肿瘤亚型对乳腺癌体重指数预后的影响。

Korean journal of clinical oncology Pub Date : 2023-12-01 Epub Date: 2023-12-31 DOI:10.14216/kjco.23010
Jae-Myung Kim, Ju-Yeon Kim, Eun Jung Jung, Seung-Jin Kwag, Ji-Ho Park, Jin-Kyu Cho, Han-Gil Kim, Chi-Young Jeong, Young-Tae Ju, Young-Joon Lee
{"title":"肿瘤亚型对乳腺癌体重指数预后的影响。","authors":"Jae-Myung Kim, Ju-Yeon Kim, Eun Jung Jung, Seung-Jin Kwag, Ji-Ho Park, Jin-Kyu Cho, Han-Gil Kim, Chi-Young Jeong, Young-Tae Ju, Young-Joon Lee","doi":"10.14216/kjco.23010","DOIUrl":null,"url":null,"abstract":"<p><strong>Purpose: </strong>Several studies demonstrated that obesity and underweight were negatively associated with outcomes of breast cancer. However, the results are still controversial, and the impact of body mass index (BMI) on distant metastasis-free survival (MFS), which might directly affect mortality, was less well evaluated. Our study aimed to verify the prognostic effect of BMI in breast cancer.</p><p><strong>Methods: </strong>A retrospective analysis of 504 patients with stage I-III breast cancer who underwent surgery from January 2005 to December 2013 was performed. The patients were divided into three groups according to preoperative BMI: underweight <18.5 kg/m2, normal weight 18.5-24.9 kg/m2, and overweight ≥25 kg/m2. The association between body weight status and breast cancer recurrence was analyzed. Subgroup analysis by tumor subtype according to receptor status was also performed.</p><p><strong>Results: </strong>The median follow-up period was 88 months. For disease recurrence, histologic grade and human epidermal growth factor receptor 2 (HER2)-positivity were independent prognostic factors in multivariate analysis. Stage, histologic grade, HER2-positivity, and BMI status were independent prognostic factors for distant metastasis. In survival analysis, overweight and underweight were significant predisposing factors for MFS, but not for disease-free survival (DFS). In the estrogen receptor (ER)-positive group, overweight and underweight patients had significantly worse DFS and MFS than normal weight patients. In the ER-negative or HER2-positive group, BMI status had no significant association with DFS and MFS.</p><p><strong>Conclusion: </strong>The prognostic role of BMI on the survival outcomes of patients with breast cancer was different by tumor subtype. In ER-positive patients, overweight and underweight statuses had a negative prognostic effect on DFS and MFS, respectively.</p>","PeriodicalId":74045,"journal":{"name":"Korean journal of clinical oncology","volume":"19 2","pages":"52-59"},"PeriodicalIF":0.0000,"publicationDate":"2023-12-01","publicationTypes":"Journal Article","fieldsOfStudy":null,"isOpenAccess":false,"openAccessPdf":"https://www.ncbi.nlm.nih.gov/pmc/articles/PMC10792365/pdf/","citationCount":"0","resultStr":"{\"title\":\"The prognostic impact of body mass index in breast cancer according to tumor subtype.\",\"authors\":\"Jae-Myung Kim, Ju-Yeon Kim, Eun Jung Jung, Seung-Jin Kwag, Ji-Ho Park, Jin-Kyu Cho, Han-Gil Kim, Chi-Young Jeong, Young-Tae Ju, Young-Joon Lee\",\"doi\":\"10.14216/kjco.23010\",\"DOIUrl\":null,\"url\":null,\"abstract\":\"<p><strong>Purpose: </strong>Several studies demonstrated that obesity and underweight were negatively associated with outcomes of breast cancer. However, the results are still controversial, and the impact of body mass index (BMI) on distant metastasis-free survival (MFS), which might directly affect mortality, was less well evaluated. Our study aimed to verify the prognostic effect of BMI in breast cancer.</p><p><strong>Methods: </strong>A retrospective analysis of 504 patients with stage I-III breast cancer who underwent surgery from January 2005 to December 2013 was performed. The patients were divided into three groups according to preoperative BMI: underweight <18.5 kg/m2, normal weight 18.5-24.9 kg/m2, and overweight ≥25 kg/m2. The association between body weight status and breast cancer recurrence was analyzed. Subgroup analysis by tumor subtype according to receptor status was also performed.</p><p><strong>Results: </strong>The median follow-up period was 88 months. For disease recurrence, histologic grade and human epidermal growth factor receptor 2 (HER2)-positivity were independent prognostic factors in multivariate analysis. Stage, histologic grade, HER2-positivity, and BMI status were independent prognostic factors for distant metastasis. In survival analysis, overweight and underweight were significant predisposing factors for MFS, but not for disease-free survival (DFS). In the estrogen receptor (ER)-positive group, overweight and underweight patients had significantly worse DFS and MFS than normal weight patients. In the ER-negative or HER2-positive group, BMI status had no significant association with DFS and MFS.</p><p><strong>Conclusion: </strong>The prognostic role of BMI on the survival outcomes of patients with breast cancer was different by tumor subtype. In ER-positive patients, overweight and underweight statuses had a negative prognostic effect on DFS and MFS, respectively.</p>\",\"PeriodicalId\":74045,\"journal\":{\"name\":\"Korean journal of clinical oncology\",\"volume\":\"19 2\",\"pages\":\"52-59\"},\"PeriodicalIF\":0.0000,\"publicationDate\":\"2023-12-01\",\"publicationTypes\":\"Journal Article\",\"fieldsOfStudy\":null,\"isOpenAccess\":false,\"openAccessPdf\":\"https://www.ncbi.nlm.nih.gov/pmc/articles/PMC10792365/pdf/\",\"citationCount\":\"0\",\"resultStr\":null,\"platform\":\"Semanticscholar\",\"paperid\":null,\"PeriodicalName\":\"Korean journal of clinical oncology\",\"FirstCategoryId\":\"1085\",\"ListUrlMain\":\"https://doi.org/10.14216/kjco.23010\",\"RegionNum\":0,\"RegionCategory\":null,\"ArticlePicture\":[],\"TitleCN\":null,\"AbstractTextCN\":null,\"PMCID\":null,\"EPubDate\":\"2023/12/31 0:00:00\",\"PubModel\":\"Epub\",\"JCR\":\"\",\"JCRName\":\"\",\"Score\":null,\"Total\":0}","platform":"Semanticscholar","paperid":null,"PeriodicalName":"Korean journal of clinical oncology","FirstCategoryId":"1085","ListUrlMain":"https://doi.org/10.14216/kjco.23010","RegionNum":0,"RegionCategory":null,"ArticlePicture":[],"TitleCN":null,"AbstractTextCN":null,"PMCID":null,"EPubDate":"2023/12/31 0:00:00","PubModel":"Epub","JCR":"","JCRName":"","Score":null,"Total":0}
引用次数: 0

摘要

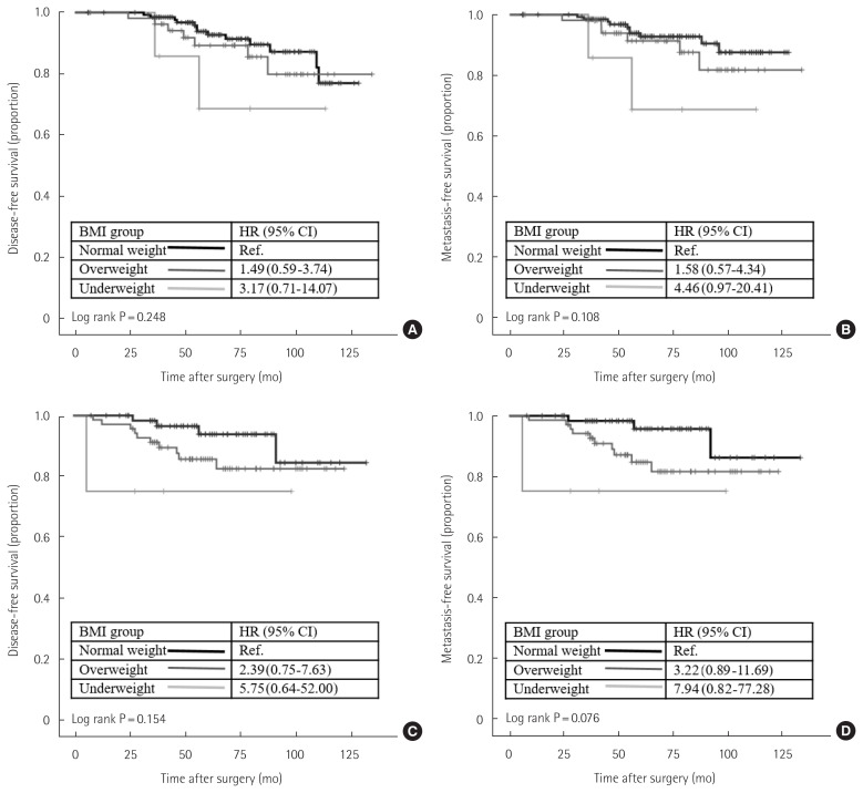
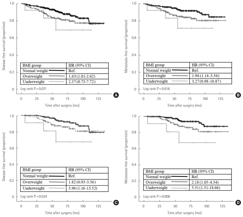
目的:多项研究表明,肥胖和体重不足与乳腺癌的预后呈负相关。然而,这些结果仍存在争议,而体重指数(BMI)对无远处转移生存期(MFS)的影响(MFS可能直接影响死亡率)评估较少。我们的研究旨在验证体重指数对乳腺癌预后的影响:我们对 2005 年 1 月至 2013 年 12 月期间接受手术的 504 例 I-III 期乳腺癌患者进行了回顾性分析。根据术前体重指数(BMI)将患者分为三组:体重过轻组、体重过高组和体重过低组:中位随访时间为 88 个月。在多变量分析中,组织学分级和人类表皮生长因子受体2(HER2)阳性是疾病复发的独立预后因素。分期、组织学分级、HER2阳性和体重指数是远处转移的独立预后因素。在生存期分析中,超重和体重不足是导致MFS的重要诱因,但不是无病生存期(DFS)的重要诱因。在雌激素受体(ER)阳性组中,超重和体重不足患者的无病生存期和有病生存期明显低于正常体重患者。在ER阴性或HER2阳性组中,体重指数与无病生存期和有病生存期无明显关系:结论:BMI 对乳腺癌患者生存预后的影响因肿瘤亚型而异。在ER阳性患者中,超重和体重不足分别对DFS和MFS有负面预后影响。
本文章由计算机程序翻译,如有差异,请以英文原文为准。

The prognostic impact of body mass index in breast cancer according to tumor subtype.

The prognostic impact of body mass index in breast cancer according to tumor subtype.

The prognostic impact of body mass index in breast cancer according to tumor subtype.

Purpose: Several studies demonstrated that obesity and underweight were negatively associated with outcomes of breast cancer. However, the results are still controversial, and the impact of body mass index (BMI) on distant metastasis-free survival (MFS), which might directly affect mortality, was less well evaluated. Our study aimed to verify the prognostic effect of BMI in breast cancer.

Methods: A retrospective analysis of 504 patients with stage I-III breast cancer who underwent surgery from January 2005 to December 2013 was performed. The patients were divided into three groups according to preoperative BMI: underweight <18.5 kg/m2, normal weight 18.5-24.9 kg/m2, and overweight ≥25 kg/m2. The association between body weight status and breast cancer recurrence was analyzed. Subgroup analysis by tumor subtype according to receptor status was also performed.

Results: The median follow-up period was 88 months. For disease recurrence, histologic grade and human epidermal growth factor receptor 2 (HER2)-positivity were independent prognostic factors in multivariate analysis. Stage, histologic grade, HER2-positivity, and BMI status were independent prognostic factors for distant metastasis. In survival analysis, overweight and underweight were significant predisposing factors for MFS, but not for disease-free survival (DFS). In the estrogen receptor (ER)-positive group, overweight and underweight patients had significantly worse DFS and MFS than normal weight patients. In the ER-negative or HER2-positive group, BMI status had no significant association with DFS and MFS.

Conclusion: The prognostic role of BMI on the survival outcomes of patients with breast cancer was different by tumor subtype. In ER-positive patients, overweight and underweight statuses had a negative prognostic effect on DFS and MFS, respectively.

求助全文
通过发布文献求助,成功后即可免费获取论文全文。 去求助
来源期刊
自引率
0.00%
发文量
0
×
引用
GB/T 7714-2015
复制
MLA
复制
APA
复制
导出至
BibTeX EndNote RefMan NoteFirst NoteExpress
×
提示
您的信息不完整,为了账户安全,请先补充。
现在去补充
×
提示
您因"违规操作"
具体请查看互助需知
我知道了
×
提示
确定
请完成安全验证×
copy
已复制链接
快去分享给好友吧!
我知道了
右上角分享
点击右上角分享
0
联系我们:info@booksci.cn Book学术提供免费学术资源搜索服务,方便国内外学者检索中英文文献。致力于提供最便捷和优质的服务体验。 Copyright © 2023 布克学术 All rights reserved.
京ICP备2023020795号-1
ghs 京公网安备 11010802042870号
Book学术文献互助
Book学术文献互助群
群 号:604180095
Book学术官方微信