胃腺癌中 RAD51、ATM、ATR、BRCA1 和 BRCA2 基因的 mRNA 表达和甲基化。

IF 2.6 Q2 MEDICINE, RESEARCH & EXPERIMENTAL
Biomarker Insights Pub Date : 2024-01-29 eCollection Date: 2024-01-01 DOI:10.1177/11772719231225206
Joel Del Bel Pádua, Carolline Fontes Alves Mariano, Alexandre Todorovic Fabro, Fermino Sanches Lizarte Neto, Rogério Lenotti Zuliani, Cláudia Tarcila Gomes Sares, José Sebastião Dos Santos, Ajith Kumar Sankarankutty, Daniela Pretti da Cunha Tirapelli, Vanessa da Silva Silveira, Greice Andreotti de Molfetta, Wilson Araújo da Silva Júnior, Mariângela Ottoboni Brunaldi
{"title":"胃腺癌中 RAD51、ATM、ATR、BRCA1 和 BRCA2 基因的 mRNA 表达和甲基化。","authors":"Joel Del Bel Pádua, Carolline Fontes Alves Mariano, Alexandre Todorovic Fabro, Fermino Sanches Lizarte Neto, Rogério Lenotti Zuliani, Cláudia Tarcila Gomes Sares, José Sebastião Dos Santos, Ajith Kumar Sankarankutty, Daniela Pretti da Cunha Tirapelli, Vanessa da Silva Silveira, Greice Andreotti de Molfetta, Wilson Araújo da Silva Júnior, Mariângela Ottoboni Brunaldi","doi":"10.1177/11772719231225206","DOIUrl":null,"url":null,"abstract":"<p><strong>Background: </strong>Immunohistochemical prognostic significance of the homologous recombination-related proteins RAD51, ATM, BRCA1, and BRCA2 is known in gastric adenocarcinoma, one of the deadliest cancers.</p><p><strong>Objective and design: </strong>This retrospective cohort study aimed to evaluate mRNA expression and promoter methylation of some homologous recombination-related genes in this neoplasm.</p><p><strong>Methods: </strong>We evaluated mRNA expression and methylation of <i>RAD51</i>, <i>ATM</i>, <i>ATR</i>, <i>BRCA1</i>, and <i>BRCA2</i> in tumor and non-tumor frozen samples from gastrectomy specimens by RT-qPCR and MS-HRM, correlating our results with previous immunohistochemistry data and prognostic features.</p><p><strong>Results: </strong><i>RAD51</i>, <i>ATR</i>, <i>BRCA1</i>, <i>BRCA2</i>, and <i>ATM</i> mRNA expression was detected in 93.75% (45/48), 93.75% (45/48), 91.67% (44/48), 83.33% (40/48), and 89.58% (43/48) of the tumors; partial or complete methylation, in 94.87% (37/39), 0 (0/42), 97.56% (40/41), 100% (41/41), and 0 (0/40), respectively. Most gene pairs showed significant weak to moderate positive correlations of tumoral mRNA expression with each other: <i>RAD51</i> with <i>ATR</i> (<i>P</i> = .027), <i>BRCA1</i> (<i>P</i> < .001), and <i>BRCA2</i> (<i>P</i> < .001); <i>ATR</i> with <i>BRCA1</i> (<i>P</i> = .007), and <i>ATM</i> (<i>P</i> = .001); <i>BRCA1</i> with <i>BRCA2</i> (<i>P</i> = 0.001). <i>BRCA1</i> mRNA was reduced in tumors compared with non-neoplastic mucosa (0.345 vs 1.272, <i>P</i> = .015) and, excluding neoadjuvant therapy cases, in T3 to T4 tumors compared with T2 (0.414 vs 0.954, <i>P</i> = .035). Greater tumoral <i>RAD51</i> mRNA levels correlated with perineural invasion (1.822 vs 0.725, <i>P</i> = .010) and death (1.664 vs 0.929, <i>P</i> = .036), but not with survival time. There was an inverse association between nuclear immunohistochemical positivity for ATR and its mRNA levels (0.487 vs 0.907, <i>P</i> = .032), and no significant correlation for the other markers.</p><p><strong>Conclusions: </strong>Our results suggest <i>RAD51</i>, <i>BRCA1</i>, and <i>BRCA2</i> methylation as a frequent epigenetic mechanism in gastric cancer, support the hypothesis that reduced <i>BRCA1</i> expression participates in disease progression, and show an association between <i>RAD51</i> mRNA and perineural invasion and mortality that may be considered unexpected, considering the former immunohistochemical studies. The lack of correlation between immunohistochemistry and mRNA, and even the inverse association, for <i>ATR</i>, can be seen as indicative of action of post-transcriptional or post-translational regulatory mechanisms, to be better investigated.</p>","PeriodicalId":47060,"journal":{"name":"Biomarker Insights","volume":"19 ","pages":"11772719231225206"},"PeriodicalIF":2.6000,"publicationDate":"2024-01-29","publicationTypes":"Journal Article","fieldsOfStudy":null,"isOpenAccess":false,"openAccessPdf":"https://www.ncbi.nlm.nih.gov/pmc/articles/PMC10826385/pdf/","citationCount":"0","resultStr":"{\"title\":\"mRNA Expression and Methylation of the <i>RAD51</i>, <i>ATM</i>, <i>ATR</i>, <i>BRCA1</i>, and <i>BRCA2</i> Genes in Gastric Adenocarcinoma.\",\"authors\":\"Joel Del Bel Pádua, Carolline Fontes Alves Mariano, Alexandre Todorovic Fabro, Fermino Sanches Lizarte Neto, Rogério Lenotti Zuliani, Cláudia Tarcila Gomes Sares, José Sebastião Dos Santos, Ajith Kumar Sankarankutty, Daniela Pretti da Cunha Tirapelli, Vanessa da Silva Silveira, Greice Andreotti de Molfetta, Wilson Araújo da Silva Júnior, Mariângela Ottoboni Brunaldi\",\"doi\":\"10.1177/11772719231225206\",\"DOIUrl\":null,\"url\":null,\"abstract\":\"<p><strong>Background: </strong>Immunohistochemical prognostic significance of the homologous recombination-related proteins RAD51, ATM, BRCA1, and BRCA2 is known in gastric adenocarcinoma, one of the deadliest cancers.</p><p><strong>Objective and design: </strong>This retrospective cohort study aimed to evaluate mRNA expression and promoter methylation of some homologous recombination-related genes in this neoplasm.</p><p><strong>Methods: </strong>We evaluated mRNA expression and methylation of <i>RAD51</i>, <i>ATM</i>, <i>ATR</i>, <i>BRCA1</i>, and <i>BRCA2</i> in tumor and non-tumor frozen samples from gastrectomy specimens by RT-qPCR and MS-HRM, correlating our results with previous immunohistochemistry data and prognostic features.</p><p><strong>Results: </strong><i>RAD51</i>, <i>ATR</i>, <i>BRCA1</i>, <i>BRCA2</i>, and <i>ATM</i> mRNA expression was detected in 93.75% (45/48), 93.75% (45/48), 91.67% (44/48), 83.33% (40/48), and 89.58% (43/48) of the tumors; partial or complete methylation, in 94.87% (37/39), 0 (0/42), 97.56% (40/41), 100% (41/41), and 0 (0/40), respectively. Most gene pairs showed significant weak to moderate positive correlations of tumoral mRNA expression with each other: <i>RAD51</i> with <i>ATR</i> (<i>P</i> = .027), <i>BRCA1</i> (<i>P</i> < .001), and <i>BRCA2</i> (<i>P</i> < .001); <i>ATR</i> with <i>BRCA1</i> (<i>P</i> = .007), and <i>ATM</i> (<i>P</i> = .001); <i>BRCA1</i> with <i>BRCA2</i> (<i>P</i> = 0.001). <i>BRCA1</i> mRNA was reduced in tumors compared with non-neoplastic mucosa (0.345 vs 1.272, <i>P</i> = .015) and, excluding neoadjuvant therapy cases, in T3 to T4 tumors compared with T2 (0.414 vs 0.954, <i>P</i> = .035). Greater tumoral <i>RAD51</i> mRNA levels correlated with perineural invasion (1.822 vs 0.725, <i>P</i> = .010) and death (1.664 vs 0.929, <i>P</i> = .036), but not with survival time. There was an inverse association between nuclear immunohistochemical positivity for ATR and its mRNA levels (0.487 vs 0.907, <i>P</i> = .032), and no significant correlation for the other markers.</p><p><strong>Conclusions: </strong>Our results suggest <i>RAD51</i>, <i>BRCA1</i>, and <i>BRCA2</i> methylation as a frequent epigenetic mechanism in gastric cancer, support the hypothesis that reduced <i>BRCA1</i> expression participates in disease progression, and show an association between <i>RAD51</i> mRNA and perineural invasion and mortality that may be considered unexpected, considering the former immunohistochemical studies. The lack of correlation between immunohistochemistry and mRNA, and even the inverse association, for <i>ATR</i>, can be seen as indicative of action of post-transcriptional or post-translational regulatory mechanisms, to be better investigated.</p>\",\"PeriodicalId\":47060,\"journal\":{\"name\":\"Biomarker Insights\",\"volume\":\"19 \",\"pages\":\"11772719231225206\"},\"PeriodicalIF\":2.6000,\"publicationDate\":\"2024-01-29\",\"publicationTypes\":\"Journal Article\",\"fieldsOfStudy\":null,\"isOpenAccess\":false,\"openAccessPdf\":\"https://www.ncbi.nlm.nih.gov/pmc/articles/PMC10826385/pdf/\",\"citationCount\":\"0\",\"resultStr\":null,\"platform\":\"Semanticscholar\",\"paperid\":null,\"PeriodicalName\":\"Biomarker Insights\",\"FirstCategoryId\":\"1085\",\"ListUrlMain\":\"https://doi.org/10.1177/11772719231225206\",\"RegionNum\":0,\"RegionCategory\":null,\"ArticlePicture\":[],\"TitleCN\":null,\"AbstractTextCN\":null,\"PMCID\":null,\"EPubDate\":\"2024/1/1 0:00:00\",\"PubModel\":\"eCollection\",\"JCR\":\"Q2\",\"JCRName\":\"MEDICINE, RESEARCH & EXPERIMENTAL\",\"Score\":null,\"Total\":0}","platform":"Semanticscholar","paperid":null,"PeriodicalName":"Biomarker Insights","FirstCategoryId":"1085","ListUrlMain":"https://doi.org/10.1177/11772719231225206","RegionNum":0,"RegionCategory":null,"ArticlePicture":[],"TitleCN":null,"AbstractTextCN":null,"PMCID":null,"EPubDate":"2024/1/1 0:00:00","PubModel":"eCollection","JCR":"Q2","JCRName":"MEDICINE, RESEARCH & EXPERIMENTAL","Score":null,"Total":0}
引用次数: 0

摘要

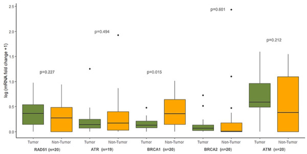
背景:已知同源重组相关蛋白 RAD51、ATM、BRCA1 和 BRCA2 在胃腺癌(最致命的癌症之一)中的免疫组化预后意义:这项回顾性队列研究旨在评估该肿瘤中一些同源重组相关基因的 mRNA 表达和启动子甲基化情况:我们通过RT-qPCR和MS-HRM评估了胃切除术标本中肿瘤和非肿瘤冷冻样本中RAD51、ATM、ATR、BRCA1和BRCA2的mRNA表达和甲基化情况,并将我们的结果与之前的免疫组化数据和预后特征相关联:93.75%(45/48)、93.75%(45/48)、91.67%(44/48)、83.33%(40/48)和89.58%(43/48)的肿瘤检测到RAD51、ATR、BRCA1、BRCA2和ATM mRNA表达;94.87%(37/39)、0(0/42)、97.56%(40/41)、100%(41/41)和0(0/40)的肿瘤检测到部分或完全甲基化。大多数基因对之间的肿瘤 mRNA 表达呈明显的弱至中度正相关:RAD51 与 ATR(P = 0.027)、BRCA1(P BRCA2(P ATR 与 BRCA1(P = 0.007)和 ATM(P = 0.001);BRCA1 与 BRCA2(P = 0.001)。与非肿瘤性粘膜相比,肿瘤中的 BRCA1 mRNA 减少(0.345 vs 1.272,P = .015);除新辅助治疗病例外,T3 至 T4 肿瘤中的 BRCA1 mRNA 减少(0.414 vs 0.954,P = .035)。肿瘤RAD51 mRNA水平升高与神经周围侵犯(1.822 vs 0.725,P = .010)和死亡(1.664 vs 0.929,P = .036)相关,但与生存时间无关。ATR的核免疫组化阳性与mRNA水平呈反向关系(0.487 vs 0.907,P = .032),与其他标记物无显著相关性:我们的研究结果表明,RAD51、BRCA1 和 BRCA2 甲基化是胃癌中一种常见的表观遗传机制,支持 BRCA1 表达减少参与疾病进展的假设,并显示 RAD51 mRNA 与会厌浸润和死亡率之间存在关联,考虑到之前的免疫组化研究,这种关联可能被认为是出乎意料的。免疫组化与 mRNA 之间缺乏相关性,甚至与 ATR 呈反向关系,这表明转录后或翻译后调控机制发挥作用,有待进一步研究。
本文章由计算机程序翻译,如有差异,请以英文原文为准。

mRNA Expression and Methylation of the <i>RAD51</i>, <i>ATM</i>, <i>ATR</i>, <i>BRCA1</i>, and <i>BRCA2</i> Genes in Gastric Adenocarcinoma.

mRNA Expression and Methylation of the <i>RAD51</i>, <i>ATM</i>, <i>ATR</i>, <i>BRCA1</i>, and <i>BRCA2</i> Genes in Gastric Adenocarcinoma.

mRNA Expression and Methylation of the <i>RAD51</i>, <i>ATM</i>, <i>ATR</i>, <i>BRCA1</i>, and <i>BRCA2</i> Genes in Gastric Adenocarcinoma.

mRNA Expression and Methylation of the RAD51, ATM, ATR, BRCA1, and BRCA2 Genes in Gastric Adenocarcinoma.

Background: Immunohistochemical prognostic significance of the homologous recombination-related proteins RAD51, ATM, BRCA1, and BRCA2 is known in gastric adenocarcinoma, one of the deadliest cancers.

Objective and design: This retrospective cohort study aimed to evaluate mRNA expression and promoter methylation of some homologous recombination-related genes in this neoplasm.

Methods: We evaluated mRNA expression and methylation of RAD51, ATM, ATR, BRCA1, and BRCA2 in tumor and non-tumor frozen samples from gastrectomy specimens by RT-qPCR and MS-HRM, correlating our results with previous immunohistochemistry data and prognostic features.

Results: RAD51, ATR, BRCA1, BRCA2, and ATM mRNA expression was detected in 93.75% (45/48), 93.75% (45/48), 91.67% (44/48), 83.33% (40/48), and 89.58% (43/48) of the tumors; partial or complete methylation, in 94.87% (37/39), 0 (0/42), 97.56% (40/41), 100% (41/41), and 0 (0/40), respectively. Most gene pairs showed significant weak to moderate positive correlations of tumoral mRNA expression with each other: RAD51 with ATR (P = .027), BRCA1 (P < .001), and BRCA2 (P < .001); ATR with BRCA1 (P = .007), and ATM (P = .001); BRCA1 with BRCA2 (P = 0.001). BRCA1 mRNA was reduced in tumors compared with non-neoplastic mucosa (0.345 vs 1.272, P = .015) and, excluding neoadjuvant therapy cases, in T3 to T4 tumors compared with T2 (0.414 vs 0.954, P = .035). Greater tumoral RAD51 mRNA levels correlated with perineural invasion (1.822 vs 0.725, P = .010) and death (1.664 vs 0.929, P = .036), but not with survival time. There was an inverse association between nuclear immunohistochemical positivity for ATR and its mRNA levels (0.487 vs 0.907, P = .032), and no significant correlation for the other markers.

Conclusions: Our results suggest RAD51, BRCA1, and BRCA2 methylation as a frequent epigenetic mechanism in gastric cancer, support the hypothesis that reduced BRCA1 expression participates in disease progression, and show an association between RAD51 mRNA and perineural invasion and mortality that may be considered unexpected, considering the former immunohistochemical studies. The lack of correlation between immunohistochemistry and mRNA, and even the inverse association, for ATR, can be seen as indicative of action of post-transcriptional or post-translational regulatory mechanisms, to be better investigated.

求助全文
通过发布文献求助,成功后即可免费获取论文全文。 去求助
来源期刊
Biomarker Insights
Biomarker Insights MEDICINE, RESEARCH & EXPERIMENTAL-
CiteScore
6.00
自引率
0.00%
发文量
26
审稿时长
8 weeks
期刊介绍: An open access, peer reviewed electronic journal that covers all aspects of biomarker research and clinical applications.
×
引用
GB/T 7714-2015
复制
MLA
复制
APA
复制
导出至
BibTeX EndNote RefMan NoteFirst NoteExpress
×
提示
您的信息不完整,为了账户安全,请先补充。
现在去补充
×
提示
您因"违规操作"
具体请查看互助需知
我知道了
×
提示
确定
请完成安全验证×
copy
已复制链接
快去分享给好友吧!
我知道了
右上角分享
点击右上角分享
0
联系我们:info@booksci.cn Book学术提供免费学术资源搜索服务,方便国内外学者检索中英文文献。致力于提供最便捷和优质的服务体验。 Copyright © 2023 布克学术 All rights reserved.
京ICP备2023020795号-1
ghs 京公网安备 11010802042870号
Book学术文献互助
Book学术文献互助群
群 号:604180095
Book学术官方微信