高密度 LED 照射疗法对手部骨关节炎患者的疗效和安全性:单中心临床研究

IF 2.9 Q1 REHABILITATION
Annals of Rehabilitation Medicine-ARM Pub Date : 2024-02-01 Epub Date: 2023-12-12 DOI:10.5535/arm.23127
Kyungmin Kim, Sung Hoon Kim, Ji Hyun Kim, Sang Yeol Yong, Won Woo Choi, Sun Jung Kim, Hyuk Do Kim, Kyung Joon Oh, Dae Ryong Kang, Sehwa Hong, Jiseon Hong
{"title":"高密度 LED 照射疗法对手部骨关节炎患者的疗效和安全性:单中心临床研究","authors":"Kyungmin Kim, Sung Hoon Kim, Ji Hyun Kim, Sang Yeol Yong, Won Woo Choi, Sun Jung Kim, Hyuk Do Kim, Kyung Joon Oh, Dae Ryong Kang, Sehwa Hong, Jiseon Hong","doi":"10.5535/arm.23127","DOIUrl":null,"url":null,"abstract":"<p><strong>Objective: </strong>To assess the safety and effectiveness of high-density light-emitting diode (LED) irradiation therapy in patients with hand osteoarthritis (OA) and compare the pre- and post-intervention symptoms.</p><p><strong>Methods: </strong>Twenty-three patients with hand OA underwent eight sessions of high-density LED irradiation therapy directed at the five most painful areas in the finger joints. Each session lasted for 18 minutes; and the sessions were conducted twice a week, for 4 weeks. We evaluated the degree of pain using the visual analogue scale, ring size, and passive range of motion (flexion+extension) for two most painful joints from the baseline to post-therapy (weeks 4 and 6).</p><p><strong>Results: </strong>High-density LED irradiation therapy significantly reduced the pain posttreatment compared with that observed at the baseline (p<0.001). Although improvements were observed in ring size and joint range of motion at 4 and 6 weeks, they were not statistically significant (p>0.05). No adverse events were observed.</p><p><strong>Conclusion: </strong>We examined the safety and effectiveness of high-density LED irradiation therapy in reducing pain and hand swelling and improving joint mobility in patients with hand OA. These results suggest that high-density LED irradiation therapy has the potential to be an important strategy for managing hand OA.</p>","PeriodicalId":47738,"journal":{"name":"Annals of Rehabilitation Medicine-ARM","volume":" ","pages":"50-56"},"PeriodicalIF":2.9000,"publicationDate":"2024-02-01","publicationTypes":"Journal Article","fieldsOfStudy":null,"isOpenAccess":false,"openAccessPdf":"https://www.ncbi.nlm.nih.gov/pmc/articles/PMC10915305/pdf/","citationCount":"0","resultStr":"{\"title\":\"Efficacy and Safety of High Density LED Irradiation Therapy for Patients With Hand Osteoarthritis: A Single-Center Clinical Study.\",\"authors\":\"Kyungmin Kim, Sung Hoon Kim, Ji Hyun Kim, Sang Yeol Yong, Won Woo Choi, Sun Jung Kim, Hyuk Do Kim, Kyung Joon Oh, Dae Ryong Kang, Sehwa Hong, Jiseon Hong\",\"doi\":\"10.5535/arm.23127\",\"DOIUrl\":null,\"url\":null,\"abstract\":\"<p><strong>Objective: </strong>To assess the safety and effectiveness of high-density light-emitting diode (LED) irradiation therapy in patients with hand osteoarthritis (OA) and compare the pre- and post-intervention symptoms.</p><p><strong>Methods: </strong>Twenty-three patients with hand OA underwent eight sessions of high-density LED irradiation therapy directed at the five most painful areas in the finger joints. Each session lasted for 18 minutes; and the sessions were conducted twice a week, for 4 weeks. We evaluated the degree of pain using the visual analogue scale, ring size, and passive range of motion (flexion+extension) for two most painful joints from the baseline to post-therapy (weeks 4 and 6).</p><p><strong>Results: </strong>High-density LED irradiation therapy significantly reduced the pain posttreatment compared with that observed at the baseline (p<0.001). Although improvements were observed in ring size and joint range of motion at 4 and 6 weeks, they were not statistically significant (p>0.05). No adverse events were observed.</p><p><strong>Conclusion: </strong>We examined the safety and effectiveness of high-density LED irradiation therapy in reducing pain and hand swelling and improving joint mobility in patients with hand OA. These results suggest that high-density LED irradiation therapy has the potential to be an important strategy for managing hand OA.</p>\",\"PeriodicalId\":47738,\"journal\":{\"name\":\"Annals of Rehabilitation Medicine-ARM\",\"volume\":\" \",\"pages\":\"50-56\"},\"PeriodicalIF\":2.9000,\"publicationDate\":\"2024-02-01\",\"publicationTypes\":\"Journal Article\",\"fieldsOfStudy\":null,\"isOpenAccess\":false,\"openAccessPdf\":\"https://www.ncbi.nlm.nih.gov/pmc/articles/PMC10915305/pdf/\",\"citationCount\":\"0\",\"resultStr\":null,\"platform\":\"Semanticscholar\",\"paperid\":null,\"PeriodicalName\":\"Annals of Rehabilitation Medicine-ARM\",\"FirstCategoryId\":\"1085\",\"ListUrlMain\":\"https://doi.org/10.5535/arm.23127\",\"RegionNum\":0,\"RegionCategory\":null,\"ArticlePicture\":[],\"TitleCN\":null,\"AbstractTextCN\":null,\"PMCID\":null,\"EPubDate\":\"2023/12/12 0:00:00\",\"PubModel\":\"Epub\",\"JCR\":\"Q1\",\"JCRName\":\"REHABILITATION\",\"Score\":null,\"Total\":0}","platform":"Semanticscholar","paperid":null,"PeriodicalName":"Annals of Rehabilitation Medicine-ARM","FirstCategoryId":"1085","ListUrlMain":"https://doi.org/10.5535/arm.23127","RegionNum":0,"RegionCategory":null,"ArticlePicture":[],"TitleCN":null,"AbstractTextCN":null,"PMCID":null,"EPubDate":"2023/12/12 0:00:00","PubModel":"Epub","JCR":"Q1","JCRName":"REHABILITATION","Score":null,"Total":0}
引用次数: 0

摘要

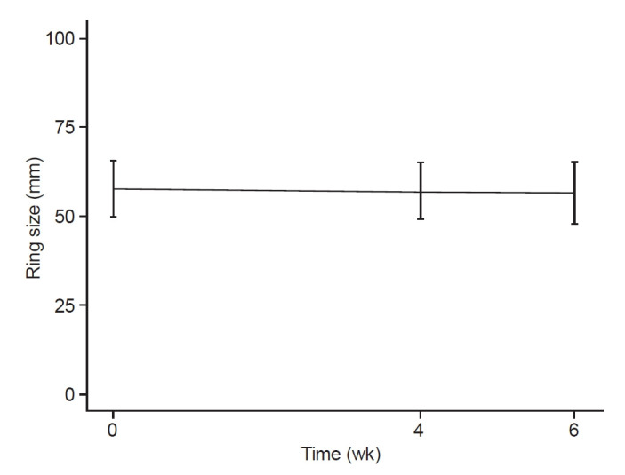
目的评估高密度发光二极管(LED)照射疗法对手部骨关节炎(OA)患者的安全性和有效性,并比较干预前后的症状:23名手部骨关节炎患者接受了8次高密度发光二极管照射疗法,照射部位为手指关节的5个最疼痛部位。每个疗程持续18分钟,每周两次,共4周。从基线到治疗后(第4周和第6周),我们使用视觉模拟量表评估了疼痛程度、戒指大小以及两个最疼痛关节的被动活动范围(屈+伸):结果:与基线相比,高密度 LED 照射治疗后疼痛明显减轻(P0.05)。结论:我们研究了高密度 LED 照射疗法的安全性和有效性:我们研究了高密度 LED 照射疗法在减轻手部 OA 患者疼痛、手部肿胀和改善关节活动度方面的安全性和有效性。这些结果表明,高密度 LED 照射疗法有可能成为治疗手部 OA 的重要策略。
本文章由计算机程序翻译,如有差异,请以英文原文为准。

Efficacy and Safety of High Density LED Irradiation Therapy for Patients With Hand Osteoarthritis: A Single-Center Clinical Study.

Efficacy and Safety of High Density LED Irradiation Therapy for Patients With Hand Osteoarthritis: A Single-Center Clinical Study.

Efficacy and Safety of High Density LED Irradiation Therapy for Patients With Hand Osteoarthritis: A Single-Center Clinical Study.

Efficacy and Safety of High Density LED Irradiation Therapy for Patients With Hand Osteoarthritis: A Single-Center Clinical Study.

Objective: To assess the safety and effectiveness of high-density light-emitting diode (LED) irradiation therapy in patients with hand osteoarthritis (OA) and compare the pre- and post-intervention symptoms.

Methods: Twenty-three patients with hand OA underwent eight sessions of high-density LED irradiation therapy directed at the five most painful areas in the finger joints. Each session lasted for 18 minutes; and the sessions were conducted twice a week, for 4 weeks. We evaluated the degree of pain using the visual analogue scale, ring size, and passive range of motion (flexion+extension) for two most painful joints from the baseline to post-therapy (weeks 4 and 6).

Results: High-density LED irradiation therapy significantly reduced the pain posttreatment compared with that observed at the baseline (p<0.001). Although improvements were observed in ring size and joint range of motion at 4 and 6 weeks, they were not statistically significant (p>0.05). No adverse events were observed.

Conclusion: We examined the safety and effectiveness of high-density LED irradiation therapy in reducing pain and hand swelling and improving joint mobility in patients with hand OA. These results suggest that high-density LED irradiation therapy has the potential to be an important strategy for managing hand OA.

求助全文
通过发布文献求助,成功后即可免费获取论文全文。 去求助
来源期刊
CiteScore
2.50
自引率
7.70%
发文量
32
审稿时长
30 weeks
×
引用
GB/T 7714-2015
复制
MLA
复制
APA
复制
导出至
BibTeX EndNote RefMan NoteFirst NoteExpress
×
提示
您的信息不完整,为了账户安全,请先补充。
现在去补充
×
提示
您因"违规操作"
具体请查看互助需知
我知道了
×
提示
确定
请完成安全验证×
copy
已复制链接
快去分享给好友吧!
我知道了
右上角分享
点击右上角分享
0
联系我们:info@booksci.cn Book学术提供免费学术资源搜索服务,方便国内外学者检索中英文文献。致力于提供最便捷和优质的服务体验。 Copyright © 2023 布克学术 All rights reserved.
京ICP备2023020795号-1
ghs 京公网安备 11010802042870号
Book学术文献互助
Book学术文献互助群
群 号:604180095
Book学术官方微信