用于分析涉及小鼠 TRP 通道的温度依赖性行为的热梯度环。

IF 3.2 4区 医学 Q2 PHYSIOLOGY
Tomoyo Ujisawa, Jing Lei, Makiko Kashio, Makoto Tominaga
{"title":"用于分析涉及小鼠 TRP 通道的温度依赖性行为的热梯度环。","authors":"Tomoyo Ujisawa, Jing Lei, Makiko Kashio, Makoto Tominaga","doi":"10.1186/s12576-024-00903-w","DOIUrl":null,"url":null,"abstract":"<p><p>There are a lot of temperature-sensitive proteins including transient receptor potential (TRP) channels. Some TRP channels are temperature receptors having specific activation temperatures in vitro that are within the physiological temperature range. Mice deficient in specific TRP channels show abnormal thermal behaviors, but the role of TRP channels in these behaviors is not fully understood. The Thermal Gradient Ring is a new apparatus that allows mice to freely move around the ring floor and not stay in a corner. The system can analyze various factors (e.g., 'Spent time', 'Travel distance', 'Moving speed', 'Acceleration') associated with temperature-dependent behaviors of TRP-deficient mice. For example, the Ring system clearly discriminated differences in temperature-dependent phenotypes between mice with diabetic peripheral neuropathy and TRPV1<sup>-/-</sup> mice, and demonstrated the importance of TRPV3 in temperature detection in skin. Studies using the Thermal Gradient Ring system can increase understanding of the molecular basis of thermal behaviors in mice and in turn help develop strategies to affect responses to different temperature conditions in humans.</p>","PeriodicalId":16832,"journal":{"name":"Journal of Physiological Sciences","volume":"74 1","pages":"9"},"PeriodicalIF":3.2000,"publicationDate":"2024-02-08","publicationTypes":"Journal Article","fieldsOfStudy":null,"isOpenAccess":false,"openAccessPdf":"https://www.ncbi.nlm.nih.gov/pmc/articles/PMC10851596/pdf/","citationCount":"0","resultStr":"{\"title\":\"Thermal gradient ring for analysis of temperature-dependent behaviors involving TRP channels in mice.\",\"authors\":\"Tomoyo Ujisawa, Jing Lei, Makiko Kashio, Makoto Tominaga\",\"doi\":\"10.1186/s12576-024-00903-w\",\"DOIUrl\":null,\"url\":null,\"abstract\":\"<p><p>There are a lot of temperature-sensitive proteins including transient receptor potential (TRP) channels. Some TRP channels are temperature receptors having specific activation temperatures in vitro that are within the physiological temperature range. Mice deficient in specific TRP channels show abnormal thermal behaviors, but the role of TRP channels in these behaviors is not fully understood. The Thermal Gradient Ring is a new apparatus that allows mice to freely move around the ring floor and not stay in a corner. The system can analyze various factors (e.g., 'Spent time', 'Travel distance', 'Moving speed', 'Acceleration') associated with temperature-dependent behaviors of TRP-deficient mice. For example, the Ring system clearly discriminated differences in temperature-dependent phenotypes between mice with diabetic peripheral neuropathy and TRPV1<sup>-/-</sup> mice, and demonstrated the importance of TRPV3 in temperature detection in skin. Studies using the Thermal Gradient Ring system can increase understanding of the molecular basis of thermal behaviors in mice and in turn help develop strategies to affect responses to different temperature conditions in humans.</p>\",\"PeriodicalId\":16832,\"journal\":{\"name\":\"Journal of Physiological Sciences\",\"volume\":\"74 1\",\"pages\":\"9\"},\"PeriodicalIF\":3.2000,\"publicationDate\":\"2024-02-08\",\"publicationTypes\":\"Journal Article\",\"fieldsOfStudy\":null,\"isOpenAccess\":false,\"openAccessPdf\":\"https://www.ncbi.nlm.nih.gov/pmc/articles/PMC10851596/pdf/\",\"citationCount\":\"0\",\"resultStr\":null,\"platform\":\"Semanticscholar\",\"paperid\":null,\"PeriodicalName\":\"Journal of Physiological Sciences\",\"FirstCategoryId\":\"3\",\"ListUrlMain\":\"https://doi.org/10.1186/s12576-024-00903-w\",\"RegionNum\":4,\"RegionCategory\":\"医学\",\"ArticlePicture\":[],\"TitleCN\":null,\"AbstractTextCN\":null,\"PMCID\":null,\"EPubDate\":\"\",\"PubModel\":\"\",\"JCR\":\"Q2\",\"JCRName\":\"PHYSIOLOGY\",\"Score\":null,\"Total\":0}","platform":"Semanticscholar","paperid":null,"PeriodicalName":"Journal of Physiological Sciences","FirstCategoryId":"3","ListUrlMain":"https://doi.org/10.1186/s12576-024-00903-w","RegionNum":4,"RegionCategory":"医学","ArticlePicture":[],"TitleCN":null,"AbstractTextCN":null,"PMCID":null,"EPubDate":"","PubModel":"","JCR":"Q2","JCRName":"PHYSIOLOGY","Score":null,"Total":0}
引用次数: 0

摘要

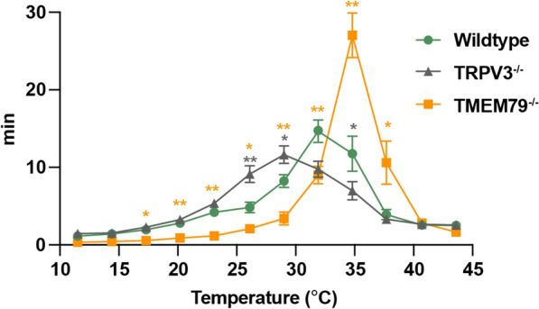
有许多对温度敏感的蛋白质,包括瞬时受体电位(TRP)通道。有些 TRP 通道是温度受体,在体外有特定的激活温度,这些温度在生理温度范围内。缺乏特定 TRP 通道的小鼠会表现出异常的热行为,但 TRP 通道在这些行为中的作用尚不完全清楚。热梯度环是一种新型仪器,它允许小鼠在环形地板上自由移动,而不是呆在一个角落里。该系统可分析与 TRP 缺乏小鼠的温度依赖行为相关的各种因素(如 "花费时间"、"移动距离"、"移动速度 "和 "加速度")。例如,热梯度环系统能清楚地区分糖尿病周围神经病变小鼠和 TRPV1-/- 小鼠的温度依赖表型差异,并证明了 TRPV3 在皮肤温度检测中的重要性。利用热梯度环系统进行的研究可以加深对小鼠热行为分子基础的了解,进而帮助开发影响人类对不同温度条件反应的策略。
本文章由计算机程序翻译,如有差异,请以英文原文为准。

Thermal gradient ring for analysis of temperature-dependent behaviors involving TRP channels in mice.

Thermal gradient ring for analysis of temperature-dependent behaviors involving TRP channels in mice.

Thermal gradient ring for analysis of temperature-dependent behaviors involving TRP channels in mice.

Thermal gradient ring for analysis of temperature-dependent behaviors involving TRP channels in mice.

There are a lot of temperature-sensitive proteins including transient receptor potential (TRP) channels. Some TRP channels are temperature receptors having specific activation temperatures in vitro that are within the physiological temperature range. Mice deficient in specific TRP channels show abnormal thermal behaviors, but the role of TRP channels in these behaviors is not fully understood. The Thermal Gradient Ring is a new apparatus that allows mice to freely move around the ring floor and not stay in a corner. The system can analyze various factors (e.g., 'Spent time', 'Travel distance', 'Moving speed', 'Acceleration') associated with temperature-dependent behaviors of TRP-deficient mice. For example, the Ring system clearly discriminated differences in temperature-dependent phenotypes between mice with diabetic peripheral neuropathy and TRPV1-/- mice, and demonstrated the importance of TRPV3 in temperature detection in skin. Studies using the Thermal Gradient Ring system can increase understanding of the molecular basis of thermal behaviors in mice and in turn help develop strategies to affect responses to different temperature conditions in humans.

求助全文
通过发布文献求助,成功后即可免费获取论文全文。 去求助
来源期刊
CiteScore
4.40
自引率
4.30%
发文量
27
审稿时长
6-12 weeks
期刊介绍: The Journal of Physiological Sciences publishes peer-reviewed original papers, reviews, short communications, technical notes, and letters to the editor, based on the principles and theories of modern physiology and addressed to the international scientific community. All fields of physiology are covered, encompassing molecular, cellular and systems physiology. The emphasis is on human and vertebrate physiology, but comparative papers are also considered. The process of obtaining results must be ethically sound. Fields covered: Adaptation and environment Autonomic nervous function Biophysics Cell sensors and signaling Central nervous system and brain sciences Endocrinology and metabolism Excitable membranes and neural cell physiology Exercise physiology Gastrointestinal and kidney physiology Heart and circulatory physiology Molecular and cellular physiology Muscle physiology Physiome/systems biology Respiration physiology Senses.
×
引用
GB/T 7714-2015
复制
MLA
复制
APA
复制
导出至
BibTeX EndNote RefMan NoteFirst NoteExpress
×
提示
您的信息不完整,为了账户安全,请先补充。
现在去补充
×
提示
您因"违规操作"
具体请查看互助需知
我知道了
×
提示
确定
请完成安全验证×
copy
已复制链接
快去分享给好友吧!
我知道了
右上角分享
点击右上角分享
0
联系我们:info@booksci.cn Book学术提供免费学术资源搜索服务,方便国内外学者检索中英文文献。致力于提供最便捷和优质的服务体验。 Copyright © 2023 布克学术 All rights reserved.
京ICP备2023020795号-1
ghs 京公网安备 11010802042870号
Book学术文献互助
Book学术文献互助群
群 号:604180095
Book学术官方微信