伊布替尼治疗复发或难治套细胞淋巴瘤疗效的回顾性分析。

IF 2.8 Q2 HEMATOLOGY
Yong-Pyo Lee, Ye Ji Jung, Junhun Cho, Young Hyeh Ko, Won Seog Kim, Seok Jin Kim, Sang Eun Yoon
{"title":"伊布替尼治疗复发或难治套细胞淋巴瘤疗效的回顾性分析。","authors":"Yong-Pyo Lee, Ye Ji Jung, Junhun Cho, Young Hyeh Ko, Won Seog Kim, Seok Jin Kim, Sang Eun Yoon","doi":"10.5045/br.2023.2023208","DOIUrl":null,"url":null,"abstract":"<p><strong>Background: </strong>While treatment strategies for mantle cell lymphoma (MCL) have evolved, patients often experience disease progression and require additional treatment therapies. Ibrutinib presents a promising option for relapsed or refractory MCL (RR-MCL). This study investigated real-world treatment outcomes of ibrutinib in patients with RR-MCL.</p><p><strong>Methods: </strong>A single-center retrospective analysis investigated clinical characteristics and survival outcomes of patients with RR-MCL, treated with ibrutinib.</p><p><strong>Results: </strong>Forty-two patients were included, with 16 received rituximab and bendamustine, and 26 receiving anthracycline-based regimens as front-line treatment. During a median follow-up of 46.0 months, the response rate to ibrutinib was 69%, with 12 CRs and 8 partial responses. Disease progression (54.8%) and adverse events (11.9%) were the primary reasons for discontinuation. Median progression-free survival (PFS) and overall survival (OS) were approximately 16.4 and 50.1 months, respectively. Patients older than 70 years (<i>P</i>=0.044 and <i>P</i>=0.006), those with splenomegaly (<i>P</i>=0.022 and <i>P</i>=0.006), and those with a high-risk simplified Mantle Cell Lymphoma International Prognostic Index (sMIPI) (<i>P</i><0.001 and <i>P</i><0.001) exhibited siginificantly inferior PFS and OS. Notably, patients with a high-risk sMIPI relapsed earlier. Post-ibrutinib treatment yilded an OS of 12.2 months, while clinical trial participants demonstrated superior survival compared to those receiving chemotherapy alone.</p><p><strong>Conclusion: </strong>This study underscores the importance of considering patient characteristics before administering ibrutinib as salvage therapy. Early relapse was associated with poor outcomes, highlighting the need for novel therapeutic strategies.</p>","PeriodicalId":46224,"journal":{"name":"Blood Research","volume":"58 4","pages":"208-220"},"PeriodicalIF":2.8000,"publicationDate":"2023-12-31","publicationTypes":"Journal Article","fieldsOfStudy":null,"isOpenAccess":false,"openAccessPdf":"https://www.ncbi.nlm.nih.gov/pmc/articles/PMC10758639/pdf/","citationCount":"0","resultStr":"{\"title\":\"A retrospective analysis of ibrutinib outcomes in relapsed or refractory mantle cell lymphoma.\",\"authors\":\"Yong-Pyo Lee, Ye Ji Jung, Junhun Cho, Young Hyeh Ko, Won Seog Kim, Seok Jin Kim, Sang Eun Yoon\",\"doi\":\"10.5045/br.2023.2023208\",\"DOIUrl\":null,\"url\":null,\"abstract\":\"<p><strong>Background: </strong>While treatment strategies for mantle cell lymphoma (MCL) have evolved, patients often experience disease progression and require additional treatment therapies. Ibrutinib presents a promising option for relapsed or refractory MCL (RR-MCL). This study investigated real-world treatment outcomes of ibrutinib in patients with RR-MCL.</p><p><strong>Methods: </strong>A single-center retrospective analysis investigated clinical characteristics and survival outcomes of patients with RR-MCL, treated with ibrutinib.</p><p><strong>Results: </strong>Forty-two patients were included, with 16 received rituximab and bendamustine, and 26 receiving anthracycline-based regimens as front-line treatment. During a median follow-up of 46.0 months, the response rate to ibrutinib was 69%, with 12 CRs and 8 partial responses. Disease progression (54.8%) and adverse events (11.9%) were the primary reasons for discontinuation. Median progression-free survival (PFS) and overall survival (OS) were approximately 16.4 and 50.1 months, respectively. Patients older than 70 years (<i>P</i>=0.044 and <i>P</i>=0.006), those with splenomegaly (<i>P</i>=0.022 and <i>P</i>=0.006), and those with a high-risk simplified Mantle Cell Lymphoma International Prognostic Index (sMIPI) (<i>P</i><0.001 and <i>P</i><0.001) exhibited siginificantly inferior PFS and OS. Notably, patients with a high-risk sMIPI relapsed earlier. Post-ibrutinib treatment yilded an OS of 12.2 months, while clinical trial participants demonstrated superior survival compared to those receiving chemotherapy alone.</p><p><strong>Conclusion: </strong>This study underscores the importance of considering patient characteristics before administering ibrutinib as salvage therapy. Early relapse was associated with poor outcomes, highlighting the need for novel therapeutic strategies.</p>\",\"PeriodicalId\":46224,\"journal\":{\"name\":\"Blood Research\",\"volume\":\"58 4\",\"pages\":\"208-220\"},\"PeriodicalIF\":2.8000,\"publicationDate\":\"2023-12-31\",\"publicationTypes\":\"Journal Article\",\"fieldsOfStudy\":null,\"isOpenAccess\":false,\"openAccessPdf\":\"https://www.ncbi.nlm.nih.gov/pmc/articles/PMC10758639/pdf/\",\"citationCount\":\"0\",\"resultStr\":null,\"platform\":\"Semanticscholar\",\"paperid\":null,\"PeriodicalName\":\"Blood Research\",\"FirstCategoryId\":\"1085\",\"ListUrlMain\":\"https://doi.org/10.5045/br.2023.2023208\",\"RegionNum\":0,\"RegionCategory\":null,\"ArticlePicture\":[],\"TitleCN\":null,\"AbstractTextCN\":null,\"PMCID\":null,\"EPubDate\":\"\",\"PubModel\":\"\",\"JCR\":\"Q2\",\"JCRName\":\"HEMATOLOGY\",\"Score\":null,\"Total\":0}","platform":"Semanticscholar","paperid":null,"PeriodicalName":"Blood Research","FirstCategoryId":"1085","ListUrlMain":"https://doi.org/10.5045/br.2023.2023208","RegionNum":0,"RegionCategory":null,"ArticlePicture":[],"TitleCN":null,"AbstractTextCN":null,"PMCID":null,"EPubDate":"","PubModel":"","JCR":"Q2","JCRName":"HEMATOLOGY","Score":null,"Total":0}
引用次数: 0

摘要

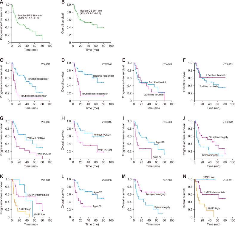
背景:套细胞淋巴瘤(MCL)的治疗策略不断发展,但患者往往会出现疾病进展,需要额外的治疗方法。伊布替尼为复发或难治性MCL(RR-MCL)提供了一种很有前景的选择。本研究调查了伊布替尼在RR-MCL患者中的实际治疗效果:一项单中心回顾性分析调查了接受伊布替尼治疗的RR-MCL患者的临床特征和生存结果:纳入42例患者,其中16例接受了利妥昔单抗和苯达莫司汀治疗,26例接受了以蒽环类药物为基础的方案作为一线治疗。在中位46.0个月的随访期间,伊布替尼的应答率为69%,其中12例为CR,8例为部分应答。疾病进展(54.8%)和不良反应(11.9%)是停药的主要原因。无进展生存期(PFS)和总生存期(OS)的中位数分别约为16.4个月和50.1个月。70岁以上患者(P=0.044和P=0.006)、脾脏肿大患者(P=0.022和P=0.006)、高危简化套细胞淋巴瘤国际预后指数(sMIPI)患者(P<0.001和P<0.001)的PFS和OS明显较差。值得注意的是,高风险 sMIPI 患者复发较早。伊布替尼治疗后的OS为12.2个月,而临床试验参与者的生存期优于单纯化疗者:这项研究强调了在使用伊布替尼作为挽救性治疗前考虑患者特征的重要性。早期复发与不良预后有关,这凸显了对新型治疗策略的需求。
本文章由计算机程序翻译,如有差异,请以英文原文为准。

A retrospective analysis of ibrutinib outcomes in relapsed or refractory mantle cell lymphoma.

A retrospective analysis of ibrutinib outcomes in relapsed or refractory mantle cell lymphoma.

A retrospective analysis of ibrutinib outcomes in relapsed or refractory mantle cell lymphoma.

A retrospective analysis of ibrutinib outcomes in relapsed or refractory mantle cell lymphoma.

Background: While treatment strategies for mantle cell lymphoma (MCL) have evolved, patients often experience disease progression and require additional treatment therapies. Ibrutinib presents a promising option for relapsed or refractory MCL (RR-MCL). This study investigated real-world treatment outcomes of ibrutinib in patients with RR-MCL.

Methods: A single-center retrospective analysis investigated clinical characteristics and survival outcomes of patients with RR-MCL, treated with ibrutinib.

Results: Forty-two patients were included, with 16 received rituximab and bendamustine, and 26 receiving anthracycline-based regimens as front-line treatment. During a median follow-up of 46.0 months, the response rate to ibrutinib was 69%, with 12 CRs and 8 partial responses. Disease progression (54.8%) and adverse events (11.9%) were the primary reasons for discontinuation. Median progression-free survival (PFS) and overall survival (OS) were approximately 16.4 and 50.1 months, respectively. Patients older than 70 years (P=0.044 and P=0.006), those with splenomegaly (P=0.022 and P=0.006), and those with a high-risk simplified Mantle Cell Lymphoma International Prognostic Index (sMIPI) (P<0.001 and P<0.001) exhibited siginificantly inferior PFS and OS. Notably, patients with a high-risk sMIPI relapsed earlier. Post-ibrutinib treatment yilded an OS of 12.2 months, while clinical trial participants demonstrated superior survival compared to those receiving chemotherapy alone.

Conclusion: This study underscores the importance of considering patient characteristics before administering ibrutinib as salvage therapy. Early relapse was associated with poor outcomes, highlighting the need for novel therapeutic strategies.

求助全文
通过发布文献求助,成功后即可免费获取论文全文。 去求助
来源期刊
Blood Research
Blood Research HEMATOLOGY-
CiteScore
3.70
自引率
0.00%
发文量
64
×
引用
GB/T 7714-2015
复制
MLA
复制
APA
复制
导出至
BibTeX EndNote RefMan NoteFirst NoteExpress
×
提示
您的信息不完整,为了账户安全,请先补充。
现在去补充
×
提示
您因"违规操作"
具体请查看互助需知
我知道了
×
提示
确定
请完成安全验证×
copy
已复制链接
快去分享给好友吧!
我知道了
右上角分享
点击右上角分享
0
联系我们:info@booksci.cn Book学术提供免费学术资源搜索服务,方便国内外学者检索中英文文献。致力于提供最便捷和优质的服务体验。 Copyright © 2023 布克学术 All rights reserved.
京ICP备2023020795号-1
ghs 京公网安备 11010802042870号
Book学术文献互助
Book学术文献互助群
群 号:604180095
Book学术官方微信