夜间心率可预测纤维肌痛和原发性背痛患者次日的疼痛。

IF 3.1 Q2 NEUROSCIENCES
Pain Reports Pub Date : 2024-02-01 eCollection Date: 2024-04-01 DOI:10.1097/PR9.0000000000001119
Veronica Dudarev, Oswald Barral, Mariia Radaeva, Guy Davis, James T Enns
{"title":"夜间心率可预测纤维肌痛和原发性背痛患者次日的疼痛。","authors":"Veronica Dudarev, Oswald Barral, Mariia Radaeva, Guy Davis, James T Enns","doi":"10.1097/PR9.0000000000001119","DOIUrl":null,"url":null,"abstract":"<p><strong>Introduction: </strong>Primary chronic pain is pain that persists for over 3 months without associated measurable tissue damage. One of the most consistent findings in primary chronic pain is its association with autonomic hyperactivation. Yet whether the autonomic hyperactivation causes the pain or results from it is still unclear. It is also unclear to what extent autonomic hyperactivation is related to experienced pain intensity in different subtypes or primary chronic pain.</p><p><strong>Objectives: </strong>Our first aim was to test lagged relationships between the markers of autonomic activation (heart rate) and pain intensity to determine its directionality. The main question here was whether autonomic biomarkers predict pain intensity or whether pain intensity predicts autonomic biomarkers. The second aim was to test whether this relationship is different between people with primary back pain and people with fibromyalgia.</p><p><strong>Methods: </strong>Sixty-six patients with chronic pain were observed over an average of 81 days. Sleep heart rate and heart rate variability were measured with a wearable sensor, and pain intensity was assessed from daily subjective reports.</p><p><strong>Results: </strong>The results showed a predictive relationship between sleep heart rate and next-day pain intensity (<i>P</i> < 0.05), but not between daily pain intensity and next night heart rate. There was no interaction with the type of chronic pain.</p><p><strong>Conclusions: </strong>These findings suggest that autonomic hyperactivation, whether stress-driven or arising from other causes, <i>precedes</i> increases in primary chronic pain. Moreover, the present results suggest that autonomic hyperactivation is a common mechanism underlying the pain experience in fibromyalgia and chronic back pain.</p>","PeriodicalId":52189,"journal":{"name":"Pain Reports","volume":"9 2","pages":"e1119"},"PeriodicalIF":3.1000,"publicationDate":"2024-02-01","publicationTypes":"Journal Article","fieldsOfStudy":null,"isOpenAccess":false,"openAccessPdf":"https://www.ncbi.nlm.nih.gov/pmc/articles/PMC10843528/pdf/","citationCount":"0","resultStr":"{\"title\":\"Night time heart rate predicts next-day pain in fibromyalgia and primary back pain.\",\"authors\":\"Veronica Dudarev, Oswald Barral, Mariia Radaeva, Guy Davis, James T Enns\",\"doi\":\"10.1097/PR9.0000000000001119\",\"DOIUrl\":null,\"url\":null,\"abstract\":\"<p><strong>Introduction: </strong>Primary chronic pain is pain that persists for over 3 months without associated measurable tissue damage. One of the most consistent findings in primary chronic pain is its association with autonomic hyperactivation. Yet whether the autonomic hyperactivation causes the pain or results from it is still unclear. It is also unclear to what extent autonomic hyperactivation is related to experienced pain intensity in different subtypes or primary chronic pain.</p><p><strong>Objectives: </strong>Our first aim was to test lagged relationships between the markers of autonomic activation (heart rate) and pain intensity to determine its directionality. The main question here was whether autonomic biomarkers predict pain intensity or whether pain intensity predicts autonomic biomarkers. The second aim was to test whether this relationship is different between people with primary back pain and people with fibromyalgia.</p><p><strong>Methods: </strong>Sixty-six patients with chronic pain were observed over an average of 81 days. Sleep heart rate and heart rate variability were measured with a wearable sensor, and pain intensity was assessed from daily subjective reports.</p><p><strong>Results: </strong>The results showed a predictive relationship between sleep heart rate and next-day pain intensity (<i>P</i> < 0.05), but not between daily pain intensity and next night heart rate. There was no interaction with the type of chronic pain.</p><p><strong>Conclusions: </strong>These findings suggest that autonomic hyperactivation, whether stress-driven or arising from other causes, <i>precedes</i> increases in primary chronic pain. Moreover, the present results suggest that autonomic hyperactivation is a common mechanism underlying the pain experience in fibromyalgia and chronic back pain.</p>\",\"PeriodicalId\":52189,\"journal\":{\"name\":\"Pain Reports\",\"volume\":\"9 2\",\"pages\":\"e1119\"},\"PeriodicalIF\":3.1000,\"publicationDate\":\"2024-02-01\",\"publicationTypes\":\"Journal Article\",\"fieldsOfStudy\":null,\"isOpenAccess\":false,\"openAccessPdf\":\"https://www.ncbi.nlm.nih.gov/pmc/articles/PMC10843528/pdf/\",\"citationCount\":\"0\",\"resultStr\":null,\"platform\":\"Semanticscholar\",\"paperid\":null,\"PeriodicalName\":\"Pain Reports\",\"FirstCategoryId\":\"1085\",\"ListUrlMain\":\"https://doi.org/10.1097/PR9.0000000000001119\",\"RegionNum\":0,\"RegionCategory\":null,\"ArticlePicture\":[],\"TitleCN\":null,\"AbstractTextCN\":null,\"PMCID\":null,\"EPubDate\":\"2024/4/1 0:00:00\",\"PubModel\":\"eCollection\",\"JCR\":\"Q2\",\"JCRName\":\"NEUROSCIENCES\",\"Score\":null,\"Total\":0}","platform":"Semanticscholar","paperid":null,"PeriodicalName":"Pain Reports","FirstCategoryId":"1085","ListUrlMain":"https://doi.org/10.1097/PR9.0000000000001119","RegionNum":0,"RegionCategory":null,"ArticlePicture":[],"TitleCN":null,"AbstractTextCN":null,"PMCID":null,"EPubDate":"2024/4/1 0:00:00","PubModel":"eCollection","JCR":"Q2","JCRName":"NEUROSCIENCES","Score":null,"Total":0}
引用次数: 0

摘要

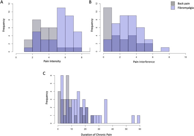
导言:原发性慢性疼痛是指疼痛持续 3 个月以上,但没有相关的可测量的组织损伤。原发性慢性疼痛最一致的发现之一是与自律神经过度激活有关。然而,自律神经过度激活是导致疼痛的原因,还是疼痛的结果,目前仍不清楚。在不同亚型或原发性慢性疼痛中,自律神经亢进在多大程度上与体验到的疼痛强度有关,也尚不清楚:我们的第一个目的是测试自律神经激活标记物(心率)与疼痛强度之间的滞后关系,以确定其方向性。这里的主要问题是,自律神经生物标志物是否能预测疼痛强度,或者疼痛强度是否能预测自律神经生物标志物。第二个目的是测试原发性背痛患者和纤维肌痛患者之间的这种关系是否不同:对 66 名慢性疼痛患者进行了平均 81 天的观察。方法:对 66 名慢性疼痛患者进行了平均 81 天的观察,使用可穿戴传感器测量睡眠心率和心率变异性,并根据每日主观报告评估疼痛强度:结果表明,睡眠心率与次日疼痛强度之间存在预测关系(P < 0.05),但每日疼痛强度与次日夜间心率之间不存在预测关系。结论:这些研究结果表明,自律神经过度活跃会导致慢性疼痛:这些研究结果表明,无论是压力驱动还是其他原因导致的自律神经过度激活,都会先于原发性慢性疼痛的加剧。此外,本研究结果还表明,自律神经过度激活是纤维肌痛和慢性背痛患者疼痛体验的共同机制。
本文章由计算机程序翻译,如有差异,请以英文原文为准。

Night time heart rate predicts next-day pain in fibromyalgia and primary back pain.

Night time heart rate predicts next-day pain in fibromyalgia and primary back pain.

Night time heart rate predicts next-day pain in fibromyalgia and primary back pain.

Night time heart rate predicts next-day pain in fibromyalgia and primary back pain.

Introduction: Primary chronic pain is pain that persists for over 3 months without associated measurable tissue damage. One of the most consistent findings in primary chronic pain is its association with autonomic hyperactivation. Yet whether the autonomic hyperactivation causes the pain or results from it is still unclear. It is also unclear to what extent autonomic hyperactivation is related to experienced pain intensity in different subtypes or primary chronic pain.

Objectives: Our first aim was to test lagged relationships between the markers of autonomic activation (heart rate) and pain intensity to determine its directionality. The main question here was whether autonomic biomarkers predict pain intensity or whether pain intensity predicts autonomic biomarkers. The second aim was to test whether this relationship is different between people with primary back pain and people with fibromyalgia.

Methods: Sixty-six patients with chronic pain were observed over an average of 81 days. Sleep heart rate and heart rate variability were measured with a wearable sensor, and pain intensity was assessed from daily subjective reports.

Results: The results showed a predictive relationship between sleep heart rate and next-day pain intensity (P < 0.05), but not between daily pain intensity and next night heart rate. There was no interaction with the type of chronic pain.

Conclusions: These findings suggest that autonomic hyperactivation, whether stress-driven or arising from other causes, precedes increases in primary chronic pain. Moreover, the present results suggest that autonomic hyperactivation is a common mechanism underlying the pain experience in fibromyalgia and chronic back pain.

求助全文
通过发布文献求助,成功后即可免费获取论文全文。 去求助
来源期刊
Pain Reports
Pain Reports Medicine-Anesthesiology and Pain Medicine
CiteScore
7.50
自引率
2.10%
发文量
93
审稿时长
8 weeks
×
引用
GB/T 7714-2015
复制
MLA
复制
APA
复制
导出至
BibTeX EndNote RefMan NoteFirst NoteExpress
×
提示
您的信息不完整,为了账户安全,请先补充。
现在去补充
×
提示
您因"违规操作"
具体请查看互助需知
我知道了
×
提示
确定
请完成安全验证×
copy
已复制链接
快去分享给好友吧!
我知道了
右上角分享
点击右上角分享
0
联系我们:info@booksci.cn Book学术提供免费学术资源搜索服务,方便国内外学者检索中英文文献。致力于提供最便捷和优质的服务体验。 Copyright © 2023 布克学术 All rights reserved.
京ICP备2023020795号-1
ghs 京公网安备 11010802042870号
Book学术文献互助
Book学术文献互助群
群 号:604180095
Book学术官方微信