1979-2019年日本短期暴露于环境温度与肾病死亡率之间的关系:时间分层病例交叉分析。

IF 3.8 Q2 ENVIRONMENTAL SCIENCES
Environmental Epidemiology Pub Date : 2024-02-02 eCollection Date: 2024-02-01 DOI:10.1097/EE9.0000000000000293
Zin Wai Htay, Chris Fook Sheng Ng, Yoonhee Kim, Youn-Hee Lim, Masao Iwagami, Masahiro Hashizume
{"title":"1979-2019年日本短期暴露于环境温度与肾病死亡率之间的关系:时间分层病例交叉分析。","authors":"Zin Wai Htay, Chris Fook Sheng Ng, Yoonhee Kim, Youn-Hee Lim, Masao Iwagami, Masahiro Hashizume","doi":"10.1097/EE9.0000000000000293","DOIUrl":null,"url":null,"abstract":"<p><strong>Background: </strong>Previous studies have indicated that renal disease mortality is sensitive to ambient temperatures. However, most have been limited to the summer season with inconclusive evidence for changes in population vulnerability over time.</p><p><strong>Objective: </strong>This study aims to examine the association between short-term exposure to ambient temperatures and mortality due to renal diseases in Japan, and how this association varied over time.</p><p><strong>Methods: </strong>We conducted a two-stage, time-stratified case-crossover study from 1979 to 2019 across 47 prefectures of Japan. We obtained the data of daily mortality counts for all renal diseases, acute renal failure, and chronic renal disease. We fitted a conditional quasi-Poisson regression model with a distributed lag nonlinear model. A random-effects meta-analysis was applied to calculate national averages. We performed additional analyses by four subperiods, sex, and age groups.</p><p><strong>Results: </strong>We analyzed 997,590 renal mortality cases and observed a reversed J-shaped association. Lower temperatures were associated with increased mortality in all renal disease categories. The cumulative relative risks at 2.5th percentile compared to the minimum mortality temperature percentile were 1.34 (95% confidence interval [CI] = 1.29, 1.40), 1.51 (95% CI = 1.33, 1.71), and 1.33 (95% CI = 1.24, 1.43) for all renal, acute renal failure, and chronic renal disease mortality, respectively. The associations were observed in individuals of both sexes and aged 65 years and above. The associations of kidney mortality with low temperature remained consistent, while the associations with high temperature were pronounced in the past, but not in recent periods.</p><p><strong>Conclusions: </strong>Protection for individuals with impaired renal function from exposure to low temperatures during cold seasons is warranted.</p>","PeriodicalId":11713,"journal":{"name":"Environmental Epidemiology","volume":"8 1","pages":"e293"},"PeriodicalIF":3.8000,"publicationDate":"2024-02-02","publicationTypes":"Journal Article","fieldsOfStudy":null,"isOpenAccess":false,"openAccessPdf":"https://www.ncbi.nlm.nih.gov/pmc/articles/PMC10852400/pdf/","citationCount":"0","resultStr":"{\"title\":\"Associations between short-term exposure to ambient temperature and renal disease mortality in Japan during 1979-2019: A time-stratified case-crossover analysis.\",\"authors\":\"Zin Wai Htay, Chris Fook Sheng Ng, Yoonhee Kim, Youn-Hee Lim, Masao Iwagami, Masahiro Hashizume\",\"doi\":\"10.1097/EE9.0000000000000293\",\"DOIUrl\":null,\"url\":null,\"abstract\":\"<p><strong>Background: </strong>Previous studies have indicated that renal disease mortality is sensitive to ambient temperatures. However, most have been limited to the summer season with inconclusive evidence for changes in population vulnerability over time.</p><p><strong>Objective: </strong>This study aims to examine the association between short-term exposure to ambient temperatures and mortality due to renal diseases in Japan, and how this association varied over time.</p><p><strong>Methods: </strong>We conducted a two-stage, time-stratified case-crossover study from 1979 to 2019 across 47 prefectures of Japan. We obtained the data of daily mortality counts for all renal diseases, acute renal failure, and chronic renal disease. We fitted a conditional quasi-Poisson regression model with a distributed lag nonlinear model. A random-effects meta-analysis was applied to calculate national averages. We performed additional analyses by four subperiods, sex, and age groups.</p><p><strong>Results: </strong>We analyzed 997,590 renal mortality cases and observed a reversed J-shaped association. Lower temperatures were associated with increased mortality in all renal disease categories. The cumulative relative risks at 2.5th percentile compared to the minimum mortality temperature percentile were 1.34 (95% confidence interval [CI] = 1.29, 1.40), 1.51 (95% CI = 1.33, 1.71), and 1.33 (95% CI = 1.24, 1.43) for all renal, acute renal failure, and chronic renal disease mortality, respectively. The associations were observed in individuals of both sexes and aged 65 years and above. The associations of kidney mortality with low temperature remained consistent, while the associations with high temperature were pronounced in the past, but not in recent periods.</p><p><strong>Conclusions: </strong>Protection for individuals with impaired renal function from exposure to low temperatures during cold seasons is warranted.</p>\",\"PeriodicalId\":11713,\"journal\":{\"name\":\"Environmental Epidemiology\",\"volume\":\"8 1\",\"pages\":\"e293\"},\"PeriodicalIF\":3.8000,\"publicationDate\":\"2024-02-02\",\"publicationTypes\":\"Journal Article\",\"fieldsOfStudy\":null,\"isOpenAccess\":false,\"openAccessPdf\":\"https://www.ncbi.nlm.nih.gov/pmc/articles/PMC10852400/pdf/\",\"citationCount\":\"0\",\"resultStr\":null,\"platform\":\"Semanticscholar\",\"paperid\":null,\"PeriodicalName\":\"Environmental Epidemiology\",\"FirstCategoryId\":\"1085\",\"ListUrlMain\":\"https://doi.org/10.1097/EE9.0000000000000293\",\"RegionNum\":0,\"RegionCategory\":null,\"ArticlePicture\":[],\"TitleCN\":null,\"AbstractTextCN\":null,\"PMCID\":null,\"EPubDate\":\"2024/2/1 0:00:00\",\"PubModel\":\"eCollection\",\"JCR\":\"Q2\",\"JCRName\":\"ENVIRONMENTAL SCIENCES\",\"Score\":null,\"Total\":0}","platform":"Semanticscholar","paperid":null,"PeriodicalName":"Environmental Epidemiology","FirstCategoryId":"1085","ListUrlMain":"https://doi.org/10.1097/EE9.0000000000000293","RegionNum":0,"RegionCategory":null,"ArticlePicture":[],"TitleCN":null,"AbstractTextCN":null,"PMCID":null,"EPubDate":"2024/2/1 0:00:00","PubModel":"eCollection","JCR":"Q2","JCRName":"ENVIRONMENTAL SCIENCES","Score":null,"Total":0}
引用次数: 0

摘要

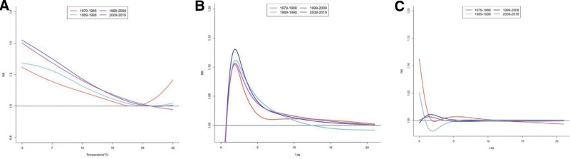
背景:以往的研究表明,肾病死亡率对环境温度很敏感。然而,大多数研究仅限于夏季,没有确凿证据表明随着时间的推移,人群的易感性会发生变化:本研究旨在探讨短期暴露于环境温度与日本肾脏疾病死亡率之间的关联,以及这种关联随时间的变化情况:从 1979 年到 2019 年,我们在日本 47 个都道府县开展了一项分两个阶段、时间分层的病例交叉研究。我们获得了所有肾脏疾病、急性肾衰竭和慢性肾脏疾病的每日死亡率数据。我们利用分布式滞后非线性模型拟合了一个条件准泊松回归模型。采用随机效应荟萃分析法计算全国平均值。我们还按四个子时期、性别和年龄组进行了额外分析:我们分析了 997,590 例肾脏病死亡病例,观察到一种反向的 J 型关联。在所有肾病类别中,温度越低死亡率越高。与最低死亡温度百分位数相比,2.5 百分位数的累积相对风险在所有肾病、急性肾衰竭和慢性肾病死亡率中分别为 1.34(95% 置信区间 [CI] = 1.29,1.40)、1.51(95% CI = 1.33,1.71)和 1.33(95% CI = 1.24,1.43)。在 65 岁及以上的男性和女性中都观察到了这种关联。肾脏死亡率与低温的相关性保持一致,而与高温的相关性在过去很明显,但在近期则不明显:结论:在寒冷季节,肾功能受损者应避免暴露在低温环境中。
本文章由计算机程序翻译,如有差异,请以英文原文为准。

Associations between short-term exposure to ambient temperature and renal disease mortality in Japan during 1979-2019: A time-stratified case-crossover analysis.

Associations between short-term exposure to ambient temperature and renal disease mortality in Japan during 1979-2019: A time-stratified case-crossover analysis.

Associations between short-term exposure to ambient temperature and renal disease mortality in Japan during 1979-2019: A time-stratified case-crossover analysis.

Associations between short-term exposure to ambient temperature and renal disease mortality in Japan during 1979-2019: A time-stratified case-crossover analysis.

Background: Previous studies have indicated that renal disease mortality is sensitive to ambient temperatures. However, most have been limited to the summer season with inconclusive evidence for changes in population vulnerability over time.

Objective: This study aims to examine the association between short-term exposure to ambient temperatures and mortality due to renal diseases in Japan, and how this association varied over time.

Methods: We conducted a two-stage, time-stratified case-crossover study from 1979 to 2019 across 47 prefectures of Japan. We obtained the data of daily mortality counts for all renal diseases, acute renal failure, and chronic renal disease. We fitted a conditional quasi-Poisson regression model with a distributed lag nonlinear model. A random-effects meta-analysis was applied to calculate national averages. We performed additional analyses by four subperiods, sex, and age groups.

Results: We analyzed 997,590 renal mortality cases and observed a reversed J-shaped association. Lower temperatures were associated with increased mortality in all renal disease categories. The cumulative relative risks at 2.5th percentile compared to the minimum mortality temperature percentile were 1.34 (95% confidence interval [CI] = 1.29, 1.40), 1.51 (95% CI = 1.33, 1.71), and 1.33 (95% CI = 1.24, 1.43) for all renal, acute renal failure, and chronic renal disease mortality, respectively. The associations were observed in individuals of both sexes and aged 65 years and above. The associations of kidney mortality with low temperature remained consistent, while the associations with high temperature were pronounced in the past, but not in recent periods.

Conclusions: Protection for individuals with impaired renal function from exposure to low temperatures during cold seasons is warranted.

求助全文
通过发布文献求助,成功后即可免费获取论文全文。 去求助
来源期刊
Environmental Epidemiology
Environmental Epidemiology Medicine-Public Health, Environmental and Occupational Health
CiteScore
5.70
自引率
2.80%
发文量
71
审稿时长
25 weeks
×
引用
GB/T 7714-2015
复制
MLA
复制
APA
复制
导出至
BibTeX EndNote RefMan NoteFirst NoteExpress
×
提示
您的信息不完整,为了账户安全,请先补充。
现在去补充
×
提示
您因"违规操作"
具体请查看互助需知
我知道了
×
提示
确定
请完成安全验证×
copy
已复制链接
快去分享给好友吧!
我知道了
右上角分享
点击右上角分享
0
联系我们:info@booksci.cn Book学术提供免费学术资源搜索服务,方便国内外学者检索中英文文献。致力于提供最便捷和优质的服务体验。 Copyright © 2023 布克学术 All rights reserved.
京ICP备2023020795号-1
ghs 京公网安备 11010802042870号
Book学术文献互助
Book学术文献互助群
群 号:604180095
Book学术官方微信