PD-1抑制剂对手术切除的III/IV期口腔黑色素瘤患者的辅助治疗效果。

IF 2.9 4区 医学 Q3 IMMUNOLOGY
Journal of Immunotherapy Pub Date : 2024-06-01 Epub Date: 2024-03-11 DOI:10.1097/CJI.0000000000000508
Haci Arak, Suna Erkiliç, Şendağ Yaslikaya, Eda Eylemer Mocan, Gökmen Aktaş, Melek Özdemir, Hüseyin Salih Semiz, Saadettin Kiliçkap, Faruk Recep Özalp, Özlem Nuray Sever, Goncagül Akdağ, Ahmet Burak Ağaoğlu, Melike Özçelik, Murat Sari, Murat Arcagök, Hicran Anik, Şaziye Burçak Yayla, Nadiye Sever, Fatma Pinar Açar, İsmail Bayrakçi, Serdar Turhal, Murat Ayhan, Tülay Kuş
{"title":"PD-1抑制剂对手术切除的III/IV期口腔黑色素瘤患者的辅助治疗效果。","authors":"Haci Arak, Suna Erkiliç, Şendağ Yaslikaya, Eda Eylemer Mocan, Gökmen Aktaş, Melek Özdemir, Hüseyin Salih Semiz, Saadettin Kiliçkap, Faruk Recep Özalp, Özlem Nuray Sever, Goncagül Akdağ, Ahmet Burak Ağaoğlu, Melike Özçelik, Murat Sari, Murat Arcagök, Hicran Anik, Şaziye Burçak Yayla, Nadiye Sever, Fatma Pinar Açar, İsmail Bayrakçi, Serdar Turhal, Murat Ayhan, Tülay Kuş","doi":"10.1097/CJI.0000000000000508","DOIUrl":null,"url":null,"abstract":"<p><p>Our aim was to assess the efficacy of adjuvant programmed cell death protein-1 (PD-1) inhibitors and compare the other adjuvant treatments in patients with surgically resected stage III or IV acral melanoma. This study is a multicenter, retrospective analysis. We included 114 patients with stage III or IV acral malignant melanoma who underwent surgery within the past 10 years. We analyzed the effect of adjuvant programmed cell death protein-1 inhibitors on disease-free survival (DFS). The mean follow-up was 40 months, during which 69 (59.5%) patients experienced recurrence. Among the participants, 64 (56.1%) received systemic adjuvant therapy. Specifically, 48.4% received anti-PD-1 therapy, 29.7% received interferon, 14.1% received tezozolomide, and 7.8% received B-Raf proto-oncogene/mitogen-activated protein kinase inhibitors. Patients who received adjuvant therapy had a median DFS of 24 (10.9-37.2) months, whereas those who did not receive adjuvant therapy had a median DFS of 15 (9.8-20.2) months. Multivariate analysis for DFS revealed that the receipt of adjuvant therapy and lymph node metastasis stage were independent significant parameters ( P = 0.021, P = 0.018, respectively). No statistically significant difference was observed for DFS between programmed cell death protein-1 inhibitor treatment and other adjuvant treatments. Regarding overall survival (OS), patients who received adjuvant treatment had a median OS of 71 (30.4-111.7) months, whereas those who did not receive adjuvant treatment had a median OS of 38 (16.7-59.3; P = 0.023) months. In addition, there were no significant differences in OS observed between various adjuvant treatment agents ( P = 0.122). In our study, we have shown that adjuvant therapy had a positive effect on both DFS and OS in patients with stages III-IV acral melanoma who underwent curative intent surgery. Notably, we found no significant differences between anti-PD-1 therapy and other adjuvant therapies.</p>","PeriodicalId":15996,"journal":{"name":"Journal of Immunotherapy","volume":" ","pages":"182-189"},"PeriodicalIF":2.9000,"publicationDate":"2024-06-01","publicationTypes":"Journal Article","fieldsOfStudy":null,"isOpenAccess":false,"openAccessPdf":"https://www.ncbi.nlm.nih.gov/pmc/articles/PMC11073564/pdf/","citationCount":"0","resultStr":"{\"title\":\"The Effectiveness of Adjuvant PD-1 Inhibitors in Patients With Surgically Resected Stage III/IV Acral Melanoma.\",\"authors\":\"Haci Arak, Suna Erkiliç, Şendağ Yaslikaya, Eda Eylemer Mocan, Gökmen Aktaş, Melek Özdemir, Hüseyin Salih Semiz, Saadettin Kiliçkap, Faruk Recep Özalp, Özlem Nuray Sever, Goncagül Akdağ, Ahmet Burak Ağaoğlu, Melike Özçelik, Murat Sari, Murat Arcagök, Hicran Anik, Şaziye Burçak Yayla, Nadiye Sever, Fatma Pinar Açar, İsmail Bayrakçi, Serdar Turhal, Murat Ayhan, Tülay Kuş\",\"doi\":\"10.1097/CJI.0000000000000508\",\"DOIUrl\":null,\"url\":null,\"abstract\":\"<p><p>Our aim was to assess the efficacy of adjuvant programmed cell death protein-1 (PD-1) inhibitors and compare the other adjuvant treatments in patients with surgically resected stage III or IV acral melanoma. This study is a multicenter, retrospective analysis. We included 114 patients with stage III or IV acral malignant melanoma who underwent surgery within the past 10 years. We analyzed the effect of adjuvant programmed cell death protein-1 inhibitors on disease-free survival (DFS). The mean follow-up was 40 months, during which 69 (59.5%) patients experienced recurrence. Among the participants, 64 (56.1%) received systemic adjuvant therapy. Specifically, 48.4% received anti-PD-1 therapy, 29.7% received interferon, 14.1% received tezozolomide, and 7.8% received B-Raf proto-oncogene/mitogen-activated protein kinase inhibitors. Patients who received adjuvant therapy had a median DFS of 24 (10.9-37.2) months, whereas those who did not receive adjuvant therapy had a median DFS of 15 (9.8-20.2) months. Multivariate analysis for DFS revealed that the receipt of adjuvant therapy and lymph node metastasis stage were independent significant parameters ( P = 0.021, P = 0.018, respectively). No statistically significant difference was observed for DFS between programmed cell death protein-1 inhibitor treatment and other adjuvant treatments. Regarding overall survival (OS), patients who received adjuvant treatment had a median OS of 71 (30.4-111.7) months, whereas those who did not receive adjuvant treatment had a median OS of 38 (16.7-59.3; P = 0.023) months. In addition, there were no significant differences in OS observed between various adjuvant treatment agents ( P = 0.122). In our study, we have shown that adjuvant therapy had a positive effect on both DFS and OS in patients with stages III-IV acral melanoma who underwent curative intent surgery. Notably, we found no significant differences between anti-PD-1 therapy and other adjuvant therapies.</p>\",\"PeriodicalId\":15996,\"journal\":{\"name\":\"Journal of Immunotherapy\",\"volume\":\" \",\"pages\":\"182-189\"},\"PeriodicalIF\":2.9000,\"publicationDate\":\"2024-06-01\",\"publicationTypes\":\"Journal Article\",\"fieldsOfStudy\":null,\"isOpenAccess\":false,\"openAccessPdf\":\"https://www.ncbi.nlm.nih.gov/pmc/articles/PMC11073564/pdf/\",\"citationCount\":\"0\",\"resultStr\":null,\"platform\":\"Semanticscholar\",\"paperid\":null,\"PeriodicalName\":\"Journal of Immunotherapy\",\"FirstCategoryId\":\"3\",\"ListUrlMain\":\"https://doi.org/10.1097/CJI.0000000000000508\",\"RegionNum\":4,\"RegionCategory\":\"医学\",\"ArticlePicture\":[],\"TitleCN\":null,\"AbstractTextCN\":null,\"PMCID\":null,\"EPubDate\":\"2024/3/11 0:00:00\",\"PubModel\":\"Epub\",\"JCR\":\"Q3\",\"JCRName\":\"IMMUNOLOGY\",\"Score\":null,\"Total\":0}","platform":"Semanticscholar","paperid":null,"PeriodicalName":"Journal of Immunotherapy","FirstCategoryId":"3","ListUrlMain":"https://doi.org/10.1097/CJI.0000000000000508","RegionNum":4,"RegionCategory":"医学","ArticlePicture":[],"TitleCN":null,"AbstractTextCN":null,"PMCID":null,"EPubDate":"2024/3/11 0:00:00","PubModel":"Epub","JCR":"Q3","JCRName":"IMMUNOLOGY","Score":null,"Total":0}
引用次数: 0

摘要

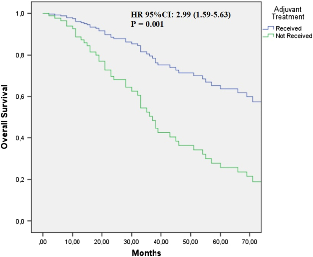
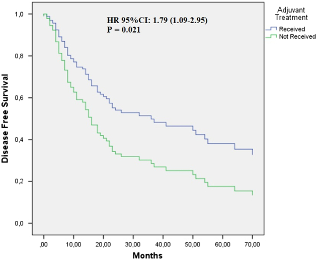
我们的目的是评估程序性细胞死亡蛋白-1(PD-1)抑制剂的辅助疗效,并比较其他辅助疗法对手术切除的III期或IV期尖锐湿疣患者的疗效。本研究是一项多中心回顾性分析。我们纳入了114名在过去10年内接受过手术的III期或IV期口角恶性黑色素瘤患者。我们分析了程序性细胞死亡蛋白-1抑制剂辅助治疗对无病生存期(DFS)的影响。平均随访时间为 40 个月,期间有 69 例(59.5%)患者复发。其中,64人(56.1%)接受了全身辅助治疗。具体来说,48.4%的患者接受了抗PD-1治疗,29.7%的患者接受了干扰素治疗,14.1%的患者接受了替佐唑胺治疗,7.8%的患者接受了B-Raf原癌基因/介原激活蛋白激酶抑制剂治疗。接受辅助治疗的患者的中位生存期为24(10.9-37.2)个月,而未接受辅助治疗的患者的中位生存期为15(9.8-20.2)个月。DFS的多变量分析显示,接受辅助治疗和淋巴结转移分期是独立的重要参数(分别为P = 0.021和P = 0.018)。在DFS方面,程序性细胞死亡蛋白-1抑制剂治疗与其他辅助治疗之间没有统计学差异。在总生存期(OS)方面,接受辅助治疗的患者的中位OS为71(30.4-111.7)个月,而未接受辅助治疗的患者的中位OS为38(16.7-59.3;P = 0.023)个月。此外,不同辅助治疗药物的中位生存期也无明显差异(P = 0.122)。在我们的研究中,我们发现辅助治疗对接受治愈性手术的 III-IV 期盲灶黑色素瘤患者的 DFS 和 OS 均有积极影响。值得注意的是,我们发现抗PD-1疗法与其他辅助疗法之间没有明显差异。
本文章由计算机程序翻译,如有差异,请以英文原文为准。

The Effectiveness of Adjuvant PD-1 Inhibitors in Patients With Surgically Resected Stage III/IV Acral Melanoma.

The Effectiveness of Adjuvant PD-1 Inhibitors in Patients With Surgically Resected Stage III/IV Acral Melanoma.

The Effectiveness of Adjuvant PD-1 Inhibitors in Patients With Surgically Resected Stage III/IV Acral Melanoma.

Our aim was to assess the efficacy of adjuvant programmed cell death protein-1 (PD-1) inhibitors and compare the other adjuvant treatments in patients with surgically resected stage III or IV acral melanoma. This study is a multicenter, retrospective analysis. We included 114 patients with stage III or IV acral malignant melanoma who underwent surgery within the past 10 years. We analyzed the effect of adjuvant programmed cell death protein-1 inhibitors on disease-free survival (DFS). The mean follow-up was 40 months, during which 69 (59.5%) patients experienced recurrence. Among the participants, 64 (56.1%) received systemic adjuvant therapy. Specifically, 48.4% received anti-PD-1 therapy, 29.7% received interferon, 14.1% received tezozolomide, and 7.8% received B-Raf proto-oncogene/mitogen-activated protein kinase inhibitors. Patients who received adjuvant therapy had a median DFS of 24 (10.9-37.2) months, whereas those who did not receive adjuvant therapy had a median DFS of 15 (9.8-20.2) months. Multivariate analysis for DFS revealed that the receipt of adjuvant therapy and lymph node metastasis stage were independent significant parameters ( P = 0.021, P = 0.018, respectively). No statistically significant difference was observed for DFS between programmed cell death protein-1 inhibitor treatment and other adjuvant treatments. Regarding overall survival (OS), patients who received adjuvant treatment had a median OS of 71 (30.4-111.7) months, whereas those who did not receive adjuvant treatment had a median OS of 38 (16.7-59.3; P = 0.023) months. In addition, there were no significant differences in OS observed between various adjuvant treatment agents ( P = 0.122). In our study, we have shown that adjuvant therapy had a positive effect on both DFS and OS in patients with stages III-IV acral melanoma who underwent curative intent surgery. Notably, we found no significant differences between anti-PD-1 therapy and other adjuvant therapies.

求助全文
通过发布文献求助,成功后即可免费获取论文全文。 去求助
来源期刊
Journal of Immunotherapy
Journal of Immunotherapy 医学-免疫学
CiteScore
6.90
自引率
0.00%
发文量
79
审稿时长
6-12 weeks
期刊介绍: Journal of Immunotherapy features rapid publication of articles on immunomodulators, lymphokines, antibodies, cells, and cell products in cancer biology and therapy. Laboratory and preclinical studies, as well as investigative clinical reports, are presented. The journal emphasizes basic mechanisms and methods for the rapid transfer of technology from the laboratory to the clinic. JIT contains full-length articles, review articles, and short communications.
×
引用
GB/T 7714-2015
复制
MLA
复制
APA
复制
导出至
BibTeX EndNote RefMan NoteFirst NoteExpress
×
提示
您的信息不完整,为了账户安全,请先补充。
现在去补充
×
提示
您因"违规操作"
具体请查看互助需知
我知道了
×
提示
确定
请完成安全验证×
copy
已复制链接
快去分享给好友吧!
我知道了
右上角分享
点击右上角分享
0
联系我们:info@booksci.cn Book学术提供免费学术资源搜索服务,方便国内外学者检索中英文文献。致力于提供最便捷和优质的服务体验。 Copyright © 2023 布克学术 All rights reserved.
京ICP备2023020795号-1
ghs 京公网安备 11010802042870号
Book学术文献互助
Book学术文献互助群
群 号:604180095
Book学术官方微信