\":null,\"isOpenAccess\":false,\"openAccessPdf\":\"https://www.ncbi.nlm.nih.gov/pmc/articles/PMC10875693/pdf/\",\"citationCount\":\"0\",\"resultStr\":null,\"platform\":\"Semanticscholar\",\"paperid\":null,\"PeriodicalName\":\"Journal of Human Kinetics\",\"FirstCategoryId\":\"3\",\"ListUrlMain\":\"https://doi.org/10.5114/jhk/174465\",\"RegionNum\":3,\"RegionCategory\":\"医学\",\"ArticlePicture\":[],\"TitleCN\":null,\"AbstractTextCN\":null,\"PMCID\":null,\"EPubDate\":\"2024/1/1 0:00:00\",\"PubModel\":\"eCollection\",\"JCR\":\"Q2\",\"JCRName\":\"SPORT SCIENCES\",\"Score\":null,\"Total\":0}","platform":"Semanticscholar","paperid":null,"PeriodicalName":"Journal of Human Kinetics","FirstCategoryId":"3","ListUrlMain":"https://doi.org/10.5114/jhk/174465","RegionNum":3,"RegionCategory":"医学","ArticlePicture":[],"TitleCN":null,"AbstractTextCN":null,"PMCID":null,"EPubDate":"2024/1/1 0:00:00","PubModel":"eCollection","JCR":"Q2","JCRName":"SPORT SCIENCES","Score":null,"Total":0}
引用次数: 0

摘要

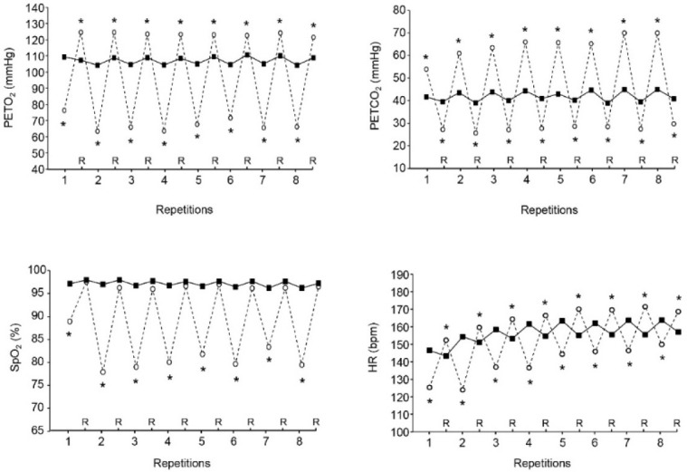
本研究旨在评估超大强度反复跑步运动和呼气末屏气(EEBH)达到极限时的生理反应。八名男性跑步者在电动跑步机上进行了两次跑步测试。在第一个环节中,参与者以最大有氧速度的 125% 和最大 EEBH 进行了两组共 8 次重复训练。每次重复都在 EEBH 开始时开始,在 EEBH 释放时结束。在第二次训练中,参与者重复同样的程序,但呼吸不受限制(URB)。连续评估脑氧合和肌肉氧合(Δ[Hbdiff])、总血红蛋白浓度(Δ[THb])和肌肉复氧的变化。在整个运动过程中,还测量了潮气末氧(PETO2)和二氧化碳压力(PETCO2)、动脉血氧饱和度(SpO2)和心率(HR)。在 EEBH 临界点,PETO2 降至 54.1 ± 8 mmHg,而 PETCO2 升至 74.8 ± 3.1 mmHg。重复结束时,EEBH 的 SpO2(最低值为 74.9 ± 5.0 vs. 95.7 ± 0.8%)和心率低于 URB。EEBH时的大脑和肌肉Δ[Hbdiff]也较低,而这种情况下大脑和肌肉Δ[THb]较高,肌肉复氧较多。这项研究表明,与 URB 条件相比,在 EEBH 条件下反复进行超大负荷跑步练习直至达到极限时,会导致动脉、大脑和肌肉氧合下降。这些现象伴随着区域血容量的增加,这可能是由于代偿性血管扩张导致的,以保持向大脑和肌肉输送氧气。
本文章由计算机程序翻译,如有差异,请以英文原文为准。

Physiological Responses to Supramaximal Running Exercise with End-Expiratory Breath Holding up to the Breaking Point.

Physiological Responses to Supramaximal Running Exercise with End-Expiratory Breath Holding up to the Breaking Point.

Physiological Responses to Supramaximal Running Exercise with End-Expiratory Breath Holding up to the Breaking Point.

This study aimed to assess the physiological responses to repeated running exercise performed at supramaximal intensity and with end-expiratory breath holding (EEBH) up to the breaking point. Eight male runners participated in two running testing sessions on a motorized treadmill. In the first session, participants performed two sets of 8 repetitions at 125% of maximal aerobic velocity and with maximum EEBH. Each repetition started at the onset of EEBH and ended at its release. In the second session, participants replicated the same procedure, but with unrestricted breathing (URB). The change in cerebral and muscle oxygenation (Δ[Hbdiff]), total haemoglobin concentration (Δ[THb]) and muscle reoxygenation were continuously assessed. End-tidal oxygen (PETO2) and carbon dioxide pressure (PETCO2), arterial oxygen saturation (SpO2) and heart rate (HR) were also measured throughout exercise.On average, EEBH was maintained for 10.1 ± 1 s. At the breaking point of EEBH, PETO2 decreased to 54.1 ± 8 mmHg, whereas PETCO2 increased to 74.8 ± 3.1 mmHg. At the end of repetitions, SpO2 (nadir values 74.9 ± 5.0 vs. 95.7 ± 0.8%) and HR were lower with EEBH than with URB. Cerebral and muscle Δ[Hbdiff] were also lower with EEBH, whereas this condition induced higher cerebral and muscle Δ[THb] and greater muscle reoxygenation. This study showed that performing repeated bouts of supramaximal running exercises with EEBH up to the breaking point induced a fall in arterial, cerebral and muscle oxygenation compared with the URB condition. These phenomena were accompanied by increases in regional blood volume likely resulting from compensatory vasodilation to preserve oxygen delivery to the brain and muscles.

求助全文
通过发布文献求助,成功后即可免费获取论文全文。 去求助
来源期刊
Journal of Human Kinetics
Journal of Human Kinetics 医学-运动科学
CiteScore
4.80
自引率
0.00%
发文量
83
审稿时长
3 months
期刊介绍: The Journal of Human Kinetics is an open access interdisciplinary periodical offering the latest research in the science of human movement studies. This comprehensive professional journal features articles and research notes encompassing such topic areas as: Kinesiology, Exercise Physiology and Nutrition, Sports Training and Behavioural Sciences in Sport, but especially considering elite and competitive aspects of sport. The journal publishes original papers, invited reviews, short communications and letters to the Editors. Manuscripts submitted to the journal must contain novel data on theoretical or experimental research or on practical applications in the field of sport sciences. The Journal of Human Kinetics is published in March, June, September and December. We encourage scientists from around the world to submit their papers to our periodical.
×
引用
GB/T 7714-2015
复制
MLA
复制
APA
复制
导出至
BibTeX EndNote RefMan NoteFirst NoteExpress
×
提示
您的信息不完整,为了账户安全,请先补充。
现在去补充
×
提示
您因"违规操作"
具体请查看互助需知
我知道了
×
提示
确定
请完成安全验证×
copy
已复制链接
快去分享给好友吧!
我知道了
右上角分享
点击右上角分享
0
联系我们:info@booksci.cn Book学术提供免费学术资源搜索服务,方便国内外学者检索中英文文献。致力于提供最便捷和优质的服务体验。 Copyright © 2023 布克学术 All rights reserved.
京ICP备2023020795号-1
ghs 京公网安备 11010802042870号
Book学术文献互助
Book学术文献互助群
群 号:604180095
Book学术官方微信