早期生长反应 1 (EGR1) 在重性精神病患者的外周血中下调。

IF 2.2 Q3 PSYCHIATRY
Giovana Bristot, Jacson Gabriel Feiten, Bianca Pfaffenseller, Gabriel Henrique Hizo, Gabriela Maria Pereira Possebon, Fernanda Endler Valiati, Jairo Vinícius Pinto, Marco Antonio Caldieraro, Marcelo Pio de Almeida Fleck, Clarissa Severino Gama, Márcia Kauer-Sant'Anna
{"title":"早期生长反应 1 (EGR1) 在重性精神病患者的外周血中下调。","authors":"Giovana Bristot, Jacson Gabriel Feiten, Bianca Pfaffenseller, Gabriel Henrique Hizo, Gabriela Maria Pereira Possebon, Fernanda Endler Valiati, Jairo Vinícius Pinto, Marco Antonio Caldieraro, Marcelo Pio de Almeida Fleck, Clarissa Severino Gama, Márcia Kauer-Sant'Anna","doi":"10.47626/2237-6089-2023-0749","DOIUrl":null,"url":null,"abstract":"<p><strong>Objectives: </strong>To evaluate relative expression of genes with the potential to translate environmental stimuli into long-term alterations in the brain - namely Early Growth Response (EGR)1, EGR3, and Cryptochrome Circadian Regulator 2 (CRY2) - in peripheral blood from patients with Bipolar Disorder (BD), Schizophrenia (SZ), Major Depressive Disorder (MDD) and healthy controls (HC).</p><p><strong>Methods: </strong>Thirty individuals ranging from 18 to 60 years were recruited for each group (BD, SZ, MDD or HC) from a Brazilian public hospital. Therefore, individuals' peripheral blood was collected and EGR1, EGR3 and CRY2 gene expression analyzed by PCR Real Time.</p><p><strong>Results: </strong>EGR1 mRNA levels are significantly lower in psychiatric patients when compared to HC, but there is no difference for EGR3 and CRY2. Exploring the findings for each diagnosis, there is a significant difference between each diagnosis group only for EGR1, which was lower in BD, MDD and SZ as compared to HC. No significant correlations were found between gene expression and clinical features.</p><p><strong>Conclusions: </strong>EGR1 is downregulated in psychiatric patients, regardless of the diagnosis and may be a potential common target in major psychiatric disorders. EGR1, as a transcription factor, modulates many other genes and participates in crucial neuronal and synaptic processes, such as plasticity, neurotransmitters metabolism, vesicular transport and signaling pathways. The study of EGR1 and its upstream regulators in psychiatry might lead to potential new therapeutic targets.</p>","PeriodicalId":46305,"journal":{"name":"Trends in Psychiatry and Psychotherapy","volume":" ","pages":""},"PeriodicalIF":2.2000,"publicationDate":"2024-01-12","publicationTypes":"Journal Article","fieldsOfStudy":null,"isOpenAccess":false,"openAccessPdf":"https://www.ncbi.nlm.nih.gov/pmc/articles/PMC11815351/pdf/","citationCount":"0","resultStr":"{\"title\":\"Early growth response 1 (EGR1) is downregulated in peripheral blood from patients with major psychiatric disorders.\",\"authors\":\"Giovana Bristot, Jacson Gabriel Feiten, Bianca Pfaffenseller, Gabriel Henrique Hizo, Gabriela Maria Pereira Possebon, Fernanda Endler Valiati, Jairo Vinícius Pinto, Marco Antonio Caldieraro, Marcelo Pio de Almeida Fleck, Clarissa Severino Gama, Márcia Kauer-Sant'Anna\",\"doi\":\"10.47626/2237-6089-2023-0749\",\"DOIUrl\":null,\"url\":null,\"abstract\":\"<p><strong>Objectives: </strong>To evaluate relative expression of genes with the potential to translate environmental stimuli into long-term alterations in the brain - namely Early Growth Response (EGR)1, EGR3, and Cryptochrome Circadian Regulator 2 (CRY2) - in peripheral blood from patients with Bipolar Disorder (BD), Schizophrenia (SZ), Major Depressive Disorder (MDD) and healthy controls (HC).</p><p><strong>Methods: </strong>Thirty individuals ranging from 18 to 60 years were recruited for each group (BD, SZ, MDD or HC) from a Brazilian public hospital. Therefore, individuals' peripheral blood was collected and EGR1, EGR3 and CRY2 gene expression analyzed by PCR Real Time.</p><p><strong>Results: </strong>EGR1 mRNA levels are significantly lower in psychiatric patients when compared to HC, but there is no difference for EGR3 and CRY2. Exploring the findings for each diagnosis, there is a significant difference between each diagnosis group only for EGR1, which was lower in BD, MDD and SZ as compared to HC. No significant correlations were found between gene expression and clinical features.</p><p><strong>Conclusions: </strong>EGR1 is downregulated in psychiatric patients, regardless of the diagnosis and may be a potential common target in major psychiatric disorders. EGR1, as a transcription factor, modulates many other genes and participates in crucial neuronal and synaptic processes, such as plasticity, neurotransmitters metabolism, vesicular transport and signaling pathways. The study of EGR1 and its upstream regulators in psychiatry might lead to potential new therapeutic targets.</p>\",\"PeriodicalId\":46305,\"journal\":{\"name\":\"Trends in Psychiatry and Psychotherapy\",\"volume\":\" \",\"pages\":\"\"},\"PeriodicalIF\":2.2000,\"publicationDate\":\"2024-01-12\",\"publicationTypes\":\"Journal Article\",\"fieldsOfStudy\":null,\"isOpenAccess\":false,\"openAccessPdf\":\"https://www.ncbi.nlm.nih.gov/pmc/articles/PMC11815351/pdf/\",\"citationCount\":\"0\",\"resultStr\":null,\"platform\":\"Semanticscholar\",\"paperid\":null,\"PeriodicalName\":\"Trends in Psychiatry and Psychotherapy\",\"FirstCategoryId\":\"1085\",\"ListUrlMain\":\"https://doi.org/10.47626/2237-6089-2023-0749\",\"RegionNum\":0,\"RegionCategory\":null,\"ArticlePicture\":[],\"TitleCN\":null,\"AbstractTextCN\":null,\"PMCID\":null,\"EPubDate\":\"\",\"PubModel\":\"\",\"JCR\":\"Q3\",\"JCRName\":\"PSYCHIATRY\",\"Score\":null,\"Total\":0}","platform":"Semanticscholar","paperid":null,"PeriodicalName":"Trends in Psychiatry and Psychotherapy","FirstCategoryId":"1085","ListUrlMain":"https://doi.org/10.47626/2237-6089-2023-0749","RegionNum":0,"RegionCategory":null,"ArticlePicture":[],"TitleCN":null,"AbstractTextCN":null,"PMCID":null,"EPubDate":"","PubModel":"","JCR":"Q3","JCRName":"PSYCHIATRY","Score":null,"Total":0}
引用次数: 0

摘要

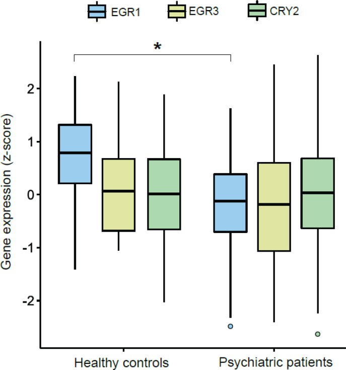
目标:评估有可能将环境刺激转化为大脑长期变化的基因的相对表达情况:评估双相情感障碍(BD)、精神分裂症(SZ)、重度抑郁障碍(MDD)患者和健康对照组(HC)外周血中可能将环境刺激转化为大脑长期变化的基因(即早期生长反应(EGR)1、EGR3和隐色素昼夜节律调节器2(CRY2))的相对表达情况:从巴西一家公立医院为每组(BD、SZ、MDD 或 HC)招募了 30 名 18 至 60 岁的患者。因此,采集了这些人的外周血,并通过 PCR 实时分析了 EGR1、EGR3 和 CRY2 的基因表达:结果:精神病患者的 EGR1 mRNA 水平明显低于 HC 患者,但 EGR3 和 CRY2 没有差异。对每种诊断的研究结果进行探讨后发现,各诊断组之间只有 EGR1 存在显著差异,与 HC 相比,BD、MDD 和 SZ 的 EGR1 水平较低。基因表达与临床特征之间没有发现明显的相关性:结论:无论诊断与否,EGR1在精神病患者中都存在下调,它可能是主要精神疾病的潜在共同靶点。EGR1 作为一种转录因子,可调节许多其他基因,并参与神经元和突触的关键过程,如可塑性、神经递质代谢、囊泡转运和信号通路。研究精神病学中的 EGR1 及其上游调节因子可能会发现潜在的新治疗靶点。
本文章由计算机程序翻译,如有差异,请以英文原文为准。

Early growth response 1 (EGR1) is downregulated in peripheral blood from patients with major psychiatric disorders.

Early growth response 1 (EGR1) is downregulated in peripheral blood from patients with major psychiatric disorders.

Early growth response 1 (EGR1) is downregulated in peripheral blood from patients with major psychiatric disorders.

Early growth response 1 (EGR1) is downregulated in peripheral blood from patients with major psychiatric disorders.

Objectives: To evaluate relative expression of genes with the potential to translate environmental stimuli into long-term alterations in the brain - namely Early Growth Response (EGR)1, EGR3, and Cryptochrome Circadian Regulator 2 (CRY2) - in peripheral blood from patients with Bipolar Disorder (BD), Schizophrenia (SZ), Major Depressive Disorder (MDD) and healthy controls (HC).

Methods: Thirty individuals ranging from 18 to 60 years were recruited for each group (BD, SZ, MDD or HC) from a Brazilian public hospital. Therefore, individuals' peripheral blood was collected and EGR1, EGR3 and CRY2 gene expression analyzed by PCR Real Time.

Results: EGR1 mRNA levels are significantly lower in psychiatric patients when compared to HC, but there is no difference for EGR3 and CRY2. Exploring the findings for each diagnosis, there is a significant difference between each diagnosis group only for EGR1, which was lower in BD, MDD and SZ as compared to HC. No significant correlations were found between gene expression and clinical features.

Conclusions: EGR1 is downregulated in psychiatric patients, regardless of the diagnosis and may be a potential common target in major psychiatric disorders. EGR1, as a transcription factor, modulates many other genes and participates in crucial neuronal and synaptic processes, such as plasticity, neurotransmitters metabolism, vesicular transport and signaling pathways. The study of EGR1 and its upstream regulators in psychiatry might lead to potential new therapeutic targets.

求助全文
通过发布文献求助,成功后即可免费获取论文全文。 去求助
来源期刊
CiteScore
4.40
自引率
0.00%
发文量
32
审稿时长
13 weeks
期刊介绍: Information not localized
×
引用
GB/T 7714-2015
复制
MLA
复制
APA
复制
导出至
BibTeX EndNote RefMan NoteFirst NoteExpress
×
提示
您的信息不完整,为了账户安全,请先补充。
现在去补充
×
提示
您因"违规操作"
具体请查看互助需知
我知道了
×
提示
确定
请完成安全验证×
copy
已复制链接
快去分享给好友吧!
我知道了
右上角分享
点击右上角分享
0
联系我们:info@booksci.cn Book学术提供免费学术资源搜索服务,方便国内外学者检索中英文文献。致力于提供最便捷和优质的服务体验。 Copyright © 2023 布克学术 All rights reserved.
京ICP备2023020795号-1
ghs 京公网安备 11010802042870号
Book学术文献互助
Book学术文献互助群
群 号:604180095
Book学术官方微信