二次分析:热和自我报告的疼痛敏感性与生理性别和种族化社会文化群体有关,但可能不受焦虑或疼痛灾难化的影响。

IF 3.1 Q2 NEUROSCIENCES
Pain Reports Pub Date : 2024-01-24 eCollection Date: 2024-01-01 DOI:10.1097/PR9.0000000000001133
Timothy J Meeker, Hee Jun Kim, Ingrid K Tulloch, Michael L Keaser, David A Seminowicz, Susan G Dorsey
{"title":"二次分析:热和自我报告的疼痛敏感性与生理性别和种族化社会文化群体有关,但可能不受焦虑或疼痛灾难化的影响。","authors":"Timothy J Meeker, Hee Jun Kim, Ingrid K Tulloch, Michael L Keaser, David A Seminowicz, Susan G Dorsey","doi":"10.1097/PR9.0000000000001133","DOIUrl":null,"url":null,"abstract":"<p><strong>Introduction: </strong>Previous studies have demonstrated associations between sex and racialized group on pain sensitivity and tolerance. We analyzed the association of sex and racialized group on heat pain sensitivity, sensibility to painful suprathreshold mechanical pain (STMP), and pain sensitivity questionnaire (PSQ). We hypothesized that anxiety and pain catastrophizing reported by racialized minority groups and women would mediate enhanced pain sensitivity. Our secondary aim was to evaluate validity of the PSQ in a diverse population.</p><p><strong>Methods: </strong>Using quantitative sensory testing for painful heat, STMP (forces: 64, 128, 256, and 512 mN), and PSQ, we evaluated pain sensitivity in 134 healthy participants [34 (18 women) Asian, 25 (13 women) Black, and 75 (41 women) White]. We used general linear and linear mixed models to analyze outcomes. We assessed mediation of state and trait anxiety and pain catastrophizing on pain sensitivity.</p><p><strong>Results: </strong>Racialized minority status was associated with greater heat pain sensitivity (F = 7.63; <i>P</i> = 0.00074) and PSQ scores (F = 15.45; <i>P</i> = 9.84 × 10<sup>-7</sup>) but not associated with STMP (F = 1.50; <i>P</i> = 0.23). Female sex was associated with greater heat pain sensitivity (F = 4.9; <i>P</i> = 0.029) and lower PSQ (F = 9.50; <i>P</i> = 0.0025) but not associated with STMP (F = 0.0018; <i>P</i> = 0.97). Neither anxiety nor pain catastrophizing mediated associations between sex or racialized group with heat pain threshold or PSQ. Differential experience of individual items (F = 19.87; <i>P</i> = 3.28 × 10<sup>-8</sup>) limited PSQ face validity in racialized minorities.</p><p><strong>Conclusion: </strong>Consistent with previous research, sensitivity to painful heat was associated with racialized minority status and female sex. By contrast, there was no significant effect of racialized minority status or female sex on STMP. Some PSQ items are inapplicable to participants from racialized minority groups.</p>","PeriodicalId":52189,"journal":{"name":"Pain Reports","volume":"9 1","pages":"e1133"},"PeriodicalIF":3.1000,"publicationDate":"2024-01-24","publicationTypes":"Journal Article","fieldsOfStudy":null,"isOpenAccess":false,"openAccessPdf":"https://www.ncbi.nlm.nih.gov/pmc/articles/PMC10811695/pdf/","citationCount":"0","resultStr":"{\"title\":\"Secondary analysis: heat and self-report pain sensitivity associate with biological sex and racialized sociocultural group but may not be mediated by anxiety or pain catastrophizing.\",\"authors\":\"Timothy J Meeker, Hee Jun Kim, Ingrid K Tulloch, Michael L Keaser, David A Seminowicz, Susan G Dorsey\",\"doi\":\"10.1097/PR9.0000000000001133\",\"DOIUrl\":null,\"url\":null,\"abstract\":\"<p><strong>Introduction: </strong>Previous studies have demonstrated associations between sex and racialized group on pain sensitivity and tolerance. We analyzed the association of sex and racialized group on heat pain sensitivity, sensibility to painful suprathreshold mechanical pain (STMP), and pain sensitivity questionnaire (PSQ). We hypothesized that anxiety and pain catastrophizing reported by racialized minority groups and women would mediate enhanced pain sensitivity. Our secondary aim was to evaluate validity of the PSQ in a diverse population.</p><p><strong>Methods: </strong>Using quantitative sensory testing for painful heat, STMP (forces: 64, 128, 256, and 512 mN), and PSQ, we evaluated pain sensitivity in 134 healthy participants [34 (18 women) Asian, 25 (13 women) Black, and 75 (41 women) White]. We used general linear and linear mixed models to analyze outcomes. We assessed mediation of state and trait anxiety and pain catastrophizing on pain sensitivity.</p><p><strong>Results: </strong>Racialized minority status was associated with greater heat pain sensitivity (F = 7.63; <i>P</i> = 0.00074) and PSQ scores (F = 15.45; <i>P</i> = 9.84 × 10<sup>-7</sup>) but not associated with STMP (F = 1.50; <i>P</i> = 0.23). Female sex was associated with greater heat pain sensitivity (F = 4.9; <i>P</i> = 0.029) and lower PSQ (F = 9.50; <i>P</i> = 0.0025) but not associated with STMP (F = 0.0018; <i>P</i> = 0.97). Neither anxiety nor pain catastrophizing mediated associations between sex or racialized group with heat pain threshold or PSQ. Differential experience of individual items (F = 19.87; <i>P</i> = 3.28 × 10<sup>-8</sup>) limited PSQ face validity in racialized minorities.</p><p><strong>Conclusion: </strong>Consistent with previous research, sensitivity to painful heat was associated with racialized minority status and female sex. By contrast, there was no significant effect of racialized minority status or female sex on STMP. Some PSQ items are inapplicable to participants from racialized minority groups.</p>\",\"PeriodicalId\":52189,\"journal\":{\"name\":\"Pain Reports\",\"volume\":\"9 1\",\"pages\":\"e1133\"},\"PeriodicalIF\":3.1000,\"publicationDate\":\"2024-01-24\",\"publicationTypes\":\"Journal Article\",\"fieldsOfStudy\":null,\"isOpenAccess\":false,\"openAccessPdf\":\"https://www.ncbi.nlm.nih.gov/pmc/articles/PMC10811695/pdf/\",\"citationCount\":\"0\",\"resultStr\":null,\"platform\":\"Semanticscholar\",\"paperid\":null,\"PeriodicalName\":\"Pain Reports\",\"FirstCategoryId\":\"1085\",\"ListUrlMain\":\"https://doi.org/10.1097/PR9.0000000000001133\",\"RegionNum\":0,\"RegionCategory\":null,\"ArticlePicture\":[],\"TitleCN\":null,\"AbstractTextCN\":null,\"PMCID\":null,\"EPubDate\":\"2024/1/1 0:00:00\",\"PubModel\":\"eCollection\",\"JCR\":\"Q2\",\"JCRName\":\"NEUROSCIENCES\",\"Score\":null,\"Total\":0}","platform":"Semanticscholar","paperid":null,"PeriodicalName":"Pain Reports","FirstCategoryId":"1085","ListUrlMain":"https://doi.org/10.1097/PR9.0000000000001133","RegionNum":0,"RegionCategory":null,"ArticlePicture":[],"TitleCN":null,"AbstractTextCN":null,"PMCID":null,"EPubDate":"2024/1/1 0:00:00","PubModel":"eCollection","JCR":"Q2","JCRName":"NEUROSCIENCES","Score":null,"Total":0}
引用次数: 0

摘要

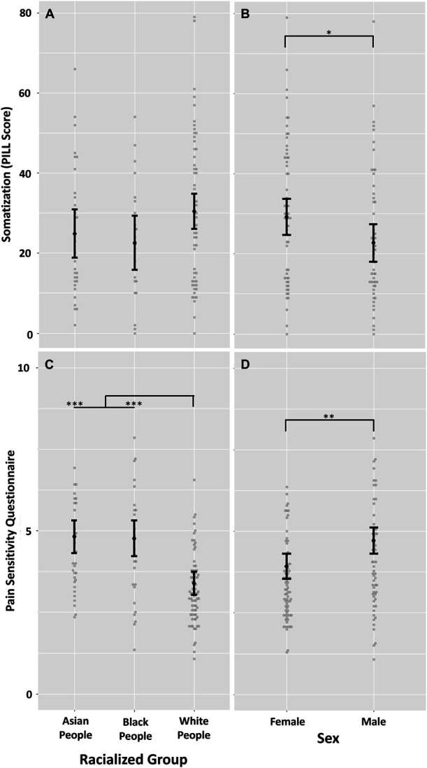
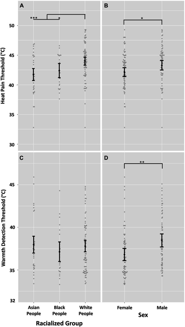
导言以往的研究表明,性别和种族化群体与疼痛敏感性和耐受性之间存在关联。我们分析了性别和种族化群体与热痛敏感性、阈上机械痛敏感性(STMP)和疼痛敏感性问卷(PSQ)之间的关系。我们假设,少数种族群体和女性所报告的焦虑和疼痛灾难化将介导疼痛敏感性的增强。我们的第二个目的是评估 PSQ 在不同人群中的有效性:我们使用痛热定量感觉测试、STMP(力:64、128、256 和 512 mN)和 PSQ 评估了 134 名健康参与者[34 名(18 名女性)亚裔、25 名(13 名女性)黑人和 75 名(41 名女性)白人]的疼痛敏感性。我们使用一般线性和线性混合模型来分析结果。我们评估了状态和特质焦虑以及疼痛灾难化对疼痛敏感性的中介作用:结果:少数种族化与热痛敏感性(F = 7.63;P = 0.00074)和 PSQ 分数(F = 15.45;P = 9.84 × 10-7)相关,但与 STMP 无关(F = 1.50;P = 0.23)。女性性别与较高的热痛敏感性(F = 4.9;P = 0.029)和较低的 PSQ(F = 9.50;P = 0.0025)有关,但与 STMP 无关(F = 0.0018;P = 0.97)。焦虑和疼痛灾难化均不介导性别或种族群体与热痛阈值或 PSQ 之间的关联。对个别项目的不同体验(F = 19.87; P = 3.28 × 10-8)限制了少数种族的 PSQ 面效:结论:与之前的研究一致,对热痛的敏感性与少数种族身份和女性性别有关。相比之下,少数民族身份或女性性别对 STMP 没有明显影响。某些 PSQ 项目不适用于少数种族群体的参与者。
本文章由计算机程序翻译,如有差异,请以英文原文为准。

Secondary analysis: heat and self-report pain sensitivity associate with biological sex and racialized sociocultural group but may not be mediated by anxiety or pain catastrophizing.

Secondary analysis: heat and self-report pain sensitivity associate with biological sex and racialized sociocultural group but may not be mediated by anxiety or pain catastrophizing.

Secondary analysis: heat and self-report pain sensitivity associate with biological sex and racialized sociocultural group but may not be mediated by anxiety or pain catastrophizing.

Secondary analysis: heat and self-report pain sensitivity associate with biological sex and racialized sociocultural group but may not be mediated by anxiety or pain catastrophizing.

Introduction: Previous studies have demonstrated associations between sex and racialized group on pain sensitivity and tolerance. We analyzed the association of sex and racialized group on heat pain sensitivity, sensibility to painful suprathreshold mechanical pain (STMP), and pain sensitivity questionnaire (PSQ). We hypothesized that anxiety and pain catastrophizing reported by racialized minority groups and women would mediate enhanced pain sensitivity. Our secondary aim was to evaluate validity of the PSQ in a diverse population.

Methods: Using quantitative sensory testing for painful heat, STMP (forces: 64, 128, 256, and 512 mN), and PSQ, we evaluated pain sensitivity in 134 healthy participants [34 (18 women) Asian, 25 (13 women) Black, and 75 (41 women) White]. We used general linear and linear mixed models to analyze outcomes. We assessed mediation of state and trait anxiety and pain catastrophizing on pain sensitivity.

Results: Racialized minority status was associated with greater heat pain sensitivity (F = 7.63; P = 0.00074) and PSQ scores (F = 15.45; P = 9.84 × 10-7) but not associated with STMP (F = 1.50; P = 0.23). Female sex was associated with greater heat pain sensitivity (F = 4.9; P = 0.029) and lower PSQ (F = 9.50; P = 0.0025) but not associated with STMP (F = 0.0018; P = 0.97). Neither anxiety nor pain catastrophizing mediated associations between sex or racialized group with heat pain threshold or PSQ. Differential experience of individual items (F = 19.87; P = 3.28 × 10-8) limited PSQ face validity in racialized minorities.

Conclusion: Consistent with previous research, sensitivity to painful heat was associated with racialized minority status and female sex. By contrast, there was no significant effect of racialized minority status or female sex on STMP. Some PSQ items are inapplicable to participants from racialized minority groups.

求助全文
通过发布文献求助,成功后即可免费获取论文全文。 去求助
来源期刊
Pain Reports
Pain Reports Medicine-Anesthesiology and Pain Medicine
CiteScore
7.50
自引率
2.10%
发文量
93
审稿时长
8 weeks
×
引用
GB/T 7714-2015
复制
MLA
复制
APA
复制
导出至
BibTeX EndNote RefMan NoteFirst NoteExpress
×
提示
您的信息不完整,为了账户安全,请先补充。
现在去补充
×
提示
您因"违规操作"
具体请查看互助需知
我知道了
×
提示
确定
请完成安全验证×
copy
已复制链接
快去分享给好友吧!
我知道了
右上角分享
点击右上角分享
0
联系我们:info@booksci.cn Book学术提供免费学术资源搜索服务,方便国内外学者检索中英文文献。致力于提供最便捷和优质的服务体验。 Copyright © 2023 布克学术 All rights reserved.
京ICP备2023020795号-1
ghs 京公网安备 11010802042870号
Book学术文献互助
Book学术文献互助群
群 号:604180095
Book学术官方微信