复杂腹腔内感染患者的存活几率与中性粒细胞 CD16 表达较高有关。

European journal of microbiology & immunology Pub Date : 2024-01-17 Print Date: 2024-02-23 DOI:10.1556/1886.2023.00046
Evgeni Dimitrov, Krasimira Halacheva, Georgi Minkov, Emil Enchev, Yovcho Yovtchev
{"title":"复杂腹腔内感染患者的存活几率与中性粒细胞 CD16 表达较高有关。","authors":"Evgeni Dimitrov, Krasimira Halacheva, Georgi Minkov, Emil Enchev, Yovcho Yovtchev","doi":"10.1556/1886.2023.00046","DOIUrl":null,"url":null,"abstract":"<p><strong>Aim: </strong>The ability of neutrophil CD16 (nCD16) expression to predict outcome in complicated intra-abdominal infections (cIAIs) has not yet been studied; therefore we aimed to evaluate its potential prognostic value in such patients.</p><p><strong>Methods: </strong>Between November 2018 and August 2021 a single-center prospective study was performed in the Department of Surgical Diseases at a University Hospital Stara Zagora. A flow cytometry was used to measure the levels of nCD16 before surgery and on the 3rd postoperative day (POD) in 62 patients with cIAIs.</p><p><strong>Results: </strong>We observed a mortality rate of 14.5% during hospitalization. Survivors had significantly higher perioperative expression of nCD16 than non-survivors (P = 0.02 preoperatively and P = 0.006 postoperatively). As predictor of favorable outcome we found a good predictive performance of preoperative nCD16 (AUROC = 0.745) and a very good predictive performance of postoperative levels (AUROC = 0.846). An optimal preoperative threshold nCD16 = 34.75 MFI permitted prediction of survival with sensitivity and specificity of 66.7% and 77.8%, respectively. A better sensitivity of 72.5% and specificity of 85.7% were observed for threshold = 54.8 MFI on the 3rd POD.</p><p><strong>Conclusion: </strong>Perioperative neutrophil CD16 expression shows a great potential as a predictor of favorable outcome in patients with cIAIs.</p>","PeriodicalId":93998,"journal":{"name":"European journal of microbiology & immunology","volume":" ","pages":"37-43"},"PeriodicalIF":0.0000,"publicationDate":"2024-01-17","publicationTypes":"Journal Article","fieldsOfStudy":null,"isOpenAccess":false,"openAccessPdf":"https://www.ncbi.nlm.nih.gov/pmc/articles/PMC10895360/pdf/","citationCount":"0","resultStr":"{\"title\":\"Better chance of survival is associated with higher neutrophil CD16 expression in patients with complicated intra-abdominal infections.\",\"authors\":\"Evgeni Dimitrov, Krasimira Halacheva, Georgi Minkov, Emil Enchev, Yovcho Yovtchev\",\"doi\":\"10.1556/1886.2023.00046\",\"DOIUrl\":null,\"url\":null,\"abstract\":\"<p><strong>Aim: </strong>The ability of neutrophil CD16 (nCD16) expression to predict outcome in complicated intra-abdominal infections (cIAIs) has not yet been studied; therefore we aimed to evaluate its potential prognostic value in such patients.</p><p><strong>Methods: </strong>Between November 2018 and August 2021 a single-center prospective study was performed in the Department of Surgical Diseases at a University Hospital Stara Zagora. A flow cytometry was used to measure the levels of nCD16 before surgery and on the 3rd postoperative day (POD) in 62 patients with cIAIs.</p><p><strong>Results: </strong>We observed a mortality rate of 14.5% during hospitalization. Survivors had significantly higher perioperative expression of nCD16 than non-survivors (P = 0.02 preoperatively and P = 0.006 postoperatively). As predictor of favorable outcome we found a good predictive performance of preoperative nCD16 (AUROC = 0.745) and a very good predictive performance of postoperative levels (AUROC = 0.846). An optimal preoperative threshold nCD16 = 34.75 MFI permitted prediction of survival with sensitivity and specificity of 66.7% and 77.8%, respectively. A better sensitivity of 72.5% and specificity of 85.7% were observed for threshold = 54.8 MFI on the 3rd POD.</p><p><strong>Conclusion: </strong>Perioperative neutrophil CD16 expression shows a great potential as a predictor of favorable outcome in patients with cIAIs.</p>\",\"PeriodicalId\":93998,\"journal\":{\"name\":\"European journal of microbiology & immunology\",\"volume\":\" \",\"pages\":\"37-43\"},\"PeriodicalIF\":0.0000,\"publicationDate\":\"2024-01-17\",\"publicationTypes\":\"Journal Article\",\"fieldsOfStudy\":null,\"isOpenAccess\":false,\"openAccessPdf\":\"https://www.ncbi.nlm.nih.gov/pmc/articles/PMC10895360/pdf/\",\"citationCount\":\"0\",\"resultStr\":null,\"platform\":\"Semanticscholar\",\"paperid\":null,\"PeriodicalName\":\"European journal of microbiology & immunology\",\"FirstCategoryId\":\"1085\",\"ListUrlMain\":\"https://doi.org/10.1556/1886.2023.00046\",\"RegionNum\":0,\"RegionCategory\":null,\"ArticlePicture\":[],\"TitleCN\":null,\"AbstractTextCN\":null,\"PMCID\":null,\"EPubDate\":\"2024/2/23 0:00:00\",\"PubModel\":\"Print\",\"JCR\":\"\",\"JCRName\":\"\",\"Score\":null,\"Total\":0}","platform":"Semanticscholar","paperid":null,"PeriodicalName":"European journal of microbiology & immunology","FirstCategoryId":"1085","ListUrlMain":"https://doi.org/10.1556/1886.2023.00046","RegionNum":0,"RegionCategory":null,"ArticlePicture":[],"TitleCN":null,"AbstractTextCN":null,"PMCID":null,"EPubDate":"2024/2/23 0:00:00","PubModel":"Print","JCR":"","JCRName":"","Score":null,"Total":0}
引用次数: 0

摘要

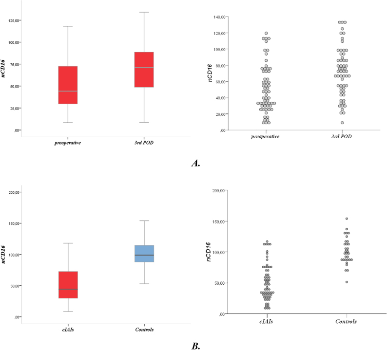
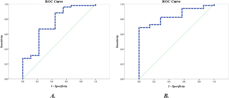
目的:中性粒细胞 CD16(nCD16)表达预测复杂腹腔内感染(cIAIs)预后的能力尚未得到研究,因此我们旨在评估其在此类患者中的潜在预后价值:2018 年 11 月至 2021 年 8 月期间,我们在斯塔拉扎戈拉大学医院外科疾病部开展了一项单中心前瞻性研究。使用流式细胞仪测量了 62 例 cIAI 患者术前和术后第 3 天(POD)的 nCD16 水平:结果:我们观察到住院期间的死亡率为 14.5%。幸存者围手术期的 nCD16 表达明显高于非幸存者(术前 P = 0.02,术后 P = 0.006)。我们发现,术前 nCD16 具有良好的预测效果(AUROC = 0.745),术后 nCD16 水平具有非常好的预测效果(AUROC = 0.846)。最佳术前阈值 nCD16 = 34.75 MFI 可以预测生存率,灵敏度和特异度分别为 66.7% 和 77.8%。第 3 个 POD 的阈值 nCD16 = 54.8 MFI 的敏感性和特异性分别为 72.5%和 85.7%:结论:围手术期中性粒细胞 CD16 表达作为 cIAI 患者良好预后的预测因子具有很大的潜力。
本文章由计算机程序翻译,如有差异,请以英文原文为准。

Better chance of survival is associated with higher neutrophil CD16 expression in patients with complicated intra-abdominal infections.

Better chance of survival is associated with higher neutrophil CD16 expression in patients with complicated intra-abdominal infections.

Better chance of survival is associated with higher neutrophil CD16 expression in patients with complicated intra-abdominal infections.

Better chance of survival is associated with higher neutrophil CD16 expression in patients with complicated intra-abdominal infections.

Aim: The ability of neutrophil CD16 (nCD16) expression to predict outcome in complicated intra-abdominal infections (cIAIs) has not yet been studied; therefore we aimed to evaluate its potential prognostic value in such patients.

Methods: Between November 2018 and August 2021 a single-center prospective study was performed in the Department of Surgical Diseases at a University Hospital Stara Zagora. A flow cytometry was used to measure the levels of nCD16 before surgery and on the 3rd postoperative day (POD) in 62 patients with cIAIs.

Results: We observed a mortality rate of 14.5% during hospitalization. Survivors had significantly higher perioperative expression of nCD16 than non-survivors (P = 0.02 preoperatively and P = 0.006 postoperatively). As predictor of favorable outcome we found a good predictive performance of preoperative nCD16 (AUROC = 0.745) and a very good predictive performance of postoperative levels (AUROC = 0.846). An optimal preoperative threshold nCD16 = 34.75 MFI permitted prediction of survival with sensitivity and specificity of 66.7% and 77.8%, respectively. A better sensitivity of 72.5% and specificity of 85.7% were observed for threshold = 54.8 MFI on the 3rd POD.

Conclusion: Perioperative neutrophil CD16 expression shows a great potential as a predictor of favorable outcome in patients with cIAIs.

求助全文
通过发布文献求助,成功后即可免费获取论文全文。 去求助
来源期刊
自引率
0.00%
发文量
0
×
引用
GB/T 7714-2015
复制
MLA
复制
APA
复制
导出至
BibTeX EndNote RefMan NoteFirst NoteExpress
×
提示
您的信息不完整,为了账户安全,请先补充。
现在去补充
×
提示
您因"违规操作"
具体请查看互助需知
我知道了
×
提示
确定
请完成安全验证×
copy
已复制链接
快去分享给好友吧!
我知道了
右上角分享
点击右上角分享
0
联系我们:info@booksci.cn Book学术提供免费学术资源搜索服务,方便国内外学者检索中英文文献。致力于提供最便捷和优质的服务体验。 Copyright © 2023 布克学术 All rights reserved.
京ICP备2023020795号-1
ghs 京公网安备 11010802042870号
Book学术文献互助
Book学术文献互助群
群 号:604180095
Book学术官方微信