评估 COVID-19 大流行期间类风湿性关节炎患者的抑郁和焦虑。

IF 1.9 Q2 ORTHOPEDICS
Dina M Abd El-Khalik, Mohamed Eltohamy
{"title":"评估 COVID-19 大流行期间类风湿性关节炎患者的抑郁和焦虑。","authors":"Dina M Abd El-Khalik, Mohamed Eltohamy","doi":"10.1177/11795441231216988","DOIUrl":null,"url":null,"abstract":"<p><strong>Background: </strong>Rheumatoid arthritis (RA) disease activity, associated comorbidities, and therapy-related side effects impair the physical, social, and emotional dimensions of the patient's health. Presently, the ongoing COVID-19 pandemic has been associated with a broad range of psychosocial disorders in various populations. Patients with RA are especially vulnerable to such effects.</p><p><strong>Objectives: </strong>Detect the prevalence of recent COVID-19 infection among patients with RA, assess depression and anxiety in these patients and their associated factors during the COVID-19 pandemic and their potential relation to disease activity.</p><p><strong>Design and methods: </strong>This is a cross-sectional study conducted on 120 adult Egyptian patients diagnosed with RA during the COVID-19 pandemic. The prevalence of recent COVID-19 infection among the patients was evaluated. The patients underwent psychological assessment using the Hamilton Depression Rating Scale (Ham-D) and the Hamilton Anxiety Rating Scale (Ham-A) to measure levels of depression and anxiety levels. The RA disease activity was assessed using Disease Activity Score (DAS) Das-28-ESR.</p><p><strong>Results: </strong>This study encompasses a total of 120 RA patients. The prevalence of patients with a recent history of COVID-19 infection was 40.8%. Both groups exhibited significantly elevated mean scores on the Das-28-ESR scale and also scored higher on measures of depression and anxiety. Interestingly, the COVID-19 group exhibited a higher percentage of unmarried individuals, had educational attainment below the university level, and were unemployed. Patients with recent COVID-19 had significantly lower numbers of children, higher disease duration, higher Das-28-ESR scores, and elevated depression and anxiety scores. The statistical analysis revealed that the COVID-19 infection and disease duration were significant predictors of depression and anxiety. The results also exhibited that the depression score was positively correlated with age and DAS scores.</p><p><strong>Conclusions: </strong>It was observed that patients diagnosed with RA revealed a higher prevalence of COVID-19 infection. The occurrence of depression and anxiety was observed to be widespread among patients diagnosed with RA and, more significantly, prevalent in RA patients who had a recent COVID-19 and had a higher level of disease activity. The occurrence of COVID-19 and disease duration were identified as factors that can anticipate the development of depression and anxiety.</p>","PeriodicalId":10443,"journal":{"name":"Clinical Medicine Insights. Arthritis and Musculoskeletal Disorders","volume":"16 ","pages":"11795441231216988"},"PeriodicalIF":1.9000,"publicationDate":"2023-12-18","publicationTypes":"Journal Article","fieldsOfStudy":null,"isOpenAccess":false,"openAccessPdf":"https://www.ncbi.nlm.nih.gov/pmc/articles/PMC10729612/pdf/","citationCount":"0","resultStr":"{\"title\":\"Evaluation of Depression and Anxiety in Rheumatoid Arthritis Patients During COVID-19 Pandemic.\",\"authors\":\"Dina M Abd El-Khalik, Mohamed Eltohamy\",\"doi\":\"10.1177/11795441231216988\",\"DOIUrl\":null,\"url\":null,\"abstract\":\"<p><strong>Background: </strong>Rheumatoid arthritis (RA) disease activity, associated comorbidities, and therapy-related side effects impair the physical, social, and emotional dimensions of the patient's health. Presently, the ongoing COVID-19 pandemic has been associated with a broad range of psychosocial disorders in various populations. Patients with RA are especially vulnerable to such effects.</p><p><strong>Objectives: </strong>Detect the prevalence of recent COVID-19 infection among patients with RA, assess depression and anxiety in these patients and their associated factors during the COVID-19 pandemic and their potential relation to disease activity.</p><p><strong>Design and methods: </strong>This is a cross-sectional study conducted on 120 adult Egyptian patients diagnosed with RA during the COVID-19 pandemic. The prevalence of recent COVID-19 infection among the patients was evaluated. The patients underwent psychological assessment using the Hamilton Depression Rating Scale (Ham-D) and the Hamilton Anxiety Rating Scale (Ham-A) to measure levels of depression and anxiety levels. The RA disease activity was assessed using Disease Activity Score (DAS) Das-28-ESR.</p><p><strong>Results: </strong>This study encompasses a total of 120 RA patients. The prevalence of patients with a recent history of COVID-19 infection was 40.8%. Both groups exhibited significantly elevated mean scores on the Das-28-ESR scale and also scored higher on measures of depression and anxiety. Interestingly, the COVID-19 group exhibited a higher percentage of unmarried individuals, had educational attainment below the university level, and were unemployed. Patients with recent COVID-19 had significantly lower numbers of children, higher disease duration, higher Das-28-ESR scores, and elevated depression and anxiety scores. The statistical analysis revealed that the COVID-19 infection and disease duration were significant predictors of depression and anxiety. The results also exhibited that the depression score was positively correlated with age and DAS scores.</p><p><strong>Conclusions: </strong>It was observed that patients diagnosed with RA revealed a higher prevalence of COVID-19 infection. The occurrence of depression and anxiety was observed to be widespread among patients diagnosed with RA and, more significantly, prevalent in RA patients who had a recent COVID-19 and had a higher level of disease activity. The occurrence of COVID-19 and disease duration were identified as factors that can anticipate the development of depression and anxiety.</p>\",\"PeriodicalId\":10443,\"journal\":{\"name\":\"Clinical Medicine Insights. Arthritis and Musculoskeletal Disorders\",\"volume\":\"16 \",\"pages\":\"11795441231216988\"},\"PeriodicalIF\":1.9000,\"publicationDate\":\"2023-12-18\",\"publicationTypes\":\"Journal Article\",\"fieldsOfStudy\":null,\"isOpenAccess\":false,\"openAccessPdf\":\"https://www.ncbi.nlm.nih.gov/pmc/articles/PMC10729612/pdf/\",\"citationCount\":\"0\",\"resultStr\":null,\"platform\":\"Semanticscholar\",\"paperid\":null,\"PeriodicalName\":\"Clinical Medicine Insights. Arthritis and Musculoskeletal Disorders\",\"FirstCategoryId\":\"1085\",\"ListUrlMain\":\"https://doi.org/10.1177/11795441231216988\",\"RegionNum\":0,\"RegionCategory\":null,\"ArticlePicture\":[],\"TitleCN\":null,\"AbstractTextCN\":null,\"PMCID\":null,\"EPubDate\":\"2023/1/1 0:00:00\",\"PubModel\":\"eCollection\",\"JCR\":\"Q2\",\"JCRName\":\"ORTHOPEDICS\",\"Score\":null,\"Total\":0}","platform":"Semanticscholar","paperid":null,"PeriodicalName":"Clinical Medicine Insights. Arthritis and Musculoskeletal Disorders","FirstCategoryId":"1085","ListUrlMain":"https://doi.org/10.1177/11795441231216988","RegionNum":0,"RegionCategory":null,"ArticlePicture":[],"TitleCN":null,"AbstractTextCN":null,"PMCID":null,"EPubDate":"2023/1/1 0:00:00","PubModel":"eCollection","JCR":"Q2","JCRName":"ORTHOPEDICS","Score":null,"Total":0}
引用次数: 0

摘要

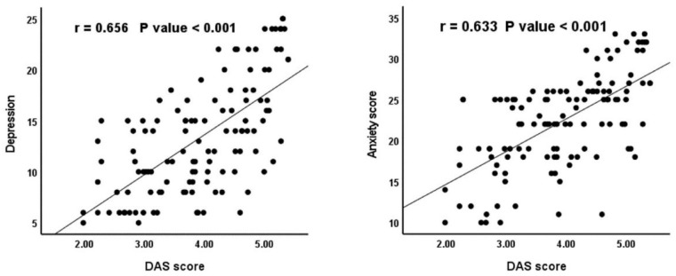
背景:类风湿性关节炎(RA)的疾病活动、相关合并症以及与治疗有关的副作用损害了患者的身体、社会和情感健康。目前,正在流行的 COVID-19 在不同人群中与广泛的社会心理障碍有关。RA患者尤其容易受到这种影响:检测近期感染 COVID-19 的 RA 患者的患病率,评估 COVID-19 大流行期间这些患者的抑郁和焦虑及其相关因素,以及它们与疾病活动的潜在关系:这是一项横断面研究,对象是在 COVID-19 大流行期间被诊断为 RA 的 120 名埃及成年患者。对患者近期感染 COVID-19 的流行率进行了评估。使用汉密尔顿抑郁评定量表(Ham-D)和汉密尔顿焦虑评定量表(Ham-A)对患者进行心理评估,以测量抑郁和焦虑水平。使用疾病活动性评分(DAS)Das-28-ESR对RA疾病活动性进行评估:本研究共涉及 120 名 RA 患者。近期有COVID-19感染史的患者比例为40.8%。两组患者在 Das-28-ESR 量表中的平均得分均明显升高,在抑郁和焦虑测量中的得分也较高。有趣的是,COVID-19 组中未婚、教育程度低于大学水平和失业的比例更高。新近感染 COVID-19 的患者子女人数明显较少,病程较长,Das-28-ESR 评分较高,抑郁和焦虑评分较高。统计分析显示,COVID-19 感染和病程是抑郁和焦虑的重要预测因素。结果还显示,抑郁评分与年龄和 DAS 评分呈正相关:结论:据观察,确诊为 RA 的患者中 COVID-19 感染率较高。据观察,抑郁和焦虑在确诊为 RA 的患者中普遍存在,更显著的是,在近期感染过 COVID-19 且疾病活动程度较高的 RA 患者中普遍存在。COVID-19的发生和疾病持续时间被确定为可预测抑郁和焦虑发展的因素。
本文章由计算机程序翻译,如有差异,请以英文原文为准。

Evaluation of Depression and Anxiety in Rheumatoid Arthritis Patients During COVID-19 Pandemic.

Evaluation of Depression and Anxiety in Rheumatoid Arthritis Patients During COVID-19 Pandemic.

Evaluation of Depression and Anxiety in Rheumatoid Arthritis Patients During COVID-19 Pandemic.

Evaluation of Depression and Anxiety in Rheumatoid Arthritis Patients During COVID-19 Pandemic.

Background: Rheumatoid arthritis (RA) disease activity, associated comorbidities, and therapy-related side effects impair the physical, social, and emotional dimensions of the patient's health. Presently, the ongoing COVID-19 pandemic has been associated with a broad range of psychosocial disorders in various populations. Patients with RA are especially vulnerable to such effects.

Objectives: Detect the prevalence of recent COVID-19 infection among patients with RA, assess depression and anxiety in these patients and their associated factors during the COVID-19 pandemic and their potential relation to disease activity.

Design and methods: This is a cross-sectional study conducted on 120 adult Egyptian patients diagnosed with RA during the COVID-19 pandemic. The prevalence of recent COVID-19 infection among the patients was evaluated. The patients underwent psychological assessment using the Hamilton Depression Rating Scale (Ham-D) and the Hamilton Anxiety Rating Scale (Ham-A) to measure levels of depression and anxiety levels. The RA disease activity was assessed using Disease Activity Score (DAS) Das-28-ESR.

Results: This study encompasses a total of 120 RA patients. The prevalence of patients with a recent history of COVID-19 infection was 40.8%. Both groups exhibited significantly elevated mean scores on the Das-28-ESR scale and also scored higher on measures of depression and anxiety. Interestingly, the COVID-19 group exhibited a higher percentage of unmarried individuals, had educational attainment below the university level, and were unemployed. Patients with recent COVID-19 had significantly lower numbers of children, higher disease duration, higher Das-28-ESR scores, and elevated depression and anxiety scores. The statistical analysis revealed that the COVID-19 infection and disease duration were significant predictors of depression and anxiety. The results also exhibited that the depression score was positively correlated with age and DAS scores.

Conclusions: It was observed that patients diagnosed with RA revealed a higher prevalence of COVID-19 infection. The occurrence of depression and anxiety was observed to be widespread among patients diagnosed with RA and, more significantly, prevalent in RA patients who had a recent COVID-19 and had a higher level of disease activity. The occurrence of COVID-19 and disease duration were identified as factors that can anticipate the development of depression and anxiety.

求助全文
通过发布文献求助,成功后即可免费获取论文全文。 去求助
来源期刊
CiteScore
4.40
自引率
0.00%
发文量
14
审稿时长
8 weeks
×
引用
GB/T 7714-2015
复制
MLA
复制
APA
复制
导出至
BibTeX EndNote RefMan NoteFirst NoteExpress
×
提示
您的信息不完整,为了账户安全,请先补充。
现在去补充
×
提示
您因"违规操作"
具体请查看互助需知
我知道了
×
提示
确定
请完成安全验证×
copy
已复制链接
快去分享给好友吧!
我知道了
右上角分享
点击右上角分享
0
联系我们:info@booksci.cn Book学术提供免费学术资源搜索服务,方便国内外学者检索中英文文献。致力于提供最便捷和优质的服务体验。 Copyright © 2023 布克学术 All rights reserved.
京ICP备2023020795号-1
ghs 京公网安备 11010802042870号
Book学术文献互助
Book学术文献互助群
群 号:604180095
Book学术官方微信