黄体酮和雌二醇可调节小鼠精子的过度活化和体外受精的成功率。

IF 2.2 4区 生物学 Q2 AGRICULTURE, DAIRY & ANIMAL SCIENCE
Journal of Reproduction and Development Pub Date : 2024-04-04 Epub Date: 2024-02-10 DOI:10.1262/jrd.2023-080
Miyu Fujikura, Masakatsu Fujinoki
{"title":"黄体酮和雌二醇可调节小鼠精子的过度活化和体外受精的成功率。","authors":"Miyu Fujikura, Masakatsu Fujinoki","doi":"10.1262/jrd.2023-080","DOIUrl":null,"url":null,"abstract":"<p><p>Progesterone (P) and 17β-estradiol (Eβ) form the well-known hormone pair that regulates sperm capacitation. Here, we examined the regulatory effects of P and Eβ on sperm hyperactivation in mice and evaluated the in vitro fertilization (IVF) success. Although P enhanced hyperactivation, Eβ dose-dependently suppressed the P-enhanced hyperactivation. Moreover, P increased IVF success, whereas Eβ suppressed the P-induced increase in IVF success in a dose-dependent manner. Thus, P and Eβ competitively regulate hyperactivation and IVF success in mice. Since P and Eβ concentrations generally change during the estrous cycle, sperm are speculated to capacitate in response to the oviductal environment and fertilize the oocyte.</p>","PeriodicalId":16942,"journal":{"name":"Journal of Reproduction and Development","volume":" ","pages":"96-103"},"PeriodicalIF":2.2000,"publicationDate":"2024-04-04","publicationTypes":"Journal Article","fieldsOfStudy":null,"isOpenAccess":false,"openAccessPdf":"https://www.ncbi.nlm.nih.gov/pmc/articles/PMC11017098/pdf/","citationCount":"0","resultStr":"{\"title\":\"Progesterone and estradiol regulate sperm hyperactivation and in vitro fertilization success in mice.\",\"authors\":\"Miyu Fujikura, Masakatsu Fujinoki\",\"doi\":\"10.1262/jrd.2023-080\",\"DOIUrl\":null,\"url\":null,\"abstract\":\"<p><p>Progesterone (P) and 17β-estradiol (Eβ) form the well-known hormone pair that regulates sperm capacitation. Here, we examined the regulatory effects of P and Eβ on sperm hyperactivation in mice and evaluated the in vitro fertilization (IVF) success. Although P enhanced hyperactivation, Eβ dose-dependently suppressed the P-enhanced hyperactivation. Moreover, P increased IVF success, whereas Eβ suppressed the P-induced increase in IVF success in a dose-dependent manner. Thus, P and Eβ competitively regulate hyperactivation and IVF success in mice. Since P and Eβ concentrations generally change during the estrous cycle, sperm are speculated to capacitate in response to the oviductal environment and fertilize the oocyte.</p>\",\"PeriodicalId\":16942,\"journal\":{\"name\":\"Journal of Reproduction and Development\",\"volume\":\" \",\"pages\":\"96-103\"},\"PeriodicalIF\":2.2000,\"publicationDate\":\"2024-04-04\",\"publicationTypes\":\"Journal Article\",\"fieldsOfStudy\":null,\"isOpenAccess\":false,\"openAccessPdf\":\"https://www.ncbi.nlm.nih.gov/pmc/articles/PMC11017098/pdf/\",\"citationCount\":\"0\",\"resultStr\":null,\"platform\":\"Semanticscholar\",\"paperid\":null,\"PeriodicalName\":\"Journal of Reproduction and Development\",\"FirstCategoryId\":\"99\",\"ListUrlMain\":\"https://doi.org/10.1262/jrd.2023-080\",\"RegionNum\":4,\"RegionCategory\":\"生物学\",\"ArticlePicture\":[],\"TitleCN\":null,\"AbstractTextCN\":null,\"PMCID\":null,\"EPubDate\":\"2024/2/10 0:00:00\",\"PubModel\":\"Epub\",\"JCR\":\"Q2\",\"JCRName\":\"AGRICULTURE, DAIRY & ANIMAL SCIENCE\",\"Score\":null,\"Total\":0}","platform":"Semanticscholar","paperid":null,"PeriodicalName":"Journal of Reproduction and Development","FirstCategoryId":"99","ListUrlMain":"https://doi.org/10.1262/jrd.2023-080","RegionNum":4,"RegionCategory":"生物学","ArticlePicture":[],"TitleCN":null,"AbstractTextCN":null,"PMCID":null,"EPubDate":"2024/2/10 0:00:00","PubModel":"Epub","JCR":"Q2","JCRName":"AGRICULTURE, DAIRY & ANIMAL SCIENCE","Score":null,"Total":0}
引用次数: 0

摘要

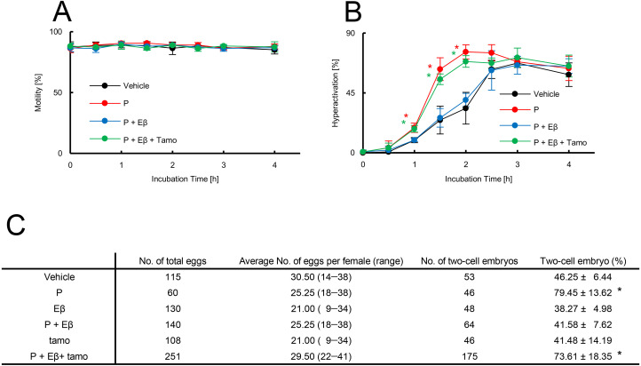
孕酮(P)和17β-雌二醇(Eβ)是众所周知的调节精子获能的激素配对。在这里,我们研究了 P 和 Eβ 对小鼠精子过度活化的调节作用,并评估了体外受精(IVF)的成功率。尽管P增强了精子的过度活化,但Eβ剂量依赖性地抑制了P增强的过度活化。此外,P 增加了体外受精的成功率,而 Eβ 则以剂量依赖的方式抑制了 P 诱导的体外受精成功率的增加。因此,P 和 Eβ 可竞争性地调节小鼠的过度激活和体外受精的成功率。由于P和Eβ的浓度通常在发情周期中发生变化,因此推测精子会根据输卵管环境的变化而获能,并使卵母细胞受精。
本文章由计算机程序翻译,如有差异,请以英文原文为准。

Progesterone and estradiol regulate sperm hyperactivation and in vitro fertilization success in mice.

Progesterone and estradiol regulate sperm hyperactivation and in vitro fertilization success in mice.

Progesterone and estradiol regulate sperm hyperactivation and in vitro fertilization success in mice.

Progesterone and estradiol regulate sperm hyperactivation and in vitro fertilization success in mice.

Progesterone (P) and 17β-estradiol (Eβ) form the well-known hormone pair that regulates sperm capacitation. Here, we examined the regulatory effects of P and Eβ on sperm hyperactivation in mice and evaluated the in vitro fertilization (IVF) success. Although P enhanced hyperactivation, Eβ dose-dependently suppressed the P-enhanced hyperactivation. Moreover, P increased IVF success, whereas Eβ suppressed the P-induced increase in IVF success in a dose-dependent manner. Thus, P and Eβ competitively regulate hyperactivation and IVF success in mice. Since P and Eβ concentrations generally change during the estrous cycle, sperm are speculated to capacitate in response to the oviductal environment and fertilize the oocyte.

求助全文
通过发布文献求助,成功后即可免费获取论文全文。 去求助
来源期刊
Journal of Reproduction and Development
Journal of Reproduction and Development 生物-奶制品与动物科学
CiteScore
3.70
自引率
11.10%
发文量
52
审稿时长
2 months
期刊介绍: Journal of Reproduction and Development (JRD) is the official journal of the Society for Reproduction and Development, published bimonthly, and welcomes original articles. JRD provides free full-text access of all the published articles on the web. The functions of the journal are managed by Editorial Board Members, such as the Editor-in-Chief, Co-Editor-inChief, Managing Editors and Editors. All manuscripts are peer-reviewed critically by two or more reviewers. Acceptance is based on scientific content and presentation of the materials. The Editors select reviewers and correspond with authors. Final decisions about acceptance or rejection of manuscripts are made by the Editor-in-Chief and Co-Editor-in-Chief.
×
引用
GB/T 7714-2015
复制
MLA
复制
APA
复制
导出至
BibTeX EndNote RefMan NoteFirst NoteExpress
×
提示
您的信息不完整,为了账户安全,请先补充。
现在去补充
×
提示
您因"违规操作"
具体请查看互助需知
我知道了
×
提示
确定
请完成安全验证×
copy
已复制链接
快去分享给好友吧!
我知道了
右上角分享
点击右上角分享
0
联系我们:info@booksci.cn Book学术提供免费学术资源搜索服务,方便国内外学者检索中英文文献。致力于提供最便捷和优质的服务体验。 Copyright © 2023 布克学术 All rights reserved.
京ICP备2023020795号-1
ghs 京公网安备 11010802042870号
Book学术文献互助
Book学术文献互助群
群 号:604180095
Book学术官方微信
小红书