神经变性生物标志物对认知功能的影响:一项对双相情感障碍患者和健康对照者进行的为期一年的纵向病例对照研究。

IF 3.5 2区 医学 Q2 PSYCHIATRY
Ulla Knorr, Anja Hviid Simonsen, Henrik Zetterberg, Kaj Blennow, Mira Willkan, Julie Forman, Kamilla Miskowiak, Steen Gregers Hasselbalch, Lars Vedel Kessing
{"title":"神经变性生物标志物对认知功能的影响:一项对双相情感障碍患者和健康对照者进行的为期一年的纵向病例对照研究。","authors":"Ulla Knorr, Anja Hviid Simonsen, Henrik Zetterberg, Kaj Blennow, Mira Willkan, Julie Forman, Kamilla Miskowiak, Steen Gregers Hasselbalch, Lars Vedel Kessing","doi":"10.1186/s40345-023-00324-5","DOIUrl":null,"url":null,"abstract":"<p><strong>Background: </strong>Abnormalities in cerebrospinal fluid (CSF)-amyloid-beta (Aβ)42, CSF-Aβ40, CSF-Aβ38, CSF-soluble amyloid precursor proteins α and β, CSF-total-tau, CSF-phosphorylated-tau, CSF-neurofilament light protein (NF-L), CSF-neurogranin, plasma-Aβ42, plasma-Aβ40, plasma-total-tau, plasma-NF-L and, serum-S100B during affective episodes may reflect brain changes that could impact cognitive function in patients with bipolar disorder (BD). The study aimed to investigate the association between these biomarkers indicative of Alzheimer's disease and those reflecting neurodegeneration alongside their impact on cognitive function in patients with BD and healthy control individuals (HC). The primary hypothesis was that GL and VL would increase with increasing levels of CSF-Aβ42 based on data from T0 and T3 in BD and HC jointly.</p><p><strong>Methods: </strong>In a prospective, longitudinal case-control study euthymic patients with BD (N = 85) and HC (N = 44) were evaluated with clinical assessment and neuropsychological testing at baseline (T0) and during euthymia after a year (T3). Patients' affective states were recorded weekly as euthymic, subthreshold level, major depression, or (hypo)mania. If an episode occurred during follow-up, the patient was also assessed in post-episode euthymia. Cognitive performance was measured as a global cognitive score (GL) for four cognitive domains including verbal learning and memory (VL).</p><p><strong>Results: </strong>Estimated in a linear mixed model GL increased with 0.001 for each increase of 1 pg/ml of CSF-Aβ42 (97.5%, CI 0.00043-0.0018, adjusted-p = 0.0005) while VL increased by 0.00089 (97.5%, CI 0.00015-0.0018, adjusted-p = 0.045) in BD and HC jointly. The association was weak, however stronger in patients with BD compared to HC. Associations between other biomarkers including CSF-neurogranin, and cognitive domains were overall weak, and none remained significant after adjustment for multiple testing.</p><p><strong>Limitations: </strong>Modest sample size. A complete data set regarding both CSF-AB-42 and cognitive test scores was obtained from merely 61 patients with BD and 38 HC individuals.</p><p><strong>Conclusion: </strong>CSF-Aβ42 may be associated with cognitive dysfunction in patients with BD and HC individuals. The association appeared to be stronger in BD but with overlapping confidence intervals. Hence it remains uncertain whether the association is a general phenomenon or driven by BD.</p>","PeriodicalId":13944,"journal":{"name":"International Journal of Bipolar Disorders","volume":"12 1","pages":"2"},"PeriodicalIF":3.5000,"publicationDate":"2024-01-16","publicationTypes":"Journal Article","fieldsOfStudy":null,"isOpenAccess":false,"openAccessPdf":"https://www.ncbi.nlm.nih.gov/pmc/articles/PMC10792136/pdf/","citationCount":"0","resultStr":"{\"title\":\"Biomarkers for neurodegeneration impact cognitive function: a longitudinal 1-year case-control study of patients with bipolar disorder and healthy control individuals.\",\"authors\":\"Ulla Knorr, Anja Hviid Simonsen, Henrik Zetterberg, Kaj Blennow, Mira Willkan, Julie Forman, Kamilla Miskowiak, Steen Gregers Hasselbalch, Lars Vedel Kessing\",\"doi\":\"10.1186/s40345-023-00324-5\",\"DOIUrl\":null,\"url\":null,\"abstract\":\"<p><strong>Background: </strong>Abnormalities in cerebrospinal fluid (CSF)-amyloid-beta (Aβ)42, CSF-Aβ40, CSF-Aβ38, CSF-soluble amyloid precursor proteins α and β, CSF-total-tau, CSF-phosphorylated-tau, CSF-neurofilament light protein (NF-L), CSF-neurogranin, plasma-Aβ42, plasma-Aβ40, plasma-total-tau, plasma-NF-L and, serum-S100B during affective episodes may reflect brain changes that could impact cognitive function in patients with bipolar disorder (BD). The study aimed to investigate the association between these biomarkers indicative of Alzheimer's disease and those reflecting neurodegeneration alongside their impact on cognitive function in patients with BD and healthy control individuals (HC). The primary hypothesis was that GL and VL would increase with increasing levels of CSF-Aβ42 based on data from T0 and T3 in BD and HC jointly.</p><p><strong>Methods: </strong>In a prospective, longitudinal case-control study euthymic patients with BD (N = 85) and HC (N = 44) were evaluated with clinical assessment and neuropsychological testing at baseline (T0) and during euthymia after a year (T3). Patients' affective states were recorded weekly as euthymic, subthreshold level, major depression, or (hypo)mania. If an episode occurred during follow-up, the patient was also assessed in post-episode euthymia. Cognitive performance was measured as a global cognitive score (GL) for four cognitive domains including verbal learning and memory (VL).</p><p><strong>Results: </strong>Estimated in a linear mixed model GL increased with 0.001 for each increase of 1 pg/ml of CSF-Aβ42 (97.5%, CI 0.00043-0.0018, adjusted-p = 0.0005) while VL increased by 0.00089 (97.5%, CI 0.00015-0.0018, adjusted-p = 0.045) in BD and HC jointly. The association was weak, however stronger in patients with BD compared to HC. Associations between other biomarkers including CSF-neurogranin, and cognitive domains were overall weak, and none remained significant after adjustment for multiple testing.</p><p><strong>Limitations: </strong>Modest sample size. A complete data set regarding both CSF-AB-42 and cognitive test scores was obtained from merely 61 patients with BD and 38 HC individuals.</p><p><strong>Conclusion: </strong>CSF-Aβ42 may be associated with cognitive dysfunction in patients with BD and HC individuals. The association appeared to be stronger in BD but with overlapping confidence intervals. Hence it remains uncertain whether the association is a general phenomenon or driven by BD.</p>\",\"PeriodicalId\":13944,\"journal\":{\"name\":\"International Journal of Bipolar Disorders\",\"volume\":\"12 1\",\"pages\":\"2\"},\"PeriodicalIF\":3.5000,\"publicationDate\":\"2024-01-16\",\"publicationTypes\":\"Journal Article\",\"fieldsOfStudy\":null,\"isOpenAccess\":false,\"openAccessPdf\":\"https://www.ncbi.nlm.nih.gov/pmc/articles/PMC10792136/pdf/\",\"citationCount\":\"0\",\"resultStr\":null,\"platform\":\"Semanticscholar\",\"paperid\":null,\"PeriodicalName\":\"International Journal of Bipolar Disorders\",\"FirstCategoryId\":\"3\",\"ListUrlMain\":\"https://doi.org/10.1186/s40345-023-00324-5\",\"RegionNum\":2,\"RegionCategory\":\"医学\",\"ArticlePicture\":[],\"TitleCN\":null,\"AbstractTextCN\":null,\"PMCID\":null,\"EPubDate\":\"\",\"PubModel\":\"\",\"JCR\":\"Q2\",\"JCRName\":\"PSYCHIATRY\",\"Score\":null,\"Total\":0}","platform":"Semanticscholar","paperid":null,"PeriodicalName":"International Journal of Bipolar Disorders","FirstCategoryId":"3","ListUrlMain":"https://doi.org/10.1186/s40345-023-00324-5","RegionNum":2,"RegionCategory":"医学","ArticlePicture":[],"TitleCN":null,"AbstractTextCN":null,"PMCID":null,"EPubDate":"","PubModel":"","JCR":"Q2","JCRName":"PSYCHIATRY","Score":null,"Total":0}
引用次数: 0

摘要

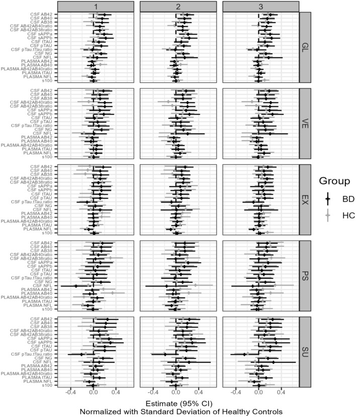
背景:脑脊液(CSF)-淀粉样β(Aβ)42、CSF-Aβ40、CSF-Aβ38、CSF-可溶性淀粉样前体蛋白α和β、CSF-总tau、CSF-磷酸化tau、CSF-神经丝蛋白(NF-L)异常、在情感发作期间,CSF-神经粒蛋白、血浆-Aβ42、血浆-Aβ40、血浆-总tau、血浆-NF-L和血清-S100B可能会反映大脑的变化,从而影响双相情感障碍(BD)患者的认知功能。该研究旨在调查这些指示阿尔茨海默病的生物标记物与反映神经变性的生物标记物之间的关联,以及它们对双相情感障碍患者和健康对照个体(HC)认知功能的影响。根据 BD 和 HC 的 T0 和 T3 数据,主要假设是 GL 和 VL 会随着 CSF-Aβ42 水平的增加而增加:方法:在一项前瞻性纵向病例对照研究中,在基线(T0)和一年后(T3)的亢进期,对 BD(85 人)和 HC(44 人)患者进行了临床评估和神经心理学测试。患者的情绪状态每周记录一次,分别记录为情绪稳定、亚阈值水平、重度抑郁或(低)躁狂。如果患者在随访期间病情发作,还将对其发作后的亢奋状态进行评估。认知表现以包括言语学习和记忆(VL)在内的四个认知领域的总体认知得分(GL)来衡量:在线性混合模型中估计,CSF-Aβ42每增加1 pg/ml,GL增加0.001(97.5%,CI 0.00043-0.0018,调整后p = 0.0005),而在BD和HC中,VL增加0.00089(97.5%,CI 0.00015-0.0018,调整后p = 0.045)。与 HC 相比,BD 患者的相关性较弱,但更强。其他生物标志物(包括CSF-神经粒腺苷)与认知领域之间的关联总体较弱,经多重测试调整后仍无显著关联:样本量有限。仅从61名BD患者和38名HC个体中获得了有关CSF-AB-42和认知测试得分的完整数据集:结论:CSF-Aβ42可能与BD患者和HC患者的认知功能障碍有关。BD患者的相关性似乎更强,但置信区间重叠。因此,目前仍无法确定这种关联是一种普遍现象还是由 BD 驱动的。
本文章由计算机程序翻译,如有差异,请以英文原文为准。

Biomarkers for neurodegeneration impact cognitive function: a longitudinal 1-year case-control study of patients with bipolar disorder and healthy control individuals.

Biomarkers for neurodegeneration impact cognitive function: a longitudinal 1-year case-control study of patients with bipolar disorder and healthy control individuals.

Biomarkers for neurodegeneration impact cognitive function: a longitudinal 1-year case-control study of patients with bipolar disorder and healthy control individuals.

Biomarkers for neurodegeneration impact cognitive function: a longitudinal 1-year case-control study of patients with bipolar disorder and healthy control individuals.

Background: Abnormalities in cerebrospinal fluid (CSF)-amyloid-beta (Aβ)42, CSF-Aβ40, CSF-Aβ38, CSF-soluble amyloid precursor proteins α and β, CSF-total-tau, CSF-phosphorylated-tau, CSF-neurofilament light protein (NF-L), CSF-neurogranin, plasma-Aβ42, plasma-Aβ40, plasma-total-tau, plasma-NF-L and, serum-S100B during affective episodes may reflect brain changes that could impact cognitive function in patients with bipolar disorder (BD). The study aimed to investigate the association between these biomarkers indicative of Alzheimer's disease and those reflecting neurodegeneration alongside their impact on cognitive function in patients with BD and healthy control individuals (HC). The primary hypothesis was that GL and VL would increase with increasing levels of CSF-Aβ42 based on data from T0 and T3 in BD and HC jointly.

Methods: In a prospective, longitudinal case-control study euthymic patients with BD (N = 85) and HC (N = 44) were evaluated with clinical assessment and neuropsychological testing at baseline (T0) and during euthymia after a year (T3). Patients' affective states were recorded weekly as euthymic, subthreshold level, major depression, or (hypo)mania. If an episode occurred during follow-up, the patient was also assessed in post-episode euthymia. Cognitive performance was measured as a global cognitive score (GL) for four cognitive domains including verbal learning and memory (VL).

Results: Estimated in a linear mixed model GL increased with 0.001 for each increase of 1 pg/ml of CSF-Aβ42 (97.5%, CI 0.00043-0.0018, adjusted-p = 0.0005) while VL increased by 0.00089 (97.5%, CI 0.00015-0.0018, adjusted-p = 0.045) in BD and HC jointly. The association was weak, however stronger in patients with BD compared to HC. Associations between other biomarkers including CSF-neurogranin, and cognitive domains were overall weak, and none remained significant after adjustment for multiple testing.

Limitations: Modest sample size. A complete data set regarding both CSF-AB-42 and cognitive test scores was obtained from merely 61 patients with BD and 38 HC individuals.

Conclusion: CSF-Aβ42 may be associated with cognitive dysfunction in patients with BD and HC individuals. The association appeared to be stronger in BD but with overlapping confidence intervals. Hence it remains uncertain whether the association is a general phenomenon or driven by BD.

求助全文
通过发布文献求助,成功后即可免费获取论文全文。 去求助
来源期刊
International Journal of Bipolar Disorders
International Journal of Bipolar Disorders Medicine-Psychiatry and Mental Health
CiteScore
6.70
自引率
5.00%
发文量
26
审稿时长
13 weeks
期刊介绍: The International Journal of Bipolar Disorders is a peer-reviewed, open access online journal published under the SpringerOpen brand. It publishes contributions from the broad range of clinical, psychological and biological research in bipolar disorders. It is the official journal of the ECNP-ENBREC (European Network of Bipolar Research Expert Centres ) Bipolar Disorders Network, the International Group for the study of Lithium Treated Patients (IGSLi) and the Deutsche Gesellschaft für Bipolare Störungen (DGBS) and invites clinicians and researchers from around the globe to submit original research papers, short research communications, reviews, guidelines, case reports and letters to the editor that help to enhance understanding of bipolar disorders.
×
引用
GB/T 7714-2015
复制
MLA
复制
APA
复制
导出至
BibTeX EndNote RefMan NoteFirst NoteExpress
×
提示
您的信息不完整,为了账户安全,请先补充。
现在去补充
×
提示
您因"违规操作"
具体请查看互助需知
我知道了
×
提示
确定
请完成安全验证×
copy
已复制链接
快去分享给好友吧!
我知道了
右上角分享
点击右上角分享
0
联系我们:info@booksci.cn Book学术提供免费学术资源搜索服务,方便国内外学者检索中英文文献。致力于提供最便捷和优质的服务体验。 Copyright © 2023 布克学术 All rights reserved.
京ICP备2023020795号-1
ghs 京公网安备 11010802042870号
Book学术文献互助
Book学术文献互助群
群 号:604180095
Book学术官方微信