印度马哈拉施特拉邦那格浦尔癫痫患者神经囊虫病的血清学和分子检测。

IF 1.2 4区 生物学 Q4 PARASITOLOGY
Helminthologia Pub Date : 2023-12-26 eCollection Date: 2023-09-01 DOI:10.2478/helm-2023-0023
K Satyaprakash, W A Khan, N N Zade, S P Chaudhari, S V Shinde, N V Kurkure, P K Shembalkar
{"title":"印度马哈拉施特拉邦那格浦尔癫痫患者神经囊虫病的血清学和分子检测。","authors":"K Satyaprakash, W A Khan, N N Zade, S P Chaudhari, S V Shinde, N V Kurkure, P K Shembalkar","doi":"10.2478/helm-2023-0023","DOIUrl":null,"url":null,"abstract":"<p><p>Neurocysticercosis (NCC), one of the most important neuroparasitic diseases in humans, is caused by <i>Cysticercus cellulosae</i>, the metacestode stage of digenetic zoonotic cestode <i>Taenia solium</i>. The present study aims at the detection of anti-cysticercus antibodies in the sera of epileptic patients (n=26) visiting a tertiary care hospital in Nagpur, Maharashtra state, India, by an in-house developed indirect IgG-ELISA and enzyme-linked immunoelectro transfer blot (EITB) assay using different antigens (namely, Whole Cyst Antigen (WCA), Cystic Fluid Antigen (CFA), Scolex Antigen (SA), Excretory-Secretory Antigen (ESA) and Membrane-Body Antigen (MBA)) prepared from <i>T. solium</i> metacestodes to find out the status of NCC. An attempt has also been made for molecular detection of NCC from blood samples of those patients by Polymerase Chain Reaction (PCR) assay targeted at <i>large subunit rRNA</i> gene of <i>T. solium</i>. The IgG ELISA level of anti-cysticercus antibodies against WCA, CFA, SA, ESA and MBA antigens were as follows: 19.23 %, 23.07 %, 38.46 %, 30.76 % and 15.38 %. The seroreactivity to CFA, SA and ESA was found in equal proportions in patients with ring-enhancing lesions. In the EITB assay, the lower and medium molecular weight protein bands of SA and ESA were immunodominant compared to the higher WCA and CFA peptides. PCR positivity could be observed in 34.6 % (9/26) of the patients under study. It is the first report of detecting NCC among epileptic patients of the Nagpur region of Maharashtra state in India using serological and molecular tools.</p>","PeriodicalId":55061,"journal":{"name":"Helminthologia","volume":"60 3","pages":"208-220"},"PeriodicalIF":1.2000,"publicationDate":"2023-12-26","publicationTypes":"Journal Article","fieldsOfStudy":null,"isOpenAccess":false,"openAccessPdf":"https://www.ncbi.nlm.nih.gov/pmc/articles/PMC10750244/pdf/","citationCount":"0","resultStr":"{\"title\":\"Serological and molecular detection of neurocysticercosis among epileptic patients in Nagpur, Maharashtra state (India).\",\"authors\":\"K Satyaprakash, W A Khan, N N Zade, S P Chaudhari, S V Shinde, N V Kurkure, P K Shembalkar\",\"doi\":\"10.2478/helm-2023-0023\",\"DOIUrl\":null,\"url\":null,\"abstract\":\"<p><p>Neurocysticercosis (NCC), one of the most important neuroparasitic diseases in humans, is caused by <i>Cysticercus cellulosae</i>, the metacestode stage of digenetic zoonotic cestode <i>Taenia solium</i>. The present study aims at the detection of anti-cysticercus antibodies in the sera of epileptic patients (n=26) visiting a tertiary care hospital in Nagpur, Maharashtra state, India, by an in-house developed indirect IgG-ELISA and enzyme-linked immunoelectro transfer blot (EITB) assay using different antigens (namely, Whole Cyst Antigen (WCA), Cystic Fluid Antigen (CFA), Scolex Antigen (SA), Excretory-Secretory Antigen (ESA) and Membrane-Body Antigen (MBA)) prepared from <i>T. solium</i> metacestodes to find out the status of NCC. An attempt has also been made for molecular detection of NCC from blood samples of those patients by Polymerase Chain Reaction (PCR) assay targeted at <i>large subunit rRNA</i> gene of <i>T. solium</i>. The IgG ELISA level of anti-cysticercus antibodies against WCA, CFA, SA, ESA and MBA antigens were as follows: 19.23 %, 23.07 %, 38.46 %, 30.76 % and 15.38 %. The seroreactivity to CFA, SA and ESA was found in equal proportions in patients with ring-enhancing lesions. In the EITB assay, the lower and medium molecular weight protein bands of SA and ESA were immunodominant compared to the higher WCA and CFA peptides. PCR positivity could be observed in 34.6 % (9/26) of the patients under study. It is the first report of detecting NCC among epileptic patients of the Nagpur region of Maharashtra state in India using serological and molecular tools.</p>\",\"PeriodicalId\":55061,\"journal\":{\"name\":\"Helminthologia\",\"volume\":\"60 3\",\"pages\":\"208-220\"},\"PeriodicalIF\":1.2000,\"publicationDate\":\"2023-12-26\",\"publicationTypes\":\"Journal Article\",\"fieldsOfStudy\":null,\"isOpenAccess\":false,\"openAccessPdf\":\"https://www.ncbi.nlm.nih.gov/pmc/articles/PMC10750244/pdf/\",\"citationCount\":\"0\",\"resultStr\":null,\"platform\":\"Semanticscholar\",\"paperid\":null,\"PeriodicalName\":\"Helminthologia\",\"FirstCategoryId\":\"99\",\"ListUrlMain\":\"https://doi.org/10.2478/helm-2023-0023\",\"RegionNum\":4,\"RegionCategory\":\"生物学\",\"ArticlePicture\":[],\"TitleCN\":null,\"AbstractTextCN\":null,\"PMCID\":null,\"EPubDate\":\"2023/9/1 0:00:00\",\"PubModel\":\"eCollection\",\"JCR\":\"Q4\",\"JCRName\":\"PARASITOLOGY\",\"Score\":null,\"Total\":0}","platform":"Semanticscholar","paperid":null,"PeriodicalName":"Helminthologia","FirstCategoryId":"99","ListUrlMain":"https://doi.org/10.2478/helm-2023-0023","RegionNum":4,"RegionCategory":"生物学","ArticlePicture":[],"TitleCN":null,"AbstractTextCN":null,"PMCID":null,"EPubDate":"2023/9/1 0:00:00","PubModel":"eCollection","JCR":"Q4","JCRName":"PARASITOLOGY","Score":null,"Total":0}
引用次数: 0

摘要

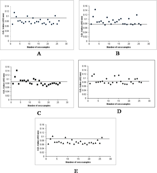
神经囊尾蚴病(NCC)是人类最重要的神经寄生虫病之一,由纤维囊尾蚴引起,纤维囊尾蚴是人畜共患绦虫Taenia solium的元绦虫阶段。本研究旨在检测在印度马哈拉施特拉邦那格浦尔一家三甲医院就诊的癫痫患者(26 人)血清中的抗囊尾蚴抗体、采用内部开发的间接 IgG-ELISA 和酶联免疫电泳印迹(EITB)检测法,使用从 T. solium 元胞中制备的不同抗原(即全囊抗原(WCA)、囊液抗原(CFA)、鞘膜抗原(SA)、排泄-分泌抗原(ESA)和膜-体抗原(MBA)),检测癫痫患者血清(n=26)中的抗囊虫抗体。还尝试进行了分子生物学分析,以了解 NCC 的状况。此外,还尝试通过聚合酶链式反应 (PCR) 方法从这些患者的血液样本中检测梭形虫大亚基 rRNA 基因的 NCC 分子。针对 WCA、CFA、SA、ESA 和 MBA 抗原的抗囊尾蚴抗体的 IgG ELISA 水平如下:分别为 19.23 %、23.07 %、38.46 %、30.76 % 和 15.38 %。在有环状增强病变的患者中,CFA、SA 和 ESA 的血清反应性比例相同。在 EITB 检测中,与较高的 WCA 和 CFA 肽相比,SA 和 ESA 的中低分子量蛋白带具有免疫优势。研究中,34.6%(9/26)的患者可观察到 PCR 阳性。这是利用血清学和分子工具检测印度马哈拉施特拉邦那格浦尔地区癫痫患者中 NCC 的首份报告。
本文章由计算机程序翻译,如有差异,请以英文原文为准。

Serological and molecular detection of neurocysticercosis among epileptic patients in Nagpur, Maharashtra state (India).

Serological and molecular detection of neurocysticercosis among epileptic patients in Nagpur, Maharashtra state (India).

Serological and molecular detection of neurocysticercosis among epileptic patients in Nagpur, Maharashtra state (India).

Serological and molecular detection of neurocysticercosis among epileptic patients in Nagpur, Maharashtra state (India).

Neurocysticercosis (NCC), one of the most important neuroparasitic diseases in humans, is caused by Cysticercus cellulosae, the metacestode stage of digenetic zoonotic cestode Taenia solium. The present study aims at the detection of anti-cysticercus antibodies in the sera of epileptic patients (n=26) visiting a tertiary care hospital in Nagpur, Maharashtra state, India, by an in-house developed indirect IgG-ELISA and enzyme-linked immunoelectro transfer blot (EITB) assay using different antigens (namely, Whole Cyst Antigen (WCA), Cystic Fluid Antigen (CFA), Scolex Antigen (SA), Excretory-Secretory Antigen (ESA) and Membrane-Body Antigen (MBA)) prepared from T. solium metacestodes to find out the status of NCC. An attempt has also been made for molecular detection of NCC from blood samples of those patients by Polymerase Chain Reaction (PCR) assay targeted at large subunit rRNA gene of T. solium. The IgG ELISA level of anti-cysticercus antibodies against WCA, CFA, SA, ESA and MBA antigens were as follows: 19.23 %, 23.07 %, 38.46 %, 30.76 % and 15.38 %. The seroreactivity to CFA, SA and ESA was found in equal proportions in patients with ring-enhancing lesions. In the EITB assay, the lower and medium molecular weight protein bands of SA and ESA were immunodominant compared to the higher WCA and CFA peptides. PCR positivity could be observed in 34.6 % (9/26) of the patients under study. It is the first report of detecting NCC among epileptic patients of the Nagpur region of Maharashtra state in India using serological and molecular tools.

求助全文
通过发布文献求助,成功后即可免费获取论文全文。 去求助
来源期刊
Helminthologia
Helminthologia 生物-动物学
CiteScore
1.80
自引率
0.00%
发文量
21
审稿时长
>12 weeks
期刊介绍: Helminthologia (HELMIN), published continuously since 1959, is the only journal in Europe that encompasses the individual and collaborative efforts of scientists working on a different topics of human, veterinary and plant helminthology. The journal responsibility is to enrich the theoretical and practical knowledge in very specific areas and thus contribute to the advancements in human and veterinary medicine and agronomy. Taking the advantage of comprehensive and multidisciplinary approaches journal still maintains its original spirit and is principal source of fresh scientific information regarding helminths, endoparasites and plant parasites. Addressing the most up-to date topics journal gained rightful and exceptional place next to the other high-quality scientific journals publishing in its field.
×
引用
GB/T 7714-2015
复制
MLA
复制
APA
复制
导出至
BibTeX EndNote RefMan NoteFirst NoteExpress
×
提示
您的信息不完整,为了账户安全,请先补充。
现在去补充
×
提示
您因"违规操作"
具体请查看互助需知
我知道了
×
提示
确定
请完成安全验证×
copy
已复制链接
快去分享给好友吧!
我知道了
右上角分享
点击右上角分享
0
联系我们:info@booksci.cn Book学术提供免费学术资源搜索服务,方便国内外学者检索中英文文献。致力于提供最便捷和优质的服务体验。 Copyright © 2023 布克学术 All rights reserved.
京ICP备2023020795号-1
ghs 京公网安备 11010802042870号
Book学术文献互助
Book学术文献互助群
群 号:604180095
Book学术官方微信