富脯氨酸寡肽 7a (Bothrops jararaca 蛇毒)对 M1 肌肽乙酰胆碱受体的激活作用可挽救 PC12 细胞中氧化应激诱导的神经毒性。

IF 1.8 3区 医学 Q4 TOXICOLOGY
Carlos Alberto-Silva, Halyne Queiroz Pantaleão, Brenda Rufino da Silva, Julio Cezar Araujo da Silva, Marcela Bermudez Echeverry
{"title":"富脯氨酸寡肽 7a (Bothrops jararaca 蛇毒)对 M1 肌肽乙酰胆碱受体的激活作用可挽救 PC12 细胞中氧化应激诱导的神经毒性。","authors":"Carlos Alberto-Silva, Halyne Queiroz Pantaleão, Brenda Rufino da Silva, Julio Cezar Araujo da Silva, Marcela Bermudez Echeverry","doi":"10.1590/1678-9199-JVATITD-2023-0043","DOIUrl":null,"url":null,"abstract":"<p><strong>Background: </strong>The bioactive peptides derived from snake venoms of the Viperidae family species have been promising as therapeutic candidates for neuroprotection due to their ability to prevent neuronal cell loss, injury, and death. Therefore, this study aimed to evaluate the cytoprotective effects of a synthetic proline-rich oligopeptide 7a (PRO-7a; <EDGPIPP) from <i>Bothrops jararaca</i> snake, on oxidative stress-induced toxicity in neuronal PC12 cells and astrocyte-like C6 cells.</p><p><strong>Methods: </strong>Both cells were pre-treated for four hours with different concentrations of PRO-7a, submitted to H<sub>2</sub>O<sub>2</sub>-induced damage for 20 h, and then the oxidative stress markers were analyzed. Also, two independent neuroprotective mechanisms were investigated: a) L-arginine metabolite generation via argininosuccinate synthetase (AsS) activity regulation to produce agmatine or polyamines with neuroprotective properties; b) M1 mAChR receptor subtype activation pathway to reduce oxidative stress and neuron injury.</p><p><strong>Results: </strong>PRO-7a was not cytoprotective in C6 cells, but potentiated the H<sub>2</sub>O<sub>2</sub>-induced damage to cell integrity at a concentration lower than 0.38 μM. However, PRO-7a at 1.56 µM, on the other hand, modified H<sub>2</sub>O<sub>2</sub>-induced toxicity in PC12 cells by restoring cell integrity, mitochondrial metabolism, ROS generation, and arginase indirect activity. The α-Methyl-DL-aspartic acid (MDLA) and L-N<sup>Ω</sup>-Nitroarginine methyl ester (L-Name), specific inhibitors of AsS and nitric oxide synthase (NOS), which catalyzes the synthesis of polyamines and NO from L-arginine, did not suppress PRO-7a-mediated cytoprotection against oxidative stress. It suggested that its mechanism is independent of the production of L-arginine metabolites with neuroprotective properties by increased AsS activity. On the other hand, the neuroprotective effect of PRO-7a was blocked in the presence of dicyclomine hydrochloride (DCH), an M1 mAChR antagonist.</p><p><strong>Conclusions: </strong>For the first time, this work provides evidence that PRO-7a-induced neuroprotection seems to be mediated through M1 mAChR activation in PC12 cells, which reduces oxidative stress independently of AsS activity and L-arginine bioavailability.</p>","PeriodicalId":17565,"journal":{"name":"Journal of Venomous Animals and Toxins Including Tropical Diseases","volume":"30 ","pages":"e20230043"},"PeriodicalIF":1.8000,"publicationDate":"2024-02-09","publicationTypes":"Journal Article","fieldsOfStudy":null,"isOpenAccess":false,"openAccessPdf":"https://www.ncbi.nlm.nih.gov/pmc/articles/PMC10868729/pdf/","citationCount":"0","resultStr":"{\"title\":\"Activation of M1 muscarinic acetylcholine receptors by proline-rich oligopeptide 7a (<EDGPIPP) from <i>Bothrops jararaca</i> snake venom rescues oxidative stress-induced neurotoxicity in PC12 cells.\",\"authors\":\"Carlos Alberto-Silva, Halyne Queiroz Pantaleão, Brenda Rufino da Silva, Julio Cezar Araujo da Silva, Marcela Bermudez Echeverry\",\"doi\":\"10.1590/1678-9199-JVATITD-2023-0043\",\"DOIUrl\":null,\"url\":null,\"abstract\":\"<p><strong>Background: </strong>The bioactive peptides derived from snake venoms of the Viperidae family species have been promising as therapeutic candidates for neuroprotection due to their ability to prevent neuronal cell loss, injury, and death. Therefore, this study aimed to evaluate the cytoprotective effects of a synthetic proline-rich oligopeptide 7a (PRO-7a; <EDGPIPP) from <i>Bothrops jararaca</i> snake, on oxidative stress-induced toxicity in neuronal PC12 cells and astrocyte-like C6 cells.</p><p><strong>Methods: </strong>Both cells were pre-treated for four hours with different concentrations of PRO-7a, submitted to H<sub>2</sub>O<sub>2</sub>-induced damage for 20 h, and then the oxidative stress markers were analyzed. Also, two independent neuroprotective mechanisms were investigated: a) L-arginine metabolite generation via argininosuccinate synthetase (AsS) activity regulation to produce agmatine or polyamines with neuroprotective properties; b) M1 mAChR receptor subtype activation pathway to reduce oxidative stress and neuron injury.</p><p><strong>Results: </strong>PRO-7a was not cytoprotective in C6 cells, but potentiated the H<sub>2</sub>O<sub>2</sub>-induced damage to cell integrity at a concentration lower than 0.38 μM. However, PRO-7a at 1.56 µM, on the other hand, modified H<sub>2</sub>O<sub>2</sub>-induced toxicity in PC12 cells by restoring cell integrity, mitochondrial metabolism, ROS generation, and arginase indirect activity. The α-Methyl-DL-aspartic acid (MDLA) and L-N<sup>Ω</sup>-Nitroarginine methyl ester (L-Name), specific inhibitors of AsS and nitric oxide synthase (NOS), which catalyzes the synthesis of polyamines and NO from L-arginine, did not suppress PRO-7a-mediated cytoprotection against oxidative stress. It suggested that its mechanism is independent of the production of L-arginine metabolites with neuroprotective properties by increased AsS activity. On the other hand, the neuroprotective effect of PRO-7a was blocked in the presence of dicyclomine hydrochloride (DCH), an M1 mAChR antagonist.</p><p><strong>Conclusions: </strong>For the first time, this work provides evidence that PRO-7a-induced neuroprotection seems to be mediated through M1 mAChR activation in PC12 cells, which reduces oxidative stress independently of AsS activity and L-arginine bioavailability.</p>\",\"PeriodicalId\":17565,\"journal\":{\"name\":\"Journal of Venomous Animals and Toxins Including Tropical Diseases\",\"volume\":\"30 \",\"pages\":\"e20230043\"},\"PeriodicalIF\":1.8000,\"publicationDate\":\"2024-02-09\",\"publicationTypes\":\"Journal Article\",\"fieldsOfStudy\":null,\"isOpenAccess\":false,\"openAccessPdf\":\"https://www.ncbi.nlm.nih.gov/pmc/articles/PMC10868729/pdf/\",\"citationCount\":\"0\",\"resultStr\":null,\"platform\":\"Semanticscholar\",\"paperid\":null,\"PeriodicalName\":\"Journal of Venomous Animals and Toxins Including Tropical Diseases\",\"FirstCategoryId\":\"3\",\"ListUrlMain\":\"https://doi.org/10.1590/1678-9199-JVATITD-2023-0043\",\"RegionNum\":3,\"RegionCategory\":\"医学\",\"ArticlePicture\":[],\"TitleCN\":null,\"AbstractTextCN\":null,\"PMCID\":null,\"EPubDate\":\"2024/1/1 0:00:00\",\"PubModel\":\"eCollection\",\"JCR\":\"Q4\",\"JCRName\":\"TOXICOLOGY\",\"Score\":null,\"Total\":0}","platform":"Semanticscholar","paperid":null,"PeriodicalName":"Journal of Venomous Animals and Toxins Including Tropical Diseases","FirstCategoryId":"3","ListUrlMain":"https://doi.org/10.1590/1678-9199-JVATITD-2023-0043","RegionNum":3,"RegionCategory":"医学","ArticlePicture":[],"TitleCN":null,"AbstractTextCN":null,"PMCID":null,"EPubDate":"2024/1/1 0:00:00","PubModel":"eCollection","JCR":"Q4","JCRName":"TOXICOLOGY","Score":null,"Total":0}
引用次数: 0

摘要

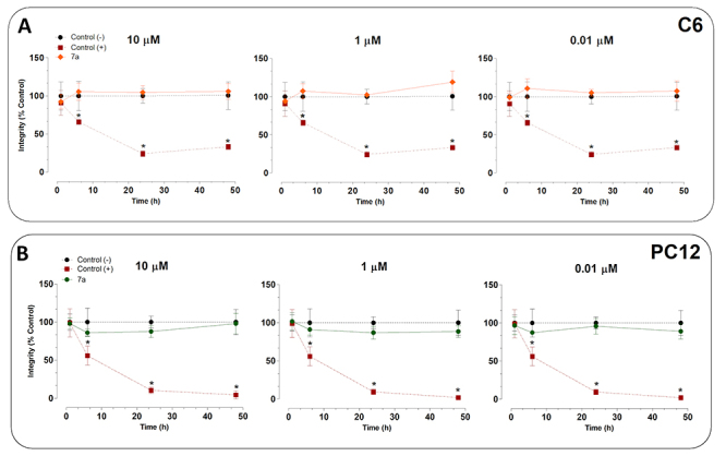
背景:从蝰科(Viperidae)物种的蛇毒中提取的生物活性肽具有防止神经细胞丢失、损伤和死亡的能力,因此有望成为神经保护的候选疗法。因此,本研究旨在评估合成富脯氨酸寡肽 7a(PRO-7a;Bothrops jararaca 蛇)对氧化应激诱导的神经元 PC12 细胞和类星形胶质细胞 C6 细胞毒性的细胞保护作用:方法:用不同浓度的PRO-7a预处理两种细胞4小时,将其置于H2O2诱导的损伤中20小时,然后分析氧化应激标记物。此外,还研究了两种独立的神经保护机制:a)通过精氨酸琥珀酸合成酶(AsS)活性调节产生L-精氨酸代谢物,从而产生具有神经保护特性的γ-氨基丁酸或多胺;b)M1 mAChR受体亚型激活途径,以减少氧化应激和神经元损伤:PRO-7a在C6细胞中不具有细胞保护作用,但在浓度低于0.38 μM时会增强H2O2诱导的细胞完整性损伤。然而,1.56 µM的PRO-7a则通过恢复细胞完整性、线粒体代谢、ROS生成和精氨酸酶间接活性,改变了H2O2诱导的PC12细胞毒性。α-甲基-DL-天冬氨酸(MDLA)和 L-NΩ-硝基精氨酸甲酯(L-Name)作为 AsS 和一氧化氮合酶(NOS)的特异性抑制剂(NOS 催化多胺和 L-精氨酸合成 NO),并未抑制 PRO-7a 介导的细胞抗氧化保护作用。这表明其机制与 AsS 活性增加而产生具有神经保护特性的 L- 精氨酸代谢产物无关。另一方面,PRO-7a的神经保护作用在M1 mAChR拮抗剂盐酸双环胺(DCH)的存在下被阻断:这项工作首次提供了证据,证明PRO-7a诱导的神经保护作用似乎是通过激活PC12细胞中的M1 mAChR介导的,这种作用可降低氧化应激,而不受AsS活性和L-精氨酸生物利用度的影响。
本文章由计算机程序翻译,如有差异,请以英文原文为准。

Activation of M1 muscarinic acetylcholine receptors by proline-rich oligopeptide 7a (<EDGPIPP) from <i>Bothrops jararaca</i> snake venom rescues oxidative stress-induced neurotoxicity in PC12 cells.

Activation of M1 muscarinic acetylcholine receptors by proline-rich oligopeptide 7a (<EDGPIPP) from <i>Bothrops jararaca</i> snake venom rescues oxidative stress-induced neurotoxicity in PC12 cells.

Activation of M1 muscarinic acetylcholine receptors by proline-rich oligopeptide 7a (<EDGPIPP) from <i>Bothrops jararaca</i> snake venom rescues oxidative stress-induced neurotoxicity in PC12 cells.

Activation of M1 muscarinic acetylcholine receptors by proline-rich oligopeptide 7a (Bothrops jararaca snake venom rescues oxidative stress-induced neurotoxicity in PC12 cells.

Background: The bioactive peptides derived from snake venoms of the Viperidae family species have been promising as therapeutic candidates for neuroprotection due to their ability to prevent neuronal cell loss, injury, and death. Therefore, this study aimed to evaluate the cytoprotective effects of a synthetic proline-rich oligopeptide 7a (PRO-7a; Bothrops jararaca snake, on oxidative stress-induced toxicity in neuronal PC12 cells and astrocyte-like C6 cells.

Methods: Both cells were pre-treated for four hours with different concentrations of PRO-7a, submitted to H2O2-induced damage for 20 h, and then the oxidative stress markers were analyzed. Also, two independent neuroprotective mechanisms were investigated: a) L-arginine metabolite generation via argininosuccinate synthetase (AsS) activity regulation to produce agmatine or polyamines with neuroprotective properties; b) M1 mAChR receptor subtype activation pathway to reduce oxidative stress and neuron injury.

Results: PRO-7a was not cytoprotective in C6 cells, but potentiated the H2O2-induced damage to cell integrity at a concentration lower than 0.38 μM. However, PRO-7a at 1.56 µM, on the other hand, modified H2O2-induced toxicity in PC12 cells by restoring cell integrity, mitochondrial metabolism, ROS generation, and arginase indirect activity. The α-Methyl-DL-aspartic acid (MDLA) and L-NΩ-Nitroarginine methyl ester (L-Name), specific inhibitors of AsS and nitric oxide synthase (NOS), which catalyzes the synthesis of polyamines and NO from L-arginine, did not suppress PRO-7a-mediated cytoprotection against oxidative stress. It suggested that its mechanism is independent of the production of L-arginine metabolites with neuroprotective properties by increased AsS activity. On the other hand, the neuroprotective effect of PRO-7a was blocked in the presence of dicyclomine hydrochloride (DCH), an M1 mAChR antagonist.

Conclusions: For the first time, this work provides evidence that PRO-7a-induced neuroprotection seems to be mediated through M1 mAChR activation in PC12 cells, which reduces oxidative stress independently of AsS activity and L-arginine bioavailability.

求助全文
通过发布文献求助,成功后即可免费获取论文全文。 去求助
来源期刊
CiteScore
4.80
自引率
8.30%
发文量
39
审稿时长
6-12 weeks
期刊介绍: Journal of Venomous Animals and Toxins including Tropical Diseases (JVATiTD) is a non-commercial academic open access publication dedicated to research on all aspects of toxinology, venomous animals and tropical diseases. Its interdisciplinary content includes original scientific articles covering research on toxins derived from animals, plants and microorganisms. Topics of interest include, but are not limited to:systematics and morphology of venomous animals;physiology, biochemistry, pharmacology and immunology of toxins;epidemiology, clinical aspects and treatment of envenoming by different animals, plants and microorganisms;development and evaluation of antivenoms and toxin-derivative products;epidemiology, clinical aspects and treatment of tropical diseases (caused by virus, bacteria, algae, fungi and parasites) including the neglected tropical diseases (NTDs) defined by the World Health Organization.
×
引用
GB/T 7714-2015
复制
MLA
复制
APA
复制
导出至
BibTeX EndNote RefMan NoteFirst NoteExpress
×
提示
您的信息不完整,为了账户安全,请先补充。
现在去补充
×
提示
您因"违规操作"
具体请查看互助需知
我知道了
×
提示
确定
请完成安全验证×
copy
已复制链接
快去分享给好友吧!
我知道了
右上角分享
点击右上角分享
0
联系我们:info@booksci.cn Book学术提供免费学术资源搜索服务,方便国内外学者检索中英文文献。致力于提供最便捷和优质的服务体验。 Copyright © 2023 布克学术 All rights reserved.
京ICP备2023020795号-1
ghs 京公网安备 11010802042870号
Book学术文献互助
Book学术文献互助群
群 号:604180095
Book学术官方微信