胸部计算机断层扫描低剂量方案的多机构评估:剂量和图像质量

IF 1 Q4 RADIOLOGY, NUCLEAR MEDICINE & MEDICAL IMAGING
Acta radiologica open Pub Date : 2024-01-30 eCollection Date: 2024-01-01 DOI:10.1177/20584601241228220
Elena Tonkopi, Mercy Afadzi Tetteh, Catherine Gunn, Haseem Ashraf, Sigrid Lia Rusten, Perkhah Safi, Nora Suu Tinsoe, Kylie Colford, Olivia Ouellet, Salma Naimi, Safora Johansen
{"title":"胸部计算机断层扫描低剂量方案的多机构评估:剂量和图像质量","authors":"Elena Tonkopi, Mercy Afadzi Tetteh, Catherine Gunn, Haseem Ashraf, Sigrid Lia Rusten, Perkhah Safi, Nora Suu Tinsoe, Kylie Colford, Olivia Ouellet, Salma Naimi, Safora Johansen","doi":"10.1177/20584601241228220","DOIUrl":null,"url":null,"abstract":"<p><strong>Background: </strong>Low-dose CT (LDCT) chest protocols have widespread clinical applications for many indications; as a result, there is a need for protocol assessment prior to standardization. Dalhousie University and Oslo Metropolitan University have a formally established cooperative relationship.</p><p><strong>Purpose: </strong>The purpose is to assess radiation dose and image quality for LDCT chest protocols in seven different hospital locations in Norway and Canada.</p><p><strong>Material and methods: </strong>Retrospective dosimetry data, volumetric CT dose index (CTDI<sub>vol</sub>), and dose length product (DLP) from 240 average-sized patients as well as CT protocol parameters were included in the survey. Effective dose (ED) and size-specific dose estimate (SSDE) were calculated for each examination. For a quantitative image quality analysis, noise, CT number, and signal-to-noise ratio (SNR) were determined for three regions in the chest. The contrast-to-noise ratio (CNR) was calculated for lung parenchyma in comparison to the subcutaneous fat. Differences in dose and image quality were evaluated by a single-factor ANOVA test. A two-sample <i>t</i>-test was performed to determine differences in means between individual scanners.</p><p><strong>Results: </strong>The ANOVA test revealed significant differences (<i>p</i> < .05) in dose values for all scanners, including identical scanner models. Statistically significant differences (<i>p</i> < .05) were determined in mean values of the SNR distributions between the scanners in all three measured regions in the chest, as well as the CNR values.</p><p><strong>Conclusion: </strong>The observed variations in dose and image quality measurements, even within the same hospitals and between identical scanner models, indicate a potential for protocol optimization in the involved hospitals in both countries.</p>","PeriodicalId":72063,"journal":{"name":"Acta radiologica open","volume":"13 1","pages":"20584601241228220"},"PeriodicalIF":1.0000,"publicationDate":"2024-01-30","publicationTypes":"Journal Article","fieldsOfStudy":null,"isOpenAccess":false,"openAccessPdf":"https://www.ncbi.nlm.nih.gov/pmc/articles/PMC10829498/pdf/","citationCount":"0","resultStr":"{\"title\":\"A multi-institutional assessment of low-dose protocols in chest computed tomography: Dose and image quality.\",\"authors\":\"Elena Tonkopi, Mercy Afadzi Tetteh, Catherine Gunn, Haseem Ashraf, Sigrid Lia Rusten, Perkhah Safi, Nora Suu Tinsoe, Kylie Colford, Olivia Ouellet, Salma Naimi, Safora Johansen\",\"doi\":\"10.1177/20584601241228220\",\"DOIUrl\":null,\"url\":null,\"abstract\":\"<p><strong>Background: </strong>Low-dose CT (LDCT) chest protocols have widespread clinical applications for many indications; as a result, there is a need for protocol assessment prior to standardization. Dalhousie University and Oslo Metropolitan University have a formally established cooperative relationship.</p><p><strong>Purpose: </strong>The purpose is to assess radiation dose and image quality for LDCT chest protocols in seven different hospital locations in Norway and Canada.</p><p><strong>Material and methods: </strong>Retrospective dosimetry data, volumetric CT dose index (CTDI<sub>vol</sub>), and dose length product (DLP) from 240 average-sized patients as well as CT protocol parameters were included in the survey. Effective dose (ED) and size-specific dose estimate (SSDE) were calculated for each examination. For a quantitative image quality analysis, noise, CT number, and signal-to-noise ratio (SNR) were determined for three regions in the chest. The contrast-to-noise ratio (CNR) was calculated for lung parenchyma in comparison to the subcutaneous fat. Differences in dose and image quality were evaluated by a single-factor ANOVA test. A two-sample <i>t</i>-test was performed to determine differences in means between individual scanners.</p><p><strong>Results: </strong>The ANOVA test revealed significant differences (<i>p</i> < .05) in dose values for all scanners, including identical scanner models. Statistically significant differences (<i>p</i> < .05) were determined in mean values of the SNR distributions between the scanners in all three measured regions in the chest, as well as the CNR values.</p><p><strong>Conclusion: </strong>The observed variations in dose and image quality measurements, even within the same hospitals and between identical scanner models, indicate a potential for protocol optimization in the involved hospitals in both countries.</p>\",\"PeriodicalId\":72063,\"journal\":{\"name\":\"Acta radiologica open\",\"volume\":\"13 1\",\"pages\":\"20584601241228220\"},\"PeriodicalIF\":1.0000,\"publicationDate\":\"2024-01-30\",\"publicationTypes\":\"Journal Article\",\"fieldsOfStudy\":null,\"isOpenAccess\":false,\"openAccessPdf\":\"https://www.ncbi.nlm.nih.gov/pmc/articles/PMC10829498/pdf/\",\"citationCount\":\"0\",\"resultStr\":null,\"platform\":\"Semanticscholar\",\"paperid\":null,\"PeriodicalName\":\"Acta radiologica open\",\"FirstCategoryId\":\"1085\",\"ListUrlMain\":\"https://doi.org/10.1177/20584601241228220\",\"RegionNum\":0,\"RegionCategory\":null,\"ArticlePicture\":[],\"TitleCN\":null,\"AbstractTextCN\":null,\"PMCID\":null,\"EPubDate\":\"2024/1/1 0:00:00\",\"PubModel\":\"eCollection\",\"JCR\":\"Q4\",\"JCRName\":\"RADIOLOGY, NUCLEAR MEDICINE & MEDICAL IMAGING\",\"Score\":null,\"Total\":0}","platform":"Semanticscholar","paperid":null,"PeriodicalName":"Acta radiologica open","FirstCategoryId":"1085","ListUrlMain":"https://doi.org/10.1177/20584601241228220","RegionNum":0,"RegionCategory":null,"ArticlePicture":[],"TitleCN":null,"AbstractTextCN":null,"PMCID":null,"EPubDate":"2024/1/1 0:00:00","PubModel":"eCollection","JCR":"Q4","JCRName":"RADIOLOGY, NUCLEAR MEDICINE & MEDICAL IMAGING","Score":null,"Total":0}
引用次数: 0

摘要

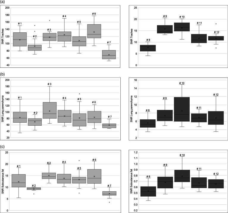
背景:低剂量 CT(LDCT)胸部方案在临床上广泛应用于多种适应症;因此,在标准化之前需要对方案进行评估。达尔豪斯大学和奥斯陆都会大学正式建立了合作关系。目的:旨在评估挪威和加拿大七家不同医院的低剂量 CT 胸部检查方案的辐射剂量和图像质量:调查包括 240 名平均体型患者的回顾性剂量测定数据、容积 CT 剂量指数 (CTDIvol) 和剂量长度乘积 (DLP),以及 CT 方案参数。每次检查都计算了有效剂量(ED)和特定体型剂量估计值(SSDE)。为了进行定量图像质量分析,对胸部三个区域的噪声、CT 数量和信噪比 (SNR) 进行了测定。对比皮下脂肪,计算肺实质的对比噪声比(CNR)。剂量和图像质量的差异通过单因素方差分析进行评估。采用双样本 t 检验来确定不同扫描仪之间的平均值差异:方差分析检验显示,所有扫描仪(包括相同型号的扫描仪)的剂量值都存在显著差异(p < .05)。在胸部所有三个测量区域,不同扫描仪的 SNR 分布平均值以及 CNR 值均存在统计学意义上的差异(p < .05):即使在同一家医院和相同型号的扫描仪之间,也能观察到剂量和图像质量测量的差异,这表明两国的相关医院都有可能对方案进行优化。
本文章由计算机程序翻译,如有差异,请以英文原文为准。

A multi-institutional assessment of low-dose protocols in chest computed tomography: Dose and image quality.

A multi-institutional assessment of low-dose protocols in chest computed tomography: Dose and image quality.

A multi-institutional assessment of low-dose protocols in chest computed tomography: Dose and image quality.

A multi-institutional assessment of low-dose protocols in chest computed tomography: Dose and image quality.

Background: Low-dose CT (LDCT) chest protocols have widespread clinical applications for many indications; as a result, there is a need for protocol assessment prior to standardization. Dalhousie University and Oslo Metropolitan University have a formally established cooperative relationship.

Purpose: The purpose is to assess radiation dose and image quality for LDCT chest protocols in seven different hospital locations in Norway and Canada.

Material and methods: Retrospective dosimetry data, volumetric CT dose index (CTDIvol), and dose length product (DLP) from 240 average-sized patients as well as CT protocol parameters were included in the survey. Effective dose (ED) and size-specific dose estimate (SSDE) were calculated for each examination. For a quantitative image quality analysis, noise, CT number, and signal-to-noise ratio (SNR) were determined for three regions in the chest. The contrast-to-noise ratio (CNR) was calculated for lung parenchyma in comparison to the subcutaneous fat. Differences in dose and image quality were evaluated by a single-factor ANOVA test. A two-sample t-test was performed to determine differences in means between individual scanners.

Results: The ANOVA test revealed significant differences (p < .05) in dose values for all scanners, including identical scanner models. Statistically significant differences (p < .05) were determined in mean values of the SNR distributions between the scanners in all three measured regions in the chest, as well as the CNR values.

Conclusion: The observed variations in dose and image quality measurements, even within the same hospitals and between identical scanner models, indicate a potential for protocol optimization in the involved hospitals in both countries.

求助全文
通过发布文献求助,成功后即可免费获取论文全文。 去求助
来源期刊
自引率
0.00%
发文量
0
审稿时长
12 weeks
×
引用
GB/T 7714-2015
复制
MLA
复制
APA
复制
导出至
BibTeX EndNote RefMan NoteFirst NoteExpress
×
提示
您的信息不完整,为了账户安全,请先补充。
现在去补充
×
提示
您因"违规操作"
具体请查看互助需知
我知道了
×
提示
确定
请完成安全验证×
copy
已复制链接
快去分享给好友吧!
我知道了
右上角分享
点击右上角分享
0
联系我们:info@booksci.cn Book学术提供免费学术资源搜索服务,方便国内外学者检索中英文文献。致力于提供最便捷和优质的服务体验。 Copyright © 2023 布克学术 All rights reserved.
京ICP备2023020795号-1
ghs 京公网安备 11010802042870号
Book学术文献互助
Book学术文献互助群
群 号:604180095
Book学术官方微信