利用新一代测序技术对胶质瘤患者进行全面的分子遗传学分析。

Taeeun Kim, Ahwon Lee, Stephan Ahn, Jae Sung Park, Sin Soo Jeun, Youn Soo Lee
{"title":"利用新一代测序技术对胶质瘤患者进行全面的分子遗传学分析。","authors":"Taeeun Kim, Ahwon Lee, Stephan Ahn, Jae Sung Park, Sin Soo Jeun, Youn Soo Lee","doi":"10.14791/btrt.2023.0036","DOIUrl":null,"url":null,"abstract":"<p><strong>Background: </strong>Glioma is caused by multiple genomic alterations. The evolving classification of gliomas emphasizes the significance of molecular testing. Next generation sequencing (NGS) offers the assessment of parallel combinations of multiple genetic alterations and identifying actionable mutations that guide treatment. This study comprehensively analyzed glioma patients using multi-gene NGS panels, providing powerful insights to inform diagnostic classification and targeted therapies.</p><p><strong>Methods: </strong>We conducted a targeted panel-based NGS analysis on formalin-fixed and paraffin-embedded nucleic acids extracted from a total of 147 glioma patients. These samples underwent amplicon capture-based library preparation and sequenced using the Oncomine Comprehensive Assay platform. The resulting sequencing data were then analyzed using the bioinformatics tools.</p><p><strong>Results: </strong>A total of 301 mutations, were found in 132 out of 147 tumors (89.8%). These mutations were in 68 different genes. In 62 tumor samples (42.2%), copy number variations (CNVs) with gene amplifications occurred in 25 genes. Moreover, 25 tumor samples (17.0%) showed gene fusions in 6 genes and intragenic deletion in a gene. Our analysis identified actionable targets in several genes, including 11 with mutations, 8 with CNVs, and 3 with gene fusions and intragenic deletion. These findings could impact FDA-approved therapies, NCCN guideline-based treatments, and clinical trials.</p><p><strong>Conclusion: </strong>We analyzed precisely diagnosing the classification of gliomas, detailing the frequency and co-occurrence of genetic alterations and identifying genetic alterations with potential therapeutic targets by NGS-based molecular analysis. The high-throughput NGS analysis is an efficient and powerful tool to comprehensively support molecular testing in neurooncology.</p>","PeriodicalId":72453,"journal":{"name":"Brain tumor research and treatment","volume":"12 1","pages":"23-39"},"PeriodicalIF":0.0000,"publicationDate":"2024-01-01","publicationTypes":"Journal Article","fieldsOfStudy":null,"isOpenAccess":false,"openAccessPdf":"https://www.ncbi.nlm.nih.gov/pmc/articles/PMC10864139/pdf/","citationCount":"0","resultStr":"{\"title\":\"Comprehensive Molecular Genetic Analysis in Glioma Patients by Next Generation Sequencing.\",\"authors\":\"Taeeun Kim, Ahwon Lee, Stephan Ahn, Jae Sung Park, Sin Soo Jeun, Youn Soo Lee\",\"doi\":\"10.14791/btrt.2023.0036\",\"DOIUrl\":null,\"url\":null,\"abstract\":\"<p><strong>Background: </strong>Glioma is caused by multiple genomic alterations. The evolving classification of gliomas emphasizes the significance of molecular testing. Next generation sequencing (NGS) offers the assessment of parallel combinations of multiple genetic alterations and identifying actionable mutations that guide treatment. This study comprehensively analyzed glioma patients using multi-gene NGS panels, providing powerful insights to inform diagnostic classification and targeted therapies.</p><p><strong>Methods: </strong>We conducted a targeted panel-based NGS analysis on formalin-fixed and paraffin-embedded nucleic acids extracted from a total of 147 glioma patients. These samples underwent amplicon capture-based library preparation and sequenced using the Oncomine Comprehensive Assay platform. The resulting sequencing data were then analyzed using the bioinformatics tools.</p><p><strong>Results: </strong>A total of 301 mutations, were found in 132 out of 147 tumors (89.8%). These mutations were in 68 different genes. In 62 tumor samples (42.2%), copy number variations (CNVs) with gene amplifications occurred in 25 genes. Moreover, 25 tumor samples (17.0%) showed gene fusions in 6 genes and intragenic deletion in a gene. Our analysis identified actionable targets in several genes, including 11 with mutations, 8 with CNVs, and 3 with gene fusions and intragenic deletion. These findings could impact FDA-approved therapies, NCCN guideline-based treatments, and clinical trials.</p><p><strong>Conclusion: </strong>We analyzed precisely diagnosing the classification of gliomas, detailing the frequency and co-occurrence of genetic alterations and identifying genetic alterations with potential therapeutic targets by NGS-based molecular analysis. The high-throughput NGS analysis is an efficient and powerful tool to comprehensively support molecular testing in neurooncology.</p>\",\"PeriodicalId\":72453,\"journal\":{\"name\":\"Brain tumor research and treatment\",\"volume\":\"12 1\",\"pages\":\"23-39\"},\"PeriodicalIF\":0.0000,\"publicationDate\":\"2024-01-01\",\"publicationTypes\":\"Journal Article\",\"fieldsOfStudy\":null,\"isOpenAccess\":false,\"openAccessPdf\":\"https://www.ncbi.nlm.nih.gov/pmc/articles/PMC10864139/pdf/\",\"citationCount\":\"0\",\"resultStr\":null,\"platform\":\"Semanticscholar\",\"paperid\":null,\"PeriodicalName\":\"Brain tumor research and treatment\",\"FirstCategoryId\":\"1085\",\"ListUrlMain\":\"https://doi.org/10.14791/btrt.2023.0036\",\"RegionNum\":0,\"RegionCategory\":null,\"ArticlePicture\":[],\"TitleCN\":null,\"AbstractTextCN\":null,\"PMCID\":null,\"EPubDate\":\"\",\"PubModel\":\"\",\"JCR\":\"\",\"JCRName\":\"\",\"Score\":null,\"Total\":0}","platform":"Semanticscholar","paperid":null,"PeriodicalName":"Brain tumor research and treatment","FirstCategoryId":"1085","ListUrlMain":"https://doi.org/10.14791/btrt.2023.0036","RegionNum":0,"RegionCategory":null,"ArticlePicture":[],"TitleCN":null,"AbstractTextCN":null,"PMCID":null,"EPubDate":"","PubModel":"","JCR":"","JCRName":"","Score":null,"Total":0}
引用次数: 0

摘要

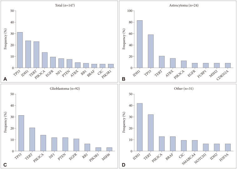
背景:胶质瘤是由多种基因组改变引起的。胶质瘤分类的不断发展强调了分子检测的重要性。下一代测序(NGS)可评估多种基因改变的平行组合,并确定可用于指导治疗的突变。本研究利用多基因 NGS 面板对胶质瘤患者进行了全面分析,为诊断分类和靶向治疗提供了有力的依据:我们对从 147 名胶质瘤患者身上提取的福尔马林固定和石蜡包埋核酸进行了基于靶向面板的 NGS 分析。这些样本经过基于扩增子捕获的文库制备,并使用 Oncomine Comprehensive Assay 平台进行测序。然后使用生物信息学工具对测序数据进行分析:结果:147 例肿瘤中有 132 例(89.8%)发现了 301 个基因突变。这些突变存在于 68 个不同的基因中。在 62 个肿瘤样本(42.2%)中,25 个基因发生了拷贝数变异(CNVs)和基因扩增。此外,25 个肿瘤样本(17.0%)的 6 个基因出现基因融合,1 个基因出现基因内缺失。我们的分析在多个基因中发现了可操作的靶点,包括 11 个基因突变、8 个基因 CNVs 以及 3 个基因融合和基因内缺失。这些发现可能会对美国食品药品管理局批准的疗法、NCCN指南中的治疗方法和临床试验产生影响:我们分析了胶质瘤的精确诊断分类,详细说明了基因改变的频率和共存情况,并通过基于 NGS 的分子分析确定了具有潜在治疗靶点的基因改变。高通量 NGS 分析是全面支持神经肿瘤学分子检测的高效而强大的工具。
本文章由计算机程序翻译,如有差异,请以英文原文为准。

Comprehensive Molecular Genetic Analysis in Glioma Patients by Next Generation Sequencing.

Comprehensive Molecular Genetic Analysis in Glioma Patients by Next Generation Sequencing.

Comprehensive Molecular Genetic Analysis in Glioma Patients by Next Generation Sequencing.

Comprehensive Molecular Genetic Analysis in Glioma Patients by Next Generation Sequencing.

Background: Glioma is caused by multiple genomic alterations. The evolving classification of gliomas emphasizes the significance of molecular testing. Next generation sequencing (NGS) offers the assessment of parallel combinations of multiple genetic alterations and identifying actionable mutations that guide treatment. This study comprehensively analyzed glioma patients using multi-gene NGS panels, providing powerful insights to inform diagnostic classification and targeted therapies.

Methods: We conducted a targeted panel-based NGS analysis on formalin-fixed and paraffin-embedded nucleic acids extracted from a total of 147 glioma patients. These samples underwent amplicon capture-based library preparation and sequenced using the Oncomine Comprehensive Assay platform. The resulting sequencing data were then analyzed using the bioinformatics tools.

Results: A total of 301 mutations, were found in 132 out of 147 tumors (89.8%). These mutations were in 68 different genes. In 62 tumor samples (42.2%), copy number variations (CNVs) with gene amplifications occurred in 25 genes. Moreover, 25 tumor samples (17.0%) showed gene fusions in 6 genes and intragenic deletion in a gene. Our analysis identified actionable targets in several genes, including 11 with mutations, 8 with CNVs, and 3 with gene fusions and intragenic deletion. These findings could impact FDA-approved therapies, NCCN guideline-based treatments, and clinical trials.

Conclusion: We analyzed precisely diagnosing the classification of gliomas, detailing the frequency and co-occurrence of genetic alterations and identifying genetic alterations with potential therapeutic targets by NGS-based molecular analysis. The high-throughput NGS analysis is an efficient and powerful tool to comprehensively support molecular testing in neurooncology.

求助全文
通过发布文献求助,成功后即可免费获取论文全文。 去求助
来源期刊
自引率
0.00%
发文量
0
×
引用
GB/T 7714-2015
复制
MLA
复制
APA
复制
导出至
BibTeX EndNote RefMan NoteFirst NoteExpress
×
提示
您的信息不完整,为了账户安全,请先补充。
现在去补充
×
提示
您因"违规操作"
具体请查看互助需知
我知道了
×
提示
确定
请完成安全验证×
copy
已复制链接
快去分享给好友吧!
我知道了
右上角分享
点击右上角分享
0
联系我们:info@booksci.cn Book学术提供免费学术资源搜索服务,方便国内外学者检索中英文文献。致力于提供最便捷和优质的服务体验。 Copyright © 2023 布克学术 All rights reserved.
京ICP备2023020795号-1
ghs 京公网安备 11010802042870号
Book学术文献互助
Book学术文献互助群
群 号:604180095
Book学术官方微信