青少年体位性心动过速综合征分类与焦虑的关系:一项横断面研究。

IF 2.4 4区 医学 Q2 PSYCHIATRY
Midori Mizutani, Seiji Yoshida, Hidetaka Tanaka, Ginroku Yamawake, Atsuko Kubo, Yusuke Kurooka, Yoshitaka Ohta, Akira Ashida
{"title":"青少年体位性心动过速综合征分类与焦虑的关系:一项横断面研究。","authors":"Midori Mizutani, Seiji Yoshida, Hidetaka Tanaka, Ginroku Yamawake, Atsuko Kubo, Yusuke Kurooka, Yoshitaka Ohta, Akira Ashida","doi":"10.1186/s13030-024-00301-z","DOIUrl":null,"url":null,"abstract":"<p><strong>Background: </strong>Postural tachycardia syndrome (POTS), a subset of orthostatic dysregulation, has been reported to be associated with anxiety. POTS can be classified into two forms based on the degree of tachycardia during orthostasis. Reportedly, POTS with decreased orthostatic heart rate increase is associated with suppressed cardiac parasympathetic activity and increased sympathetic activity in the supine position. In this study, the relationship between the two types of POTS and anxiety was evaluated in terms of autonomic function.</p><p><strong>Methods: </strong>Fifty-two patients (23 male, age 10-15 years) who were diagnosed with POTS at the Department of Pediatrics, Osaka Medical and Pharmaceutical University from 2019 to 2021, completed a standing test and were accordingly classified into a Su group, with tachycardia from the supine position and a low heart rate increase on standing, a SI group, with a high heart rate increase during standing. They then completed the State-Trait Anxiety Scale for Children (STAIC) questionnaire. Autonomic function was assessed by frequency analysis (MemCalc method) based on heart rate, blood pressure changes, heart rate and blood pressure variability during the orthostatic test.</p><p><strong>Results: </strong>Patients in the Su group had higher trait anxiety and state anxiety, lower cardiac parasympathetic activity (RR-HF) in the supine position, and greater variability in cardiac parasympathetic activity during orthostasis than were found for patients in the SI group. The Su group had a greater decrease in cardiac index on standing than that of the SI group.</p><p><strong>Conclusions: </strong>The Su group results may be partly attributed to chronically low venous return. We also found that patients in the Su group had low parasympathetic activity in the supine position, which may interact with the anxiety-prone characteristics of these patients. Therefore, it seems necessary to consider both physical and psychosomatic treatment approaches for patients with POTS.</p>","PeriodicalId":9027,"journal":{"name":"BioPsychoSocial Medicine","volume":"18 1","pages":"2"},"PeriodicalIF":2.4000,"publicationDate":"2024-01-29","publicationTypes":"Journal Article","fieldsOfStudy":null,"isOpenAccess":false,"openAccessPdf":"https://www.ncbi.nlm.nih.gov/pmc/articles/PMC10823659/pdf/","citationCount":"0","resultStr":"{\"title\":\"Association of adolescent postural tachycardia syndrome classifications with anxiety: a cross sectional study.\",\"authors\":\"Midori Mizutani, Seiji Yoshida, Hidetaka Tanaka, Ginroku Yamawake, Atsuko Kubo, Yusuke Kurooka, Yoshitaka Ohta, Akira Ashida\",\"doi\":\"10.1186/s13030-024-00301-z\",\"DOIUrl\":null,\"url\":null,\"abstract\":\"<p><strong>Background: </strong>Postural tachycardia syndrome (POTS), a subset of orthostatic dysregulation, has been reported to be associated with anxiety. POTS can be classified into two forms based on the degree of tachycardia during orthostasis. Reportedly, POTS with decreased orthostatic heart rate increase is associated with suppressed cardiac parasympathetic activity and increased sympathetic activity in the supine position. In this study, the relationship between the two types of POTS and anxiety was evaluated in terms of autonomic function.</p><p><strong>Methods: </strong>Fifty-two patients (23 male, age 10-15 years) who were diagnosed with POTS at the Department of Pediatrics, Osaka Medical and Pharmaceutical University from 2019 to 2021, completed a standing test and were accordingly classified into a Su group, with tachycardia from the supine position and a low heart rate increase on standing, a SI group, with a high heart rate increase during standing. They then completed the State-Trait Anxiety Scale for Children (STAIC) questionnaire. Autonomic function was assessed by frequency analysis (MemCalc method) based on heart rate, blood pressure changes, heart rate and blood pressure variability during the orthostatic test.</p><p><strong>Results: </strong>Patients in the Su group had higher trait anxiety and state anxiety, lower cardiac parasympathetic activity (RR-HF) in the supine position, and greater variability in cardiac parasympathetic activity during orthostasis than were found for patients in the SI group. The Su group had a greater decrease in cardiac index on standing than that of the SI group.</p><p><strong>Conclusions: </strong>The Su group results may be partly attributed to chronically low venous return. We also found that patients in the Su group had low parasympathetic activity in the supine position, which may interact with the anxiety-prone characteristics of these patients. Therefore, it seems necessary to consider both physical and psychosomatic treatment approaches for patients with POTS.</p>\",\"PeriodicalId\":9027,\"journal\":{\"name\":\"BioPsychoSocial Medicine\",\"volume\":\"18 1\",\"pages\":\"2\"},\"PeriodicalIF\":2.4000,\"publicationDate\":\"2024-01-29\",\"publicationTypes\":\"Journal Article\",\"fieldsOfStudy\":null,\"isOpenAccess\":false,\"openAccessPdf\":\"https://www.ncbi.nlm.nih.gov/pmc/articles/PMC10823659/pdf/\",\"citationCount\":\"0\",\"resultStr\":null,\"platform\":\"Semanticscholar\",\"paperid\":null,\"PeriodicalName\":\"BioPsychoSocial Medicine\",\"FirstCategoryId\":\"3\",\"ListUrlMain\":\"https://doi.org/10.1186/s13030-024-00301-z\",\"RegionNum\":4,\"RegionCategory\":\"医学\",\"ArticlePicture\":[],\"TitleCN\":null,\"AbstractTextCN\":null,\"PMCID\":null,\"EPubDate\":\"\",\"PubModel\":\"\",\"JCR\":\"Q2\",\"JCRName\":\"PSYCHIATRY\",\"Score\":null,\"Total\":0}","platform":"Semanticscholar","paperid":null,"PeriodicalName":"BioPsychoSocial Medicine","FirstCategoryId":"3","ListUrlMain":"https://doi.org/10.1186/s13030-024-00301-z","RegionNum":4,"RegionCategory":"医学","ArticlePicture":[],"TitleCN":null,"AbstractTextCN":null,"PMCID":null,"EPubDate":"","PubModel":"","JCR":"Q2","JCRName":"PSYCHIATRY","Score":null,"Total":0}
引用次数: 0

摘要

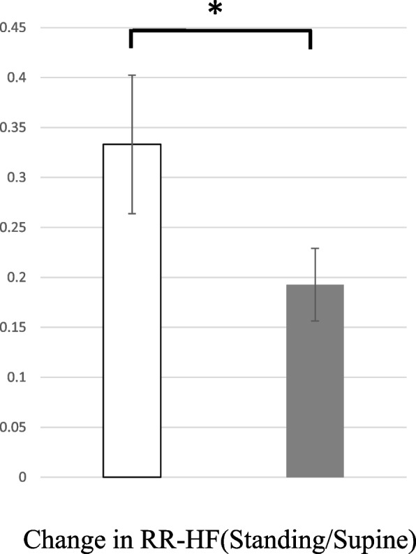
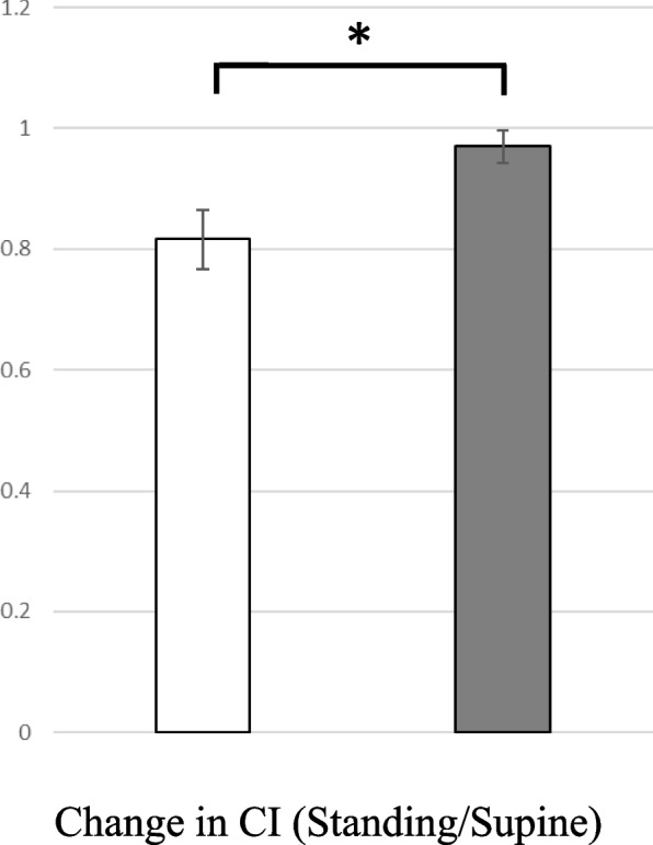
背景:据报道,体位性心动过速综合征(POTS)是正位失调的一个分支,与焦虑有关。根据正位时心动过速的程度,POTS 可分为两种形式。据报道,正位心率增快减少的 POTS 与仰卧位时心脏副交感神经活动受抑制和交感神经活动增加有关。本研究从自律神经功能的角度评估了两种类型的 POTS 与焦虑之间的关系:52 名患者(23 名男性,10-15 岁)于 2019 年至 2021 年期间在大阪医科药科大学儿科系被诊断为 POTS,他们完成了站立测试,并相应地被分为 Su 组(从仰卧位开始心动过速,站立时心率上升较低)和 SI 组(站立时心率上升较高)。然后,他们填写了儿童状态-特质焦虑量表(STAIC)问卷。通过频率分析法(MemCalc 法),根据正立测试期间的心率、血压变化、心率和血压变异性评估自律神经功能:结果:与 SI 组患者相比,Su 组患者的特质焦虑和状态焦虑程度更高,仰卧位时的心脏副交感神经活动(RR-HF)更低,正位时心脏副交感神经活动的变异性更大。与 SI 组相比,Su 组患者站立时心脏指数的下降幅度更大:结论:Su 组的结果可能部分归因于长期低静脉回流。我们还发现,Su 组患者在仰卧位时副交感神经活动较低,这可能与这些患者易焦虑的特点相互影响。因此,对于 POTS 患者,似乎有必要同时考虑物理和心身治疗方法。
本文章由计算机程序翻译,如有差异,请以英文原文为准。

Association of adolescent postural tachycardia syndrome classifications with anxiety: a cross sectional study.

Association of adolescent postural tachycardia syndrome classifications with anxiety: a cross sectional study.

Association of adolescent postural tachycardia syndrome classifications with anxiety: a cross sectional study.

Association of adolescent postural tachycardia syndrome classifications with anxiety: a cross sectional study.

Background: Postural tachycardia syndrome (POTS), a subset of orthostatic dysregulation, has been reported to be associated with anxiety. POTS can be classified into two forms based on the degree of tachycardia during orthostasis. Reportedly, POTS with decreased orthostatic heart rate increase is associated with suppressed cardiac parasympathetic activity and increased sympathetic activity in the supine position. In this study, the relationship between the two types of POTS and anxiety was evaluated in terms of autonomic function.

Methods: Fifty-two patients (23 male, age 10-15 years) who were diagnosed with POTS at the Department of Pediatrics, Osaka Medical and Pharmaceutical University from 2019 to 2021, completed a standing test and were accordingly classified into a Su group, with tachycardia from the supine position and a low heart rate increase on standing, a SI group, with a high heart rate increase during standing. They then completed the State-Trait Anxiety Scale for Children (STAIC) questionnaire. Autonomic function was assessed by frequency analysis (MemCalc method) based on heart rate, blood pressure changes, heart rate and blood pressure variability during the orthostatic test.

Results: Patients in the Su group had higher trait anxiety and state anxiety, lower cardiac parasympathetic activity (RR-HF) in the supine position, and greater variability in cardiac parasympathetic activity during orthostasis than were found for patients in the SI group. The Su group had a greater decrease in cardiac index on standing than that of the SI group.

Conclusions: The Su group results may be partly attributed to chronically low venous return. We also found that patients in the Su group had low parasympathetic activity in the supine position, which may interact with the anxiety-prone characteristics of these patients. Therefore, it seems necessary to consider both physical and psychosomatic treatment approaches for patients with POTS.

求助全文
通过发布文献求助,成功后即可免费获取论文全文。 去求助
来源期刊
CiteScore
3.60
自引率
0.00%
发文量
23
审稿时长
18 weeks
期刊介绍: BioPsychoSocial Medicine is an open access, peer-reviewed online journal that encompasses all aspects of the interrelationships between the biological, psychological, social, and behavioral factors of health and illness. BioPsychoSocial Medicine is the official journal of the Japanese Society of Psychosomatic Medicine, and publishes research on psychosomatic disorders and diseases that are characterized by objective organic changes and/or functional changes that could be induced, progressed, aggravated, or exacerbated by psychological, social, and/or behavioral factors and their associated psychosomatic treatments.
×
引用
GB/T 7714-2015
复制
MLA
复制
APA
复制
导出至
BibTeX EndNote RefMan NoteFirst NoteExpress
×
提示
您的信息不完整,为了账户安全,请先补充。
现在去补充
×
提示
您因"违规操作"
具体请查看互助需知
我知道了
×
提示
确定
请完成安全验证×
copy
已复制链接
快去分享给好友吧!
我知道了
右上角分享
点击右上角分享
0
联系我们:info@booksci.cn Book学术提供免费学术资源搜索服务,方便国内外学者检索中英文文献。致力于提供最便捷和优质的服务体验。 Copyright © 2023 布克学术 All rights reserved.
京ICP备2023020795号-1
ghs 京公网安备 11010802042870号
Book学术文献互助
Book学术文献互助群
群 号:604180095
Book学术官方微信