减少课间久坐时间可减少小学生肥胖:积极运动研究。

IF 4.7 3区 医学 Q2 ENDOCRINOLOGY & METABOLISM
Obesity Facts Pub Date : 2024-01-01 Epub Date: 2024-02-05 DOI:10.1159/000536665
Flaminia Ronca, Paul W Burgess, Peter Savage, Nipuna Senaratne, Evelyn Watson, Mike Loosemore
{"title":"减少课间久坐时间可减少小学生肥胖:积极运动研究。","authors":"Flaminia Ronca, Paul W Burgess, Peter Savage, Nipuna Senaratne, Evelyn Watson, Mike Loosemore","doi":"10.1159/000536665","DOIUrl":null,"url":null,"abstract":"<p><strong>Introduction: </strong>School-based exercise interventions targeted at reducing obesity are often successful in the short term, but they are resource-heavy and do not always lead to long-lasting behaviour changes. This study investigated the effect of reducing sedentary time, rather than increasing exercise, on physical activity (PA) behaviours and obesity in primary school children.</p><p><strong>Methods: </strong>Thirty UK state primary schools participated in this cluster-controlled intervention study (IDACI score = 0.15 ± 0.07, free school meals = 26 ± 9%). Twenty-six intervention and 4 control schools (intervention = 3,529, control = 308 children) completed the Physical Activity Questionnaire for Children (PAQ-C) in terms 1 and 3. Three intervention and 3 control schools (intervention = 219, control = 152 children) also measured waist-to-height ratio (WTHR). The Active Movement Intervention is a school-based programme which integrates non-sedentary behaviours such as standing and walking in the classroom. Data were analysed via ANCOVAs and multiple linear regressions.</p><p><strong>Results: </strong>WTHR was reduced by 8% in the intervention group only (F(2, 285) = 11.387, p &lt; 0.001), and sport participation increased by 10% in the intervention group only (F(1, 232) = 6.982, p = 0.008). Other PAQ-C measures increased significantly in the intervention group, but there was no group*time interaction. Changes in PAQ-C did not predict reductions in WTHR. Instead, the amount of change in WTHR was predicted by intervention group and by baseline WTHR of the pupil, where children with higher baseline WTHR showed greater reductions (F(2, 365) = 77.21, p &lt; 0.001, R2 = 0.30). Socio-economic status (SES), age, or gender did not mediate any of the changes in the PAQ-C or WTHR.</p><p><strong>Conclusion: </strong>Reducing sedentary behaviours during school time can be an effective obesity reduction strategy for primary school children who are overweight. The lack of demographic effects suggests that this method can be effective regardless of the school's SES, pupil age, or gender.</p>","PeriodicalId":19414,"journal":{"name":"Obesity Facts","volume":" ","pages":"243-254"},"PeriodicalIF":4.7000,"publicationDate":"2024-01-01","publicationTypes":"Journal Article","fieldsOfStudy":null,"isOpenAccess":false,"openAccessPdf":"https://www.ncbi.nlm.nih.gov/pmc/articles/PMC11149966/pdf/","citationCount":"0","resultStr":"{\"title\":\"Decreasing Sedentary Time during Lessons Reduces Obesity in Primary School Children: The Active Movement Study.\",\"authors\":\"Flaminia Ronca, Paul W Burgess, Peter Savage, Nipuna Senaratne, Evelyn Watson, Mike Loosemore\",\"doi\":\"10.1159/000536665\",\"DOIUrl\":null,\"url\":null,\"abstract\":\"<p><strong>Introduction: </strong>School-based exercise interventions targeted at reducing obesity are often successful in the short term, but they are resource-heavy and do not always lead to long-lasting behaviour changes. This study investigated the effect of reducing sedentary time, rather than increasing exercise, on physical activity (PA) behaviours and obesity in primary school children.</p><p><strong>Methods: </strong>Thirty UK state primary schools participated in this cluster-controlled intervention study (IDACI score = 0.15 ± 0.07, free school meals = 26 ± 9%). Twenty-six intervention and 4 control schools (intervention = 3,529, control = 308 children) completed the Physical Activity Questionnaire for Children (PAQ-C) in terms 1 and 3. Three intervention and 3 control schools (intervention = 219, control = 152 children) also measured waist-to-height ratio (WTHR). The Active Movement Intervention is a school-based programme which integrates non-sedentary behaviours such as standing and walking in the classroom. Data were analysed via ANCOVAs and multiple linear regressions.</p><p><strong>Results: </strong>WTHR was reduced by 8% in the intervention group only (F(2, 285) = 11.387, p &lt; 0.001), and sport participation increased by 10% in the intervention group only (F(1, 232) = 6.982, p = 0.008). Other PAQ-C measures increased significantly in the intervention group, but there was no group*time interaction. Changes in PAQ-C did not predict reductions in WTHR. Instead, the amount of change in WTHR was predicted by intervention group and by baseline WTHR of the pupil, where children with higher baseline WTHR showed greater reductions (F(2, 365) = 77.21, p &lt; 0.001, R2 = 0.30). Socio-economic status (SES), age, or gender did not mediate any of the changes in the PAQ-C or WTHR.</p><p><strong>Conclusion: </strong>Reducing sedentary behaviours during school time can be an effective obesity reduction strategy for primary school children who are overweight. The lack of demographic effects suggests that this method can be effective regardless of the school's SES, pupil age, or gender.</p>\",\"PeriodicalId\":19414,\"journal\":{\"name\":\"Obesity Facts\",\"volume\":\" \",\"pages\":\"243-254\"},\"PeriodicalIF\":4.7000,\"publicationDate\":\"2024-01-01\",\"publicationTypes\":\"Journal Article\",\"fieldsOfStudy\":null,\"isOpenAccess\":false,\"openAccessPdf\":\"https://www.ncbi.nlm.nih.gov/pmc/articles/PMC11149966/pdf/\",\"citationCount\":\"0\",\"resultStr\":null,\"platform\":\"Semanticscholar\",\"paperid\":null,\"PeriodicalName\":\"Obesity Facts\",\"FirstCategoryId\":\"3\",\"ListUrlMain\":\"https://doi.org/10.1159/000536665\",\"RegionNum\":3,\"RegionCategory\":\"医学\",\"ArticlePicture\":[],\"TitleCN\":null,\"AbstractTextCN\":null,\"PMCID\":null,\"EPubDate\":\"2024/2/5 0:00:00\",\"PubModel\":\"Epub\",\"JCR\":\"Q2\",\"JCRName\":\"ENDOCRINOLOGY & METABOLISM\",\"Score\":null,\"Total\":0}","platform":"Semanticscholar","paperid":null,"PeriodicalName":"Obesity Facts","FirstCategoryId":"3","ListUrlMain":"https://doi.org/10.1159/000536665","RegionNum":3,"RegionCategory":"医学","ArticlePicture":[],"TitleCN":null,"AbstractTextCN":null,"PMCID":null,"EPubDate":"2024/2/5 0:00:00","PubModel":"Epub","JCR":"Q2","JCRName":"ENDOCRINOLOGY & METABOLISM","Score":null,"Total":0}
引用次数: 0

摘要

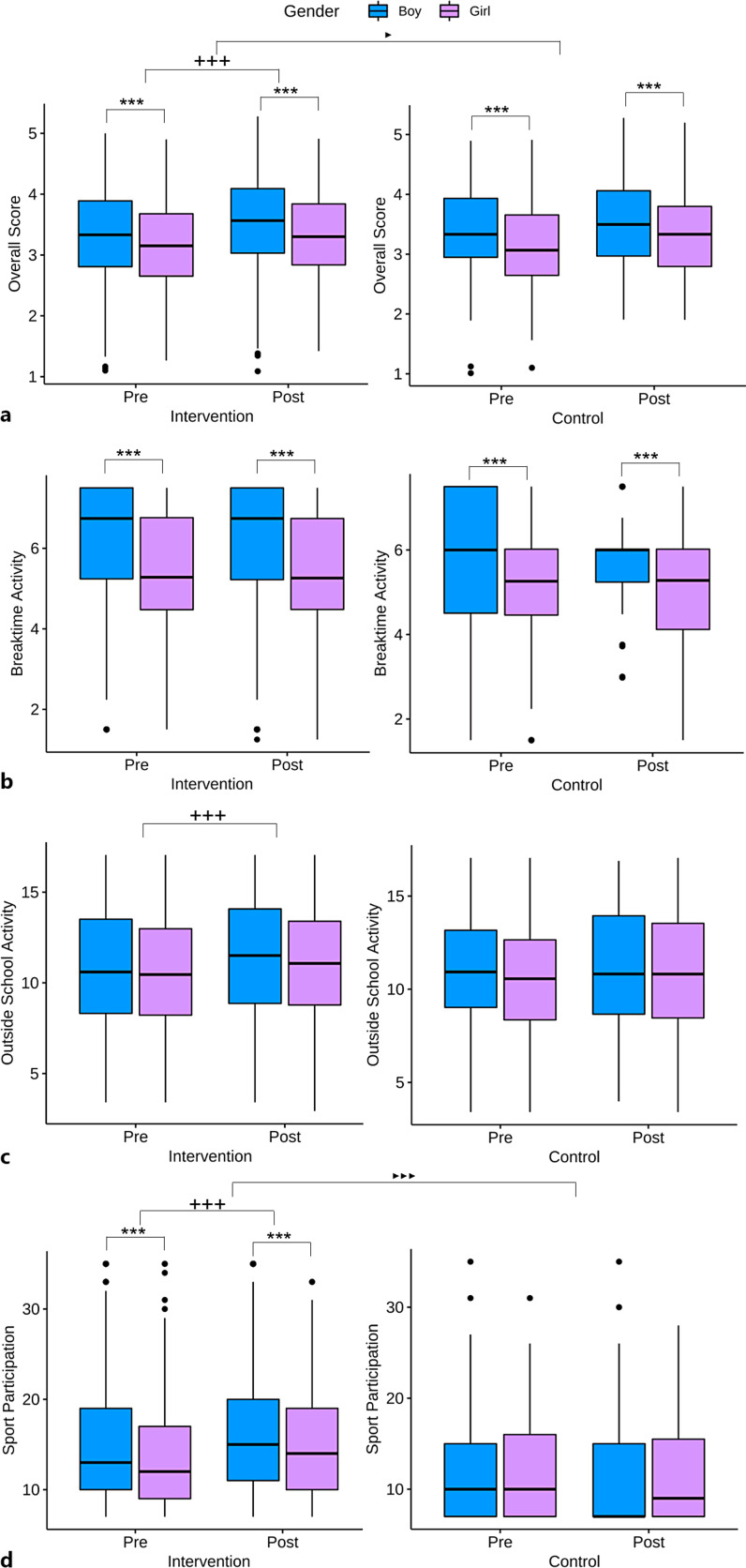
导言:以减少肥胖为目标的学校运动干预措施通常在短期内取得成功,但这些措施需要大量资源,而且并不总能带来持久的行为改变。本研究调查了减少久坐时间而非增加运动量对小学生体育活动(PA)行为和肥胖的影响。方法:30 所英国公立小学参与了这项分组对照干预研究(IDACI 分数 = .15 ± .07, 免费校餐 = 26 ± 9 %)。26 所干预学校和 4 所对照学校(干预学校 = 3529 名儿童,对照学校 = 308 名儿童)完成了第一学期和第三学期的儿童体育活动问卷调查(PAQ-C)。3 所干预学校和 3 所对照学校(干预学校 = 219 名儿童,对照学校 = 152 名儿童)还测量了腰围与身高的比率(WTHR)。积极运动干预是一项以学校为基础的计划,将站立和步行等非久坐行为纳入课堂。数据通过方差分析和多元线性回归进行分析:仅干预组的 WTHR 减少了 8%(F(2,285) = 11.387,p < .001),仅干预组的运动参与率增加了 10%(F(1,232) = 6.982,p = .008)。干预组的其他 PAQ-C 指标也有明显提高,但没有出现组别*时间的交互作用。PAQ-C 的变化并不能预测 WTHR 的下降。相反,WTHR 的变化量受干预组和学生基线 WTHR 的影响,基线 WTHR 较高的儿童的 WTHR 下降幅度更大(F(2,365)= 77.21,p < .001,R2 = .30)。社会经济地位(SES)、年龄或性别对 PAQ-C 或 WTHR 的任何变化都没有影响:结论:对于超重的小学生来说,减少上学期间的久坐行为是一种有效的减少肥胖的策略。缺乏人口统计学效应表明,无论学校的社会经济地位、学生年龄或性别如何,这种方法都是有效的。
本文章由计算机程序翻译,如有差异,请以英文原文为准。

Decreasing Sedentary Time during Lessons Reduces Obesity in Primary School Children: The Active Movement Study.

Decreasing Sedentary Time during Lessons Reduces Obesity in Primary School Children: The Active Movement Study.

Decreasing Sedentary Time during Lessons Reduces Obesity in Primary School Children: The Active Movement Study.

Decreasing Sedentary Time during Lessons Reduces Obesity in Primary School Children: The Active Movement Study.

Introduction: School-based exercise interventions targeted at reducing obesity are often successful in the short term, but they are resource-heavy and do not always lead to long-lasting behaviour changes. This study investigated the effect of reducing sedentary time, rather than increasing exercise, on physical activity (PA) behaviours and obesity in primary school children.

Methods: Thirty UK state primary schools participated in this cluster-controlled intervention study (IDACI score = 0.15 ± 0.07, free school meals = 26 ± 9%). Twenty-six intervention and 4 control schools (intervention = 3,529, control = 308 children) completed the Physical Activity Questionnaire for Children (PAQ-C) in terms 1 and 3. Three intervention and 3 control schools (intervention = 219, control = 152 children) also measured waist-to-height ratio (WTHR). The Active Movement Intervention is a school-based programme which integrates non-sedentary behaviours such as standing and walking in the classroom. Data were analysed via ANCOVAs and multiple linear regressions.

Results: WTHR was reduced by 8% in the intervention group only (F(2, 285) = 11.387, p < 0.001), and sport participation increased by 10% in the intervention group only (F(1, 232) = 6.982, p = 0.008). Other PAQ-C measures increased significantly in the intervention group, but there was no group*time interaction. Changes in PAQ-C did not predict reductions in WTHR. Instead, the amount of change in WTHR was predicted by intervention group and by baseline WTHR of the pupil, where children with higher baseline WTHR showed greater reductions (F(2, 365) = 77.21, p < 0.001, R2 = 0.30). Socio-economic status (SES), age, or gender did not mediate any of the changes in the PAQ-C or WTHR.

Conclusion: Reducing sedentary behaviours during school time can be an effective obesity reduction strategy for primary school children who are overweight. The lack of demographic effects suggests that this method can be effective regardless of the school's SES, pupil age, or gender.

求助全文
通过发布文献求助,成功后即可免费获取论文全文。 去求助
来源期刊
Obesity Facts
Obesity Facts 医学-内分泌学与代谢
CiteScore
6.80
自引率
5.60%
发文量
77
审稿时长
6-12 weeks
期刊介绍: ''Obesity Facts'' publishes articles covering all aspects of obesity, in particular epidemiology, etiology and pathogenesis, treatment, and the prevention of adiposity. As obesity is related to many disease processes, the journal is also dedicated to all topics pertaining to comorbidity and covers psychological and sociocultural aspects as well as influences of nutrition and exercise on body weight. The editors carefully select papers to present only the most recent findings in clinical practice and research. All professionals concerned with obesity issues will find this journal a most valuable update to keep them abreast of the latest scientific developments.
×
引用
GB/T 7714-2015
复制
MLA
复制
APA
复制
导出至
BibTeX EndNote RefMan NoteFirst NoteExpress
×
提示
您的信息不完整,为了账户安全,请先补充。
现在去补充
×
提示
您因"违规操作"
具体请查看互助需知
我知道了
×
提示
确定
请完成安全验证×
copy
已复制链接
快去分享给好友吧!
我知道了
右上角分享
点击右上角分享
0
联系我们:info@booksci.cn Book学术提供免费学术资源搜索服务,方便国内外学者检索中英文文献。致力于提供最便捷和优质的服务体验。 Copyright © 2023 布克学术 All rights reserved.
京ICP备2023020795号-1
ghs 京公网安备 11010802042870号
Book学术文献互助
Book学术文献互助群
群 号:604180095
Book学术官方微信