肌少症在溃疡性结肠炎中很常见,并与疾病活动相关。

IF 3.9 Q2 GASTROENTEROLOGY & HEPATOLOGY
Intestinal Research Pub Date : 2024-04-01 Epub Date: 2024-01-22 DOI:10.5217/ir.2023.00090
Pardhu B Neelam, Rimesh Pal, Pankaj Gupta, Anupam K Singh, Jimil Shah, Harshal S Mandavdhare, Harjeet Singh, Aravind Sekar, Sanjay K Bhadada, Usha Dutta, Vishal Sharma
{"title":"肌少症在溃疡性结肠炎中很常见,并与疾病活动相关。","authors":"Pardhu B Neelam, Rimesh Pal, Pankaj Gupta, Anupam K Singh, Jimil Shah, Harshal S Mandavdhare, Harjeet Singh, Aravind Sekar, Sanjay K Bhadada, Usha Dutta, Vishal Sharma","doi":"10.5217/ir.2023.00090","DOIUrl":null,"url":null,"abstract":"<p><strong>Background/aims: </strong>Association of sarcopenia with disease severity in ulcerative colitis (UC) is not clearly defined. We planned to estimate the prevalence of sarcopenia in patients with UC as per the revised definition and its relation with the disease severity.</p><p><strong>Methods: </strong>A cross-sectional assessment of sarcopenia in patients with UC was performed. Disease activity was graded according to complete Mayo score. Hand grip strength was assessed with Jamar hand dynamometer, muscle mass using a dual energy X-ray absorptiometry scan, and physical performance with 4-m walk test. Sarcopenia was defined as a reduction of both muscle mass and strength. Severe sarcopenia was defined as reduced gait speed in presence of sarcopenia.</p><p><strong>Results: </strong>Of 114 patients (62 males, mean age: 36.49±12.41 years), 32 (28%) were in remission, 46 (40.4%) had mild-moderate activity, and 36 (31.6%) had severe UC. Forty-three patients (37.7%) had probable sarcopenia, 25 (21.9%) had sarcopenia, and 14 (12.2%) had severe sarcopenia. Prevalence of sarcopenia was higher in active disease (2 in remission, 6 in active, and 17 in severe, P<0.001). Of 14 with severe sarcopenia, 13 had severe UC while 1 had moderate UC. On multivariate analysis, lower body mass index and higher Mayo score were associated with sarcopenia. Of 37 patients with acute severe colitis, 16 had sarcopenia. Requirement of second-line therapy was similar between patients with and without sarcopenia. On follow-up (median: 18 months), there was a non-significant higher rate of major adverse events in those with sarcopenia (47.4% vs. 33.8%, P=0.273).</p><p><strong>Conclusions: </strong>Sarcopenia and severe sarcopenia in UC correlate with the disease activity.</p>","PeriodicalId":14481,"journal":{"name":"Intestinal Research","volume":" ","pages":"162-171"},"PeriodicalIF":3.9000,"publicationDate":"2024-04-01","publicationTypes":"Journal Article","fieldsOfStudy":null,"isOpenAccess":false,"openAccessPdf":"https://www.ncbi.nlm.nih.gov/pmc/articles/PMC11079510/pdf/","citationCount":"0","resultStr":"{\"title\":\"Sarcopenia is common in ulcerative colitis and correlates with disease activity.\",\"authors\":\"Pardhu B Neelam, Rimesh Pal, Pankaj Gupta, Anupam K Singh, Jimil Shah, Harshal S Mandavdhare, Harjeet Singh, Aravind Sekar, Sanjay K Bhadada, Usha Dutta, Vishal Sharma\",\"doi\":\"10.5217/ir.2023.00090\",\"DOIUrl\":null,\"url\":null,\"abstract\":\"<p><strong>Background/aims: </strong>Association of sarcopenia with disease severity in ulcerative colitis (UC) is not clearly defined. We planned to estimate the prevalence of sarcopenia in patients with UC as per the revised definition and its relation with the disease severity.</p><p><strong>Methods: </strong>A cross-sectional assessment of sarcopenia in patients with UC was performed. Disease activity was graded according to complete Mayo score. Hand grip strength was assessed with Jamar hand dynamometer, muscle mass using a dual energy X-ray absorptiometry scan, and physical performance with 4-m walk test. Sarcopenia was defined as a reduction of both muscle mass and strength. Severe sarcopenia was defined as reduced gait speed in presence of sarcopenia.</p><p><strong>Results: </strong>Of 114 patients (62 males, mean age: 36.49±12.41 years), 32 (28%) were in remission, 46 (40.4%) had mild-moderate activity, and 36 (31.6%) had severe UC. Forty-three patients (37.7%) had probable sarcopenia, 25 (21.9%) had sarcopenia, and 14 (12.2%) had severe sarcopenia. Prevalence of sarcopenia was higher in active disease (2 in remission, 6 in active, and 17 in severe, P<0.001). Of 14 with severe sarcopenia, 13 had severe UC while 1 had moderate UC. On multivariate analysis, lower body mass index and higher Mayo score were associated with sarcopenia. Of 37 patients with acute severe colitis, 16 had sarcopenia. Requirement of second-line therapy was similar between patients with and without sarcopenia. On follow-up (median: 18 months), there was a non-significant higher rate of major adverse events in those with sarcopenia (47.4% vs. 33.8%, P=0.273).</p><p><strong>Conclusions: </strong>Sarcopenia and severe sarcopenia in UC correlate with the disease activity.</p>\",\"PeriodicalId\":14481,\"journal\":{\"name\":\"Intestinal Research\",\"volume\":\" \",\"pages\":\"162-171\"},\"PeriodicalIF\":3.9000,\"publicationDate\":\"2024-04-01\",\"publicationTypes\":\"Journal Article\",\"fieldsOfStudy\":null,\"isOpenAccess\":false,\"openAccessPdf\":\"https://www.ncbi.nlm.nih.gov/pmc/articles/PMC11079510/pdf/\",\"citationCount\":\"0\",\"resultStr\":null,\"platform\":\"Semanticscholar\",\"paperid\":null,\"PeriodicalName\":\"Intestinal Research\",\"FirstCategoryId\":\"1085\",\"ListUrlMain\":\"https://doi.org/10.5217/ir.2023.00090\",\"RegionNum\":0,\"RegionCategory\":null,\"ArticlePicture\":[],\"TitleCN\":null,\"AbstractTextCN\":null,\"PMCID\":null,\"EPubDate\":\"2024/1/22 0:00:00\",\"PubModel\":\"Epub\",\"JCR\":\"Q2\",\"JCRName\":\"GASTROENTEROLOGY & HEPATOLOGY\",\"Score\":null,\"Total\":0}","platform":"Semanticscholar","paperid":null,"PeriodicalName":"Intestinal Research","FirstCategoryId":"1085","ListUrlMain":"https://doi.org/10.5217/ir.2023.00090","RegionNum":0,"RegionCategory":null,"ArticlePicture":[],"TitleCN":null,"AbstractTextCN":null,"PMCID":null,"EPubDate":"2024/1/22 0:00:00","PubModel":"Epub","JCR":"Q2","JCRName":"GASTROENTEROLOGY & HEPATOLOGY","Score":null,"Total":0}
引用次数: 0

摘要

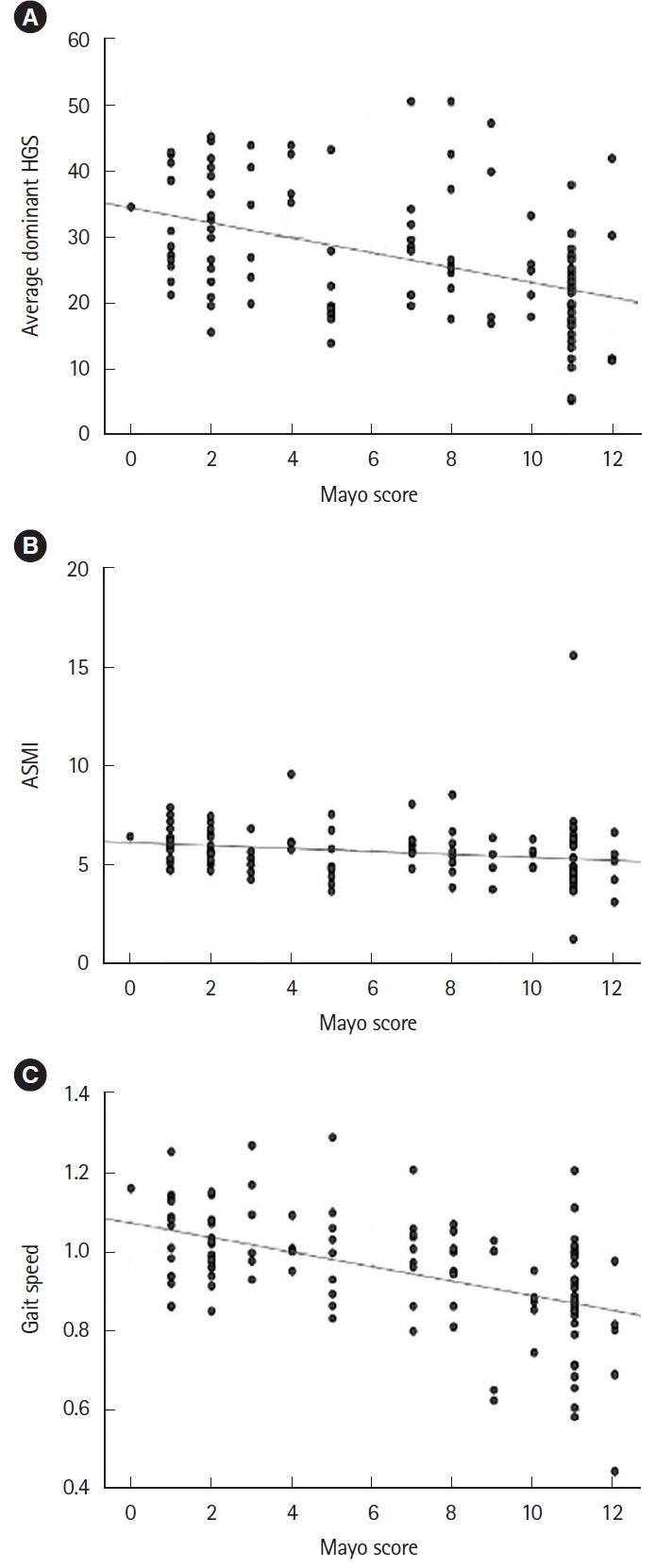
背景/目的:肌肉疏松症与溃疡性结肠炎(UC)疾病严重程度的关系尚未明确界定。我们计划根据修订后的定义估算溃疡性结肠炎患者中肌肉疏松症的发病率及其与疾病严重程度的关系:方法:我们对 UC 患者的肌肉疏松症进行了横断面评估。根据完整的梅奥评分对疾病活动性进行分级。使用贾马尔手部测力计评估手部握力,使用双能X射线吸收扫描仪评估肌肉质量,使用4米步行测试评估体能表现。肌肉疏松症的定义是肌肉质量和力量均减少。严重肌肉疏松症的定义是肌肉疏松症患者步速降低:在 114 名患者(62 名男性,平均年龄(36.49±12.41)岁)中,32 人(28%)病情缓解,46 人(40.4%)病情轻中度活动,36 人(31.6%)病情严重。43名患者(37.7%)可能患有肌肉疏松症,25名(21.9%)患有肌肉疏松症,14名(12.2%)患有严重的肌肉疏松症。肌肉疏松症在活动期发病率较高(缓解期 2 例,活动期 6 例,重症 PConclusions 17 例):多发性硬化症患者的肌少症和严重肌少症与疾病活动有关。
本文章由计算机程序翻译,如有差异,请以英文原文为准。

Sarcopenia is common in ulcerative colitis and correlates with disease activity.

Sarcopenia is common in ulcerative colitis and correlates with disease activity.

Sarcopenia is common in ulcerative colitis and correlates with disease activity.

Sarcopenia is common in ulcerative colitis and correlates with disease activity.

Background/aims: Association of sarcopenia with disease severity in ulcerative colitis (UC) is not clearly defined. We planned to estimate the prevalence of sarcopenia in patients with UC as per the revised definition and its relation with the disease severity.

Methods: A cross-sectional assessment of sarcopenia in patients with UC was performed. Disease activity was graded according to complete Mayo score. Hand grip strength was assessed with Jamar hand dynamometer, muscle mass using a dual energy X-ray absorptiometry scan, and physical performance with 4-m walk test. Sarcopenia was defined as a reduction of both muscle mass and strength. Severe sarcopenia was defined as reduced gait speed in presence of sarcopenia.

Results: Of 114 patients (62 males, mean age: 36.49±12.41 years), 32 (28%) were in remission, 46 (40.4%) had mild-moderate activity, and 36 (31.6%) had severe UC. Forty-three patients (37.7%) had probable sarcopenia, 25 (21.9%) had sarcopenia, and 14 (12.2%) had severe sarcopenia. Prevalence of sarcopenia was higher in active disease (2 in remission, 6 in active, and 17 in severe, P<0.001). Of 14 with severe sarcopenia, 13 had severe UC while 1 had moderate UC. On multivariate analysis, lower body mass index and higher Mayo score were associated with sarcopenia. Of 37 patients with acute severe colitis, 16 had sarcopenia. Requirement of second-line therapy was similar between patients with and without sarcopenia. On follow-up (median: 18 months), there was a non-significant higher rate of major adverse events in those with sarcopenia (47.4% vs. 33.8%, P=0.273).

Conclusions: Sarcopenia and severe sarcopenia in UC correlate with the disease activity.

求助全文
通过发布文献求助,成功后即可免费获取论文全文。 去求助
来源期刊
Intestinal Research
Intestinal Research GASTROENTEROLOGY & HEPATOLOGY-
CiteScore
7.40
自引率
10.20%
发文量
69
审稿时长
38 weeks
期刊介绍: Intestinal Research (Intest Res) is the joint official publication of the Asian Organization for Crohn''s and Colitis (AOCC), Chinese Society of IBD (CSIBD), Japanese Society for IBD (JSIBD), Korean Association for the Study of Intestinal Diseases (KASID), Taiwan Society of IBD (TSIBD) and Colitis Crohn''s Foundation (India) (CCF, india). The aim of the Journal is to provide broad and in-depth analysis of intestinal diseases, especially inflammatory bowel disease, which shows increasing tendency and significance. As a Journal specialized in clinical and translational research in gastroenterology, it encompasses multiple aspects of diseases originated from the small and large intestines. The Journal also seeks to propagate and exchange useful innovations, both in ideas and in practice, within the research community. As a mode of scholarly communication, it encourages scientific investigation through the rigorous peer-review system and constitutes a qualified and continual platform for sharing studies of researchers and practitioners. Specifically, the Journal presents up-to-date coverage of medical researches on the physiology, epidemiology, pathophysiology, clinical presentations, and therapeutic interventions of the intestinal diseases. General topics of interest include inflammatory bowel disease, colon and small intestine cancer or polyp, endoscopy, irritable bowel syndrome and other motility disorders, infectious enterocolitis, intestinal tuberculosis, and so forth. The Journal publishes diverse types of academic materials such as editorials, clinical and basic reviews, original articles, case reports, letters to the editor, brief communications, perspective, statement or commentary, and images that are useful to clinicians and researchers.
×
引用
GB/T 7714-2015
复制
MLA
复制
APA
复制
导出至
BibTeX EndNote RefMan NoteFirst NoteExpress
×
提示
您的信息不完整,为了账户安全,请先补充。
现在去补充
×
提示
您因"违规操作"
具体请查看互助需知
我知道了
×
提示
确定
请完成安全验证×
copy
已复制链接
快去分享给好友吧!
我知道了
右上角分享
点击右上角分享
0
联系我们:info@booksci.cn Book学术提供免费学术资源搜索服务,方便国内外学者检索中英文文献。致力于提供最便捷和优质的服务体验。 Copyright © 2023 布克学术 All rights reserved.
京ICP备2023020795号-1
ghs 京公网安备 11010802042870号
Book学术文献互助
Book学术文献互助群
群 号:604180095
Book学术官方微信