盲人和正常视力者在自由声场和虚拟声学中的听觉空间分辨。

IF 3 2区 医学 Q1 AUDIOLOGY & SPEECH-LANGUAGE PATHOLOGY
Stefanie Goicke, Florian Denk, Tim Jürgens
{"title":"盲人和正常视力者在自由声场和虚拟声学中的听觉空间分辨。","authors":"Stefanie Goicke, Florian Denk, Tim Jürgens","doi":"10.1177/23312165241230947","DOIUrl":null,"url":null,"abstract":"<p><p>Sound localization is an important ability in everyday life. This study investigates the influence of vision and presentation mode on auditory spatial bisection performance. Subjects were asked to identify the smaller perceived distance between three consecutive stimuli that were either presented via loudspeakers (free field) or via headphones after convolution with generic head-related impulse responses (binaural reproduction). Thirteen azimuthal sound incidence angles on a circular arc segment of ±24° at a radius of 3 m were included in three regions of space (front, rear, and laterally left). Twenty normally sighted (measured both sighted and blindfolded) and eight blind persons participated. Results showed no significant differences with respect to visual condition, but strong effects of sound direction and presentation mode. Psychometric functions were steepest in frontal space and indicated median spatial bisection thresholds of 11°-14°. Thresholds increased significantly in rear (11°-17°) and laterally left (20°-28°) space in free field. Individual pinna and torso cues, as available only in free field presentation, improved the performance of all participants compared to binaural reproduction. Especially in rear space, auditory spatial bisection thresholds were three to four times higher (i.e., poorer) using binaural reproduction than in free field. The results underline the importance of individual auditory spatial cues for spatial bisection, irrespective of access to vision, which indicates that vision may not be strictly necessary to calibrate allocentric spatial hearing.</p>","PeriodicalId":48678,"journal":{"name":"Trends in Hearing","volume":"28 ","pages":"23312165241230947"},"PeriodicalIF":3.0000,"publicationDate":"2024-01-01","publicationTypes":"Journal Article","fieldsOfStudy":null,"isOpenAccess":false,"openAccessPdf":"https://www.ncbi.nlm.nih.gov/pmc/articles/PMC10874137/pdf/","citationCount":"0","resultStr":"{\"title\":\"Auditory Spatial Bisection of Blind and Normally Sighted Individuals in Free Field and Virtual Acoustics.\",\"authors\":\"Stefanie Goicke, Florian Denk, Tim Jürgens\",\"doi\":\"10.1177/23312165241230947\",\"DOIUrl\":null,\"url\":null,\"abstract\":\"<p><p>Sound localization is an important ability in everyday life. This study investigates the influence of vision and presentation mode on auditory spatial bisection performance. Subjects were asked to identify the smaller perceived distance between three consecutive stimuli that were either presented via loudspeakers (free field) or via headphones after convolution with generic head-related impulse responses (binaural reproduction). Thirteen azimuthal sound incidence angles on a circular arc segment of ±24° at a radius of 3 m were included in three regions of space (front, rear, and laterally left). Twenty normally sighted (measured both sighted and blindfolded) and eight blind persons participated. Results showed no significant differences with respect to visual condition, but strong effects of sound direction and presentation mode. Psychometric functions were steepest in frontal space and indicated median spatial bisection thresholds of 11°-14°. Thresholds increased significantly in rear (11°-17°) and laterally left (20°-28°) space in free field. Individual pinna and torso cues, as available only in free field presentation, improved the performance of all participants compared to binaural reproduction. Especially in rear space, auditory spatial bisection thresholds were three to four times higher (i.e., poorer) using binaural reproduction than in free field. The results underline the importance of individual auditory spatial cues for spatial bisection, irrespective of access to vision, which indicates that vision may not be strictly necessary to calibrate allocentric spatial hearing.</p>\",\"PeriodicalId\":48678,\"journal\":{\"name\":\"Trends in Hearing\",\"volume\":\"28 \",\"pages\":\"23312165241230947\"},\"PeriodicalIF\":3.0000,\"publicationDate\":\"2024-01-01\",\"publicationTypes\":\"Journal Article\",\"fieldsOfStudy\":null,\"isOpenAccess\":false,\"openAccessPdf\":\"https://www.ncbi.nlm.nih.gov/pmc/articles/PMC10874137/pdf/\",\"citationCount\":\"0\",\"resultStr\":null,\"platform\":\"Semanticscholar\",\"paperid\":null,\"PeriodicalName\":\"Trends in Hearing\",\"FirstCategoryId\":\"3\",\"ListUrlMain\":\"https://doi.org/10.1177/23312165241230947\",\"RegionNum\":2,\"RegionCategory\":\"医学\",\"ArticlePicture\":[],\"TitleCN\":null,\"AbstractTextCN\":null,\"PMCID\":null,\"EPubDate\":\"\",\"PubModel\":\"\",\"JCR\":\"Q1\",\"JCRName\":\"AUDIOLOGY & SPEECH-LANGUAGE PATHOLOGY\",\"Score\":null,\"Total\":0}","platform":"Semanticscholar","paperid":null,"PeriodicalName":"Trends in Hearing","FirstCategoryId":"3","ListUrlMain":"https://doi.org/10.1177/23312165241230947","RegionNum":2,"RegionCategory":"医学","ArticlePicture":[],"TitleCN":null,"AbstractTextCN":null,"PMCID":null,"EPubDate":"","PubModel":"","JCR":"Q1","JCRName":"AUDIOLOGY & SPEECH-LANGUAGE PATHOLOGY","Score":null,"Total":0}
引用次数: 0

摘要

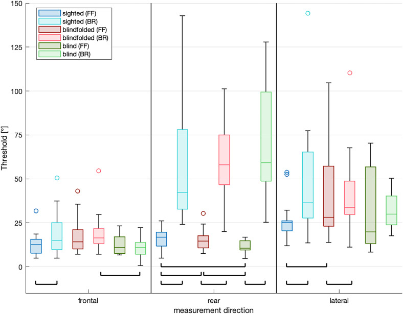
声音定位是日常生活中的一项重要能力。本研究探讨了视觉和呈现模式对听觉空间分割能力的影响。受试者被要求识别三个连续刺激物之间较小的感知距离,这三个刺激物要么通过扬声器(自由声场)呈现,要么通过耳机与一般头部相关脉冲响应卷积后呈现(双耳再现)。在半径为 3 米的±24°圆弧段上的 13 个方位角声音入射角被包含在三个空间区域(前方、后方和左侧)。20 名视力正常者(同时测量视力和蒙眼)和 8 名盲人参加了测量。结果表明,视觉条件没有明显差异,但声音方向和呈现方式有很大影响。心理测量函数在前方空间最陡峭,显示的空间分隔阈值中值为 11°-14°。在自由场中,后方(11°-17°)和左侧(20°-28°)空间的阈值明显增加。与双耳再现相比,只有在自由声场中才有的个别耳廓和躯干线索提高了所有参与者的成绩。特别是在后方空间,使用双耳再现时的听觉空间分隔阈值是自由声场时的三到四倍(即较差)。这些结果凸显了个体听觉空间线索对空间分隔的重要性,而与视觉无关,这表明视觉可能并非校准分配中心空间听觉的严格必要条件。
本文章由计算机程序翻译,如有差异,请以英文原文为准。

Auditory Spatial Bisection of Blind and Normally Sighted Individuals in Free Field and Virtual Acoustics.

Auditory Spatial Bisection of Blind and Normally Sighted Individuals in Free Field and Virtual Acoustics.

Auditory Spatial Bisection of Blind and Normally Sighted Individuals in Free Field and Virtual Acoustics.

Auditory Spatial Bisection of Blind and Normally Sighted Individuals in Free Field and Virtual Acoustics.

Sound localization is an important ability in everyday life. This study investigates the influence of vision and presentation mode on auditory spatial bisection performance. Subjects were asked to identify the smaller perceived distance between three consecutive stimuli that were either presented via loudspeakers (free field) or via headphones after convolution with generic head-related impulse responses (binaural reproduction). Thirteen azimuthal sound incidence angles on a circular arc segment of ±24° at a radius of 3 m were included in three regions of space (front, rear, and laterally left). Twenty normally sighted (measured both sighted and blindfolded) and eight blind persons participated. Results showed no significant differences with respect to visual condition, but strong effects of sound direction and presentation mode. Psychometric functions were steepest in frontal space and indicated median spatial bisection thresholds of 11°-14°. Thresholds increased significantly in rear (11°-17°) and laterally left (20°-28°) space in free field. Individual pinna and torso cues, as available only in free field presentation, improved the performance of all participants compared to binaural reproduction. Especially in rear space, auditory spatial bisection thresholds were three to four times higher (i.e., poorer) using binaural reproduction than in free field. The results underline the importance of individual auditory spatial cues for spatial bisection, irrespective of access to vision, which indicates that vision may not be strictly necessary to calibrate allocentric spatial hearing.

求助全文
通过发布文献求助,成功后即可免费获取论文全文。 去求助
来源期刊
Trends in Hearing
Trends in Hearing AUDIOLOGY & SPEECH-LANGUAGE PATHOLOGYOTORH-OTORHINOLARYNGOLOGY
CiteScore
4.50
自引率
11.10%
发文量
44
审稿时长
12 weeks
期刊介绍: Trends in Hearing is an open access journal completely dedicated to publishing original research and reviews focusing on human hearing, hearing loss, hearing aids, auditory implants, and aural rehabilitation. Under its former name, Trends in Amplification, the journal established itself as a forum for concise explorations of all areas of translational hearing research by leaders in the field. Trends in Hearing has now expanded its focus to include original research articles, with the goal of becoming the premier venue for research related to human hearing and hearing loss.
×
引用
GB/T 7714-2015
复制
MLA
复制
APA
复制
导出至
BibTeX EndNote RefMan NoteFirst NoteExpress
×
提示
您的信息不完整,为了账户安全,请先补充。
现在去补充
×
提示
您因"违规操作"
具体请查看互助需知
我知道了
×
提示
确定
请完成安全验证×
copy
已复制链接
快去分享给好友吧!
我知道了
右上角分享
点击右上角分享
0
联系我们:info@booksci.cn Book学术提供免费学术资源搜索服务,方便国内外学者检索中英文文献。致力于提供最便捷和优质的服务体验。 Copyright © 2023 布克学术 All rights reserved.
京ICP备2023020795号-1
ghs 京公网安备 11010802042870号
Book学术文献互助
Book学术文献互助群
群 号:604180095
Book学术官方微信