一项探索性前瞻研究:用超声波检查取代透视检查评估半膈功能。

IF 2.9 Q2 Medicine
Søren Helbo Skaarup, Peter Juhl-Olsen, Anne Sofie Grundahl, Brian Bridal Løgstrup
{"title":"一项探索性前瞻研究:用超声波检查取代透视检查评估半膈功能。","authors":"Søren Helbo Skaarup, Peter Juhl-Olsen, Anne Sofie Grundahl, Brian Bridal Løgstrup","doi":"10.1186/s13089-023-00355-0","DOIUrl":null,"url":null,"abstract":"<p><strong>Introduction: </strong>Dysfunction of the diaphragm may ultimately lead to respiratory insufficiency and compromise patient outcome. Evaluation of diaphragm function is cumbersome. Fluoroscopy has been the gold standard to measure diaphragmatic excursion. Ultrasonography can visualize diaphragm excursion and holds many advantages such as no radiation exposure, increased portability and accessibility. However, correlation between fluoroscopy and ultrasonography has never been studied. We aimed to compare fluoroscopic and ultrasound measures of diaphragm excursion to determine if ultrasonography can replace fluoroscopy.</p><p><strong>Methods: </strong>We performed ultrasound and fluoroscopy simultaneously during sniff inspiration and at total inspiratory capacity in patients with chronic obstructive pulmonary disease, heart failure and in healthy volunteers. Cranio-caudal excursion was measured by fluoroscopy and compared directly to M-mode excursion, B-mode excursion, area change, resting thickness, thickening fraction and contraction velocity measured by ultrasonography.</p><p><strong>Results: </strong>Forty-two participants were included. The Pearson correlation between M-mode and fluoroscopy excursion was 0.61. The slope was 0.9 (90%CI 0.76-1.04) in a regression analysis. Using the Bland-Altman method, the bias was - 0.39 cm (95% CI - 1.04-0.26), p = 0.24. The Pearson correlation between fluoroscopy and B-mode and area change ultrasonography was high; low for thickness and fraction. All correlations were lower during sniff inspiration compared with inspiratory capacity breathing.</p><p><strong>Conclusion: </strong>Ultrasonography has an acceptable correlation and bias compared to fluoroscopy and can thus be used as the primary tool to evaluate diaphragm excursion.</p>","PeriodicalId":36911,"journal":{"name":"Ultrasound Journal","volume":"16 1","pages":"1"},"PeriodicalIF":2.9000,"publicationDate":"2024-01-08","publicationTypes":"Journal Article","fieldsOfStudy":null,"isOpenAccess":false,"openAccessPdf":"https://www.ncbi.nlm.nih.gov/pmc/articles/PMC10774234/pdf/","citationCount":"0","resultStr":"{\"title\":\"Replacement of fluoroscopy by ultrasonography in the evaluation of hemidiaphragm function, an exploratory prospective study.\",\"authors\":\"Søren Helbo Skaarup, Peter Juhl-Olsen, Anne Sofie Grundahl, Brian Bridal Løgstrup\",\"doi\":\"10.1186/s13089-023-00355-0\",\"DOIUrl\":null,\"url\":null,\"abstract\":\"<p><strong>Introduction: </strong>Dysfunction of the diaphragm may ultimately lead to respiratory insufficiency and compromise patient outcome. Evaluation of diaphragm function is cumbersome. Fluoroscopy has been the gold standard to measure diaphragmatic excursion. Ultrasonography can visualize diaphragm excursion and holds many advantages such as no radiation exposure, increased portability and accessibility. However, correlation between fluoroscopy and ultrasonography has never been studied. We aimed to compare fluoroscopic and ultrasound measures of diaphragm excursion to determine if ultrasonography can replace fluoroscopy.</p><p><strong>Methods: </strong>We performed ultrasound and fluoroscopy simultaneously during sniff inspiration and at total inspiratory capacity in patients with chronic obstructive pulmonary disease, heart failure and in healthy volunteers. Cranio-caudal excursion was measured by fluoroscopy and compared directly to M-mode excursion, B-mode excursion, area change, resting thickness, thickening fraction and contraction velocity measured by ultrasonography.</p><p><strong>Results: </strong>Forty-two participants were included. The Pearson correlation between M-mode and fluoroscopy excursion was 0.61. The slope was 0.9 (90%CI 0.76-1.04) in a regression analysis. Using the Bland-Altman method, the bias was - 0.39 cm (95% CI - 1.04-0.26), p = 0.24. The Pearson correlation between fluoroscopy and B-mode and area change ultrasonography was high; low for thickness and fraction. All correlations were lower during sniff inspiration compared with inspiratory capacity breathing.</p><p><strong>Conclusion: </strong>Ultrasonography has an acceptable correlation and bias compared to fluoroscopy and can thus be used as the primary tool to evaluate diaphragm excursion.</p>\",\"PeriodicalId\":36911,\"journal\":{\"name\":\"Ultrasound Journal\",\"volume\":\"16 1\",\"pages\":\"1\"},\"PeriodicalIF\":2.9000,\"publicationDate\":\"2024-01-08\",\"publicationTypes\":\"Journal Article\",\"fieldsOfStudy\":null,\"isOpenAccess\":false,\"openAccessPdf\":\"https://www.ncbi.nlm.nih.gov/pmc/articles/PMC10774234/pdf/\",\"citationCount\":\"0\",\"resultStr\":null,\"platform\":\"Semanticscholar\",\"paperid\":null,\"PeriodicalName\":\"Ultrasound Journal\",\"FirstCategoryId\":\"1085\",\"ListUrlMain\":\"https://doi.org/10.1186/s13089-023-00355-0\",\"RegionNum\":0,\"RegionCategory\":null,\"ArticlePicture\":[],\"TitleCN\":null,\"AbstractTextCN\":null,\"PMCID\":null,\"EPubDate\":\"\",\"PubModel\":\"\",\"JCR\":\"Q2\",\"JCRName\":\"Medicine\",\"Score\":null,\"Total\":0}","platform":"Semanticscholar","paperid":null,"PeriodicalName":"Ultrasound Journal","FirstCategoryId":"1085","ListUrlMain":"https://doi.org/10.1186/s13089-023-00355-0","RegionNum":0,"RegionCategory":null,"ArticlePicture":[],"TitleCN":null,"AbstractTextCN":null,"PMCID":null,"EPubDate":"","PubModel":"","JCR":"Q2","JCRName":"Medicine","Score":null,"Total":0}
引用次数: 0

摘要

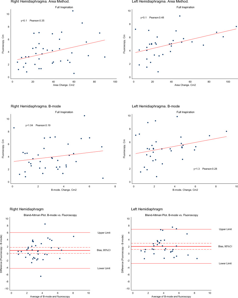
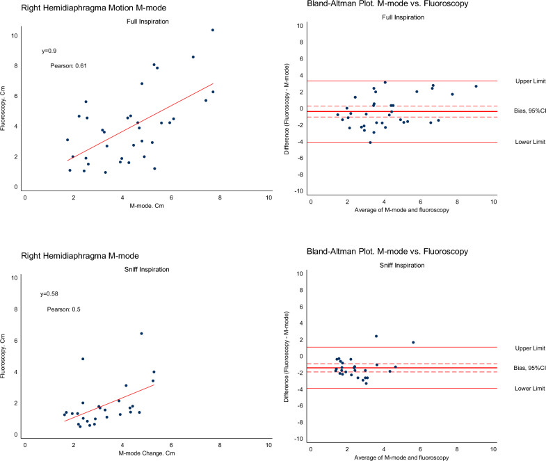
简介横膈膜功能障碍最终可能导致呼吸功能不全,影响患者的治疗效果。横膈膜功能的评估非常繁琐。透视检查一直是测量横膈膜偏移的金标准。超声波检查可直观显示横膈膜的偏移,并具有许多优点,如无辐射暴露、便携性和可及性。然而,透视和超声波检查之间的相关性却从未被研究过。我们的目的是比较透视和超声对横膈膜偏移的测量,以确定超声是否能取代透视:方法:我们在慢性阻塞性肺病患者、心力衰竭患者和健康志愿者的嗅吸和总吸气量时同时进行了超声和透视检查。通过透视测量颅尾偏移,并直接与超声波测量的 M 型偏移、B 型偏移、面积变化、静息厚度、增厚部分和收缩速度进行比较:共纳入 42 名参与者。M 型偏移与透视偏移之间的皮尔逊相关性为 0.61。回归分析的斜率为 0.9(90%CI 0.76-1.04)。使用 Bland-Altman 方法,偏差为 - 0.39 厘米(95%CI - 1.04-0.26),P = 0.24。透视与 B 型和面积变化超声波检查之间的皮尔逊相关性较高;厚度和分数的相关性较低。与吸气量呼吸相比,所有相关性在吸气时都较低:结论:与透视检查相比,超声波检查的相关性和偏差均可接受,因此可作为评估膈肌偏移的主要工具。
本文章由计算机程序翻译,如有差异,请以英文原文为准。

Replacement of fluoroscopy by ultrasonography in the evaluation of hemidiaphragm function, an exploratory prospective study.

Replacement of fluoroscopy by ultrasonography in the evaluation of hemidiaphragm function, an exploratory prospective study.

Replacement of fluoroscopy by ultrasonography in the evaluation of hemidiaphragm function, an exploratory prospective study.

Replacement of fluoroscopy by ultrasonography in the evaluation of hemidiaphragm function, an exploratory prospective study.

Introduction: Dysfunction of the diaphragm may ultimately lead to respiratory insufficiency and compromise patient outcome. Evaluation of diaphragm function is cumbersome. Fluoroscopy has been the gold standard to measure diaphragmatic excursion. Ultrasonography can visualize diaphragm excursion and holds many advantages such as no radiation exposure, increased portability and accessibility. However, correlation between fluoroscopy and ultrasonography has never been studied. We aimed to compare fluoroscopic and ultrasound measures of diaphragm excursion to determine if ultrasonography can replace fluoroscopy.

Methods: We performed ultrasound and fluoroscopy simultaneously during sniff inspiration and at total inspiratory capacity in patients with chronic obstructive pulmonary disease, heart failure and in healthy volunteers. Cranio-caudal excursion was measured by fluoroscopy and compared directly to M-mode excursion, B-mode excursion, area change, resting thickness, thickening fraction and contraction velocity measured by ultrasonography.

Results: Forty-two participants were included. The Pearson correlation between M-mode and fluoroscopy excursion was 0.61. The slope was 0.9 (90%CI 0.76-1.04) in a regression analysis. Using the Bland-Altman method, the bias was - 0.39 cm (95% CI - 1.04-0.26), p = 0.24. The Pearson correlation between fluoroscopy and B-mode and area change ultrasonography was high; low for thickness and fraction. All correlations were lower during sniff inspiration compared with inspiratory capacity breathing.

Conclusion: Ultrasonography has an acceptable correlation and bias compared to fluoroscopy and can thus be used as the primary tool to evaluate diaphragm excursion.

求助全文
通过发布文献求助,成功后即可免费获取论文全文。 去求助
来源期刊
Ultrasound Journal
Ultrasound Journal Health Professions-Radiological and Ultrasound Technology
CiteScore
6.80
自引率
2.90%
发文量
45
审稿时长
22 weeks
×
引用
GB/T 7714-2015
复制
MLA
复制
APA
复制
导出至
BibTeX EndNote RefMan NoteFirst NoteExpress
×
提示
您的信息不完整,为了账户安全,请先补充。
现在去补充
×
提示
您因"违规操作"
具体请查看互助需知
我知道了
×
提示
确定
请完成安全验证×
copy
已复制链接
快去分享给好友吧!
我知道了
右上角分享
点击右上角分享
0
联系我们:info@booksci.cn Book学术提供免费学术资源搜索服务,方便国内外学者检索中英文文献。致力于提供最便捷和优质的服务体验。 Copyright © 2023 布克学术 All rights reserved.
京ICP备2023020795号-1
ghs 京公网安备 11010802042870号
Book学术文献互助
Book学术文献互助群
群 号:604180095
Book学术官方微信